作者简介: 李玲, 女, 1991年生, 中国计量科学研究院光学与激光计量研究所副研究员 e-mail: liling@nim.ac.cn
光谱辐射定标是光学遥感仪器研制中的关键环节。 深入分析实验室定标的光谱辐射测量仪器至户外应用的不确定度来源, 环境温度是限制仪器户外高精度测量的最主要因素之一。 传统的光谱辐射度实验室定标通常在室温(~25 ℃)下进行, 而户外光谱辐射测量处于不同温度环境, 严重影响仪器测量的准确度。 设计搭建实验测量系统, 采用遥感辐射领域常用的光谱辐射测量仪器, 研究环境温度对光谱辐射测量的影响。 实验结果显示: 常用光谱辐射计(CR-280)的测量结果受温度影响明显, 在10~40 ℃之间变化时, 仪器光谱辐射亮度测量值在400~700nm波段内的偏差为±5%左右, 而700~1 050 nm内的偏差高达±15%左右。 这主要由于仪器采用硅探测器, 红外波段恰好与硅的带边接近, 硅探测器易受温度影响, 温度增加硅的带边会向长波方向移动, 光谱辐射计的响应度也随之增加。 基于实验数据统计分析, 提出一种适用于不同类型光谱辐射计的温度修正方法, 相对于传统的斜率/截距( S/B)算法适用性更广, 还可由公式计算出任意温度下的修正结果。 修正后CR-280红外波段的偏差(950 nm左右)由±10%降低为±1%, 明显减小了因户外使用与实验室定标温度不同造成的测量结果偏差。 此外, 利用不同类型光谱辐射测量仪器(Avantes及SVC HR-1024)对温度修正方法进行验证。 环境温度变化时光谱仪Avantes(VIS/NIR)的测量结果存在较大偏差(1 060 nm高达±17%)。 通过温度修正方法运算, 仪器修正值与定标值的偏差在±1%以内。 光谱辐射计(SVC HR-1024)不同波段的测量值, 与定标值的偏差受温度影响不同。 这主要由于: 仪器由Si、 制冷型InGaAs及扩展InGaAs探测器组成, Si探测器受温度影响大, 950~1 000 nm波段测量值与定标值的偏差高达±10%。 而制冷型InGaAs可有效控制探测器温度, 受温度的直接影响相对小。 但随温度增加, InGaAs探测器制冷效果受限(制冷最佳工作温度为20 ℃), 测量结果产生偏差(1%~3%)。 同样, 利用温度修正公式对不同温度下SVC HR-1024的测量结果进行修正运算, 仪器因温度变化引起的偏差可降低至±1%以内。
The uncertainty of laboratory calibrated spectroradiometers used in field was analyzed. Ambient temperature is one of the most important factors limiting the accuracy of outdoor measurements. Currently, the laboratory calibrations are generally performed at room temperature [(25±1.0) ℃]. However, the spectrometers applied in earth observation and remote sensing is usually operated in the field under different ambient temperature conditions. The calibration coefficients determined under room temperature are not applicable to data collected in field conditions. In this paper, the experimental measurement system was set up, which was used to investigate the temperature effects. The sensitivity of spectroradiometers (CR-280) at different wavelengths was affected differently by ambient temperature. The deviation of 400~700 nm between measured and calibrated value at 40° is about ±5%. The deviation of near-infrared wavelengths (1 050 nm) is about ±15%, this spectral range is close to the band edge of the silicon, which is highly temperature sensitive, and the silicon band edge moved to longer wavelengths as increasing temperature. It is important to reduce the deviation of measured results in field after laboratory calibration. Here, a temperature correction method by matrix calculation for different kinds of spectroradiometers was proposed, which calculated the spectroradiometer response at each pixel. The correction method was also verified with a randomly selected temperature. It can reduce the deviation of CR-280 from ±10% to ±1% in the near-infrared wavelengths (about 950 nm). The temperature correction method can be easily used for spectral radiometry measurement in the field, which can be greatly improves the accuracy of spectral radiometry measurement. Also, the other two kinds of spectroradiometers (Avantes, SVC H-1024) were used to verify this correction method. The result showed the deviation of Avantes (VIS/NIR) between measured and calibrated value (about 1 060 nm) is reduced from ±17% to ±1%. At different ambient temperatures, the deviations between the measured and calibrated values of SVC HR-1024 are different. The instrument consists of three detectors: Si, cooled InGaAs and extended InGaAs. Si detector is greatly affected by temperature, and the deviation of the measured and calibrated value (950~1 000 nm) is as high as ±10%. The cooled InGaAs can effectively control the detector temperature. However, as the ambient temperature increases, the InGaAs detector is affected (the optimal working environment for cooling is about 20 ℃), and the deviation of measuredand calibrated value results is 1%~3%. The temperature correction formulas were used to correct the measured results. The deviation of SVC HR-1024 can be reduced to ±1%.
光谱辐射度包括光谱辐射亮度和光谱辐射照度, 是光学领域的重要基准量值。 光谱辐射度测量广泛应用于气象[1]、 地物观测[2]、 农林生态[3]、 光生物安全[4]等行业。 随着科技发展, 应对气候和环境变化, 对地观测、 空间遥感等高端研究领域提出优于2%的高准确度光谱辐射度定标需求。
传统的光谱辐射度实验室定标通常在室温(~25 ℃)下进行, 而地基验证场以及地物观测等领域在实际光谱辐射测量中, 经常会遇到高温(~40 ℃)或者低温(~0 ℃)等不同温度的天气状况。 由于户外测量中对光谱辐射计便携性的需求, 多采用小型阵列式光谱仪, 这类仪器的机械结构多选择热膨胀系数较大的金属材料, 在环境温度变化时, 材料的热变形会导致光谱仪内部光学元件位置产生偏移[5, 6]。 此外, 温度变化会造成探测器响应发生改变。 温度效应是对地观测、 卫星遥感领域密切关注并急需解决的问题。 户外测量环境温度与实验室定标温度的不同, 会直接影响光谱辐射计测量结果的准确性[7, 8, 9]。 英国国家物理实验室(NPL)研究了环境温度变化和非线性对阵列光谱仪的影响[10]。 他们选用Hamamatsu的普通背照式探测器(非制冷)进行实验, 在探测器的表面增加了加热控温装置, 测量了环境温度在5~40 ℃之间阵列探测器不同像素点的响应变化, 并根据实验结果进行温度修正。 本课题组前期研究也表明随温度升高, 探测器暗电流明显增加。 CCD的暗电流由硅体内迁移到导带的热电子形成, 主要包括耗尽区暗电流、 场自由区的扩散电流和表面暗电流。 虽然表面暗电流一直占据支配地位, 但随着温度升高, 耗尽区暗电流特别是扩散暗电流对器件总暗电流的贡献越来越大, 受温度影响也不断增加。
本文深入研究环境温度对高精度光谱辐射测量的影响, 光谱辐射测量仪器受环境温度影响显著, 严重影响仪器在户外实验中测量值的准确度。 此外, 基于实验数据的统计分析, 建立一种适用性更广的温度修正方法, 并利用不同类型光谱辐射测量仪器对其进行验证, 进一步提高地物观测等领域光谱辐射度测量精度, 降低测量不确定度。
环境温度变化是造成光谱辐射计在户外测量准确度降低的最重要因素之一, 本文搭建实验测量系统研究温度对光谱辐射测量的影响。 如图1所示, 环境温度影响光谱辐射测量的实验装置由高低温湿热变化箱(-50 ℃~+100 ℃ ; 20%~98% R· H)、 光谱辐射照度标准灯(FEL 1000 W)、 漫射板(250 mm× 280 mm)、 光阑及挡板等组成。 漫反射板具有朗伯特性, 可与光谱辐射照度标准灯组成近似均匀的光源, 用于光学遥感仪器的光谱辐射亮度标定及测量。 实验中标准灯垂直入射在漫射板上, 灯丝中心与白板中心在同一光轴, 距离为500 mm。 被测光谱辐射计的光学主轴与漫射板法线呈45° 夹角。 将光谱辐射计置于高低湿热变化箱内, 设定不同的温度, 待温控箱温度稳定1 h后进行测量, 实验过程中用铂电阻温度计(PRT)监测工作温度。 整个实验在黑暗环境中进行, 为减小环境杂散辐射信号, 在光路系统中增加光阑和挡板。 每组实验均采用相同的积分时间, 并扣除暗信号。
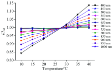
实验温度在-10~40 ℃之间变化时, 仪器光谱辐射亮度测量结果存在明显偏差。 如图2所示, 实验温度在10~40 ℃, 仪器光谱辐射亮度测量值在400~700 nm波段范围内的偏差为± 5%左右, 而700~1 050 nm内的偏差高达± 15%左右, 严重影响仪器在地基验证场中同步测量结果的准确度。 这主要由于仪器采用硅探测器, 红外波段恰好与硅的带边接近, 硅探测器的响应易受温度影响, 温度升高, 硅的带边向长波方向移动, 仪器的响应度也随之增加。 当实验温度低于10 ℃, 各个波段都表现出很低的响应, 这主要由于实验过程中仪器环境温度变化, 镜头上出现一些凝结的水雾, 影响仪器对信号的接收。
传统的温度修正多采用斜率/截距(S/B)算法, 即: 首先建立某一波长下温度与光谱辐射测量值之间的线性函数关系, 用最小二乘法求得线性函数的斜率和截距。 再分别建立不同波长与对应斜率和截距之间的函数。 然而, 实际应用中, 光谱辐射计内部光学元件与探测器受温度的影响可能是非线性的, 传统的S/B温度修正方法在解决非线性变化的问题上受到局限。
本文对实验数据进行数学统计分析, 提出一种通用的温度修正方法, 这种温度修正方法可适用于不同类型仪器受温度的影响变化。 探测器某像素点(波长)在不同温度下的光谱响应度不同, 受温度影响的变化比例IT/Ical拟合为一个多项式函数f, 存在如式(1)关系式
其中, IT是仪器在不同温度下的光谱响应, Ical是在定标温度下仪器的光谱响应。 a0, a1, a2, …, ak是光谱辐射计的温度作用系数, 可以利用实验结果代入式(1)计算得到。 对于不同类型光谱辐射仪器, 受温度影响的变化比例函数f的多项式拟合阶数可根据实际测量结果选定, 如图3所示, 光谱辐射计CR-280受温度影响的变化比例IT/Ical可拟合为线性函数f。
| 图3 光谱辐射计CR-280在10~40 ℃测量值与室温下测量值的比(不同波长)Fig.3 The IT/Icalradio change with temperature (10~40 ℃) of CR-280 |
对于阵列式光谱辐射仪器, 探测器的不同像素点(波长)受到温度的影响存在差异。 不同波长下仪器的温度作用系数矩阵记为A(其中m是像素点; n是多项式函数阶数)
因此, 探测器各个像素点在某一温度下的响应可表示为
即
因此, 不同温度修正后的响应度可以表示为
由式(5)可以计算出不同温度下的光谱辐射度(响应度)修正结果。 此外, 任意选择非实验温度代入式(1)— 式(5), 可获得该温度下的修正值。
如图4(a)所示, 光谱辐射度温度修正方法效果非常显著, 仪器450~900 nm波段不同温度下修正值与定标值的偏差仅在± 0.5%以内; 950~1 050 nm的偏差也由± 15%左右降低为± 1%~± 2%, 任选温度(37 ℃)经过运算也得到很好的修正结果。 仪器在户外使用中, 利用温度修正方法可以大大降低由于实际温度与实验室定标温度不同而引入的测量误差。 与传统的斜率/截距(S/B)算法相比, 如图4(b)所示, 本文提出的矩阵运算方法的温度修正结果更佳。
不同类型光谱辐射测量仪器, 受温度的影响变化趋势不同。 为了验证上述温度修正方法的通用性, 本节分别利用Avantes和SVC两种不同类型的光谱辐射计进行温度影响实验(同第1节)。 如图5所示, 在环境温度变化时Avantes光谱仪的测量结果与定标值存在较大偏差, 近红外波段受温度的影响显著, 在1 060 nm高达± 17%的偏差。 第3节中提出: 温度变化比例拟合多项式f的阶数根据实验结果选择。 Avantes光谱仪(VIS/NIR)实验结果显示, 某波长下仪器受温度影响的变化比例IT/Ical可拟合为二项式函数(图6), 其二项式系数由温度T(5~40 ℃)的实验结果代入计算获得。 将不同波长下的温度系数, 组成温度作用系数矩阵A, 再通过矩阵运算得到不同波长下温度修正矩阵F, 从而求得修正结果Icor。 此外, 将任意非实验温度Tx代入该二项式函数f, 可计算得到不同波长在的温度修正矩阵F, 再计算出修正值。
| 图5 不同温度下, Avantes光谱仪测量值与定标值(25 ℃)的偏差Fig.5 Deviation of the Avantes response at different temperatures, relative to calibrated results |
通过上述修正运算, 5~40 ℃下仪器的修正结果与实验室定标值的偏差在± 1%以内(图7)。 代入任意非实验温度(32 ℃)进行修正运算, 不同波长下仪器的修正结果与定标值偏差小于± 1%。
| 图6 Avantes光谱仪在5~40 ℃测量值与定标值的比(不同波长)Fig.6 The IT/Ical radio change with temperature (5~40 ℃) of Avantes |
| 图7 Avantes(VIS/NIR)修正值与定标值的偏差Fig.7 Difference between the corrected and calibrated results of Avantes(VIS/NIR) |
如图8(a)所示, SVC HR-1024光谱仪在不同温度的测量值与室温(24.5 ℃)定标值的偏差在不同波段存在很大差异。 这主要由于仪器探测器由三部分组成, 包括: Si(350~1 000 nm); 制冷型InGaAs(1 000~1 850 nm); 扩展InGaAs(1 850~2 500 nm)。 制冷型InGaAs可以有效控制探测器温度使其正常工作, 而Si探测器受温度影响大, 950~1 000 nm波段测量值与定标值的偏差高达± 10%左右。 随环境温度升高, InGaAs探测器制冷效果受影响(制冷所需的最佳工作环境是20 ℃), 测量结果产生偏差。 同上, 利用式(1)— 式(5)对不同温度下实验测量结果进行修正运算, 整个波段的偏差可降低至± 1%以内。 此外, 任意选择非实验温度(33 ℃)进行矩阵运算, 如图8(b)所示, 修正结果与定标值的偏差明显降低, 950~1 000 nm的偏差由10%降低为± 1%以内。
为提高光谱辐射度定标和测量的准确度, 进一步优化实验室定标方法, 针对限制对地观测领域高精度定标与测量的主要因素, 设计搭建温度影响实验装置, 采用遥感辐射定标场中常用的光谱辐射度测量仪器, 研究环境温度对光谱辐射度测量的影响。 结论如下: (1)光谱辐射测量仪器(非制冷型探测器)受环境温度影响显著, 10 ℃ 到40 ℃温度变化时, 近红外波段存在很大偏差(± 10%~± 15%), 严重影响仪器在户外实验中测量值的准确度; (2)基于大量实验数据的统计分析, 提出一种适用性更强的温度修正方法, 可对测量结果进行有效修正, 近红外波段(950 nm左右)的偏差由± 10%降低为± 1%, 明显改善了由于户外使用与实验室定标温度差异造成的测量结果偏差, 确保不同场地、 不同类型仪器测量的一致性; (3)利用温度修正方法对不同类型的光谱辐射测量仪器(Avantes和SVC)进行修正, 大大降低由户外环境与实验室定标不同引起的偏差, 进一步验证了本文温度修正方法的通用性。
The authors have declared that no competing interests exist.
| [1] |
|
| [2] |
|
| [3] |
|
| [4] |
|
| [5] |
|
| [6] |
|
| [7] |
|
| [8] |
|
| [9] |
|
| [10] |
|

