作者简介: 汪金花, 女, 1974年生, 华北理工大学矿业工程学院教授 e-mail: jinhua66688@126.com
目前混凝土化学腐蚀损伤程度的检测主要是扫描电镜、 能谱、 XRD衍射等方法, 这些方法对于在役的混凝土结构来说, 易造成破坏, 检测时间长, 连续性差。 提出了一种基于高光谱的混凝土腐蚀产物无损检测新方法。 高光谱检测具有非接触、 方便快捷、 连续无损的优点, 但是受腐蚀混凝土实测光谱的解混模型和分析方法是实际应用的难点。 该研究根据混凝土遭受硫酸钠侵蚀生成产物的特点, 将硫酸钠侵蚀后混凝土的光谱划分成两个组分光谱的线性混合, 一个组分是水泥的水化产物光谱反射率, 另一个组分是硫酸钠侵蚀下生成主要产物钙矾石和石膏的光谱反射率。 在光谱比值导数模型的基础上, 建立混凝土腐蚀产物的光谱解混模型。 以在清水和10%Na2SO4溶液中连续浸泡的混凝土试块为研究对象, 按照15 d的采集周期, 在30~120 d连续测量两组混凝土的反射光谱。 数据经过平滑、 包络线去除后, 利用混凝土腐蚀产物的光谱解混模型进行处理。 数据一次解混后, 分析解混后光谱曲线光谱特征和变化规律, 与钙矾石和石膏混合物的标准光谱曲线进行SFF匹配拟合分析。 并结合扫描电镜和X射线衍射方法检测此次试验中钙矾石和石膏腐蚀产物的生成情况。 利用混凝土比值后的光谱曲线除以石膏光谱曲线, 完成了实测光谱的二次解混处理, 分析了钙矾石的生成量在30~120 d腐蚀过程中变化趋势。 试验结果表明, (1)试验中清水和10%Na2SO4溶液中不同龄期的两组混凝土, 反射光谱特征随着腐蚀时间的增加区分度明显。 两组试块均在1 445和1 945 nm附近有较强吸收特征, 但吸收深度不同, 10%Na2SO4溶液混凝土光谱曲线的吸收深度、 吸收面积明显大于清水中的混凝土; (2)实测光谱曲线经过混凝土光谱解混模型一次处理后的曲线, 在1 450和1 945 nm左右处有明显的吸收深谷, 与石膏和钙矾石混合物标准光谱的光谱特征一致, 两者光谱曲线的SFF匹配拟合数值达到了0.96; (3)利用比值后的光谱除以石膏光谱后的曲线很好的突出了腐蚀产物钙矾石的光谱特征。 发现随着腐蚀龄期的增长, 钙矾石在30~120 d生成量的丰度呈现先降后升趋势。 (4)根据混凝土试块腐蚀状态下的高光谱数据分析、 扫描电镜和X射线衍射的检测结果, 验证了混凝土光谱解混模型在混凝土检测中能够正确解算出腐蚀产物的类型和丰度, 为混凝土高光谱无损检测提供了理论基础。
The current testing of concrete chemical etching mainly includes scanning electron microscope, energy spectrum, X-ray diffraction,which has many disadvantages for the concrete in service such as easy to damage, longertest time, poorer continuity. It was proposed that a novel non-destructive testing of concrete corrosion products based on hyper-spectral technology could be used to overcome this shortage. Hyper-spectral test of concrete has many merits such as non-contact, convenient, and continuous lossless, but there are problems in practical application for the unmixed process and analysis of concrete measured spectrum. It was assumed that the spectrum of the concrete under sodium sulfate was a linear mixture of the two component spectra: one component was the spectral reflectivity of the cement hydration product, and another component was the spectral reflectivity of gypsum and ettringite, according toits features of hydration product in concrete, which was proposed the spectral unmixing model of corrosion products of concrete based on the derivative model of the ratio spectroscopy. The hyper-spectral test of concrete was carried out, and the test objects were two concrete sample groups, which were soaked in water and 10%Na2SO4 solution and measured the reflection spectrume very 15 days for 30 to 120 day age of concrete. Themeasured data was smoothed and continuum removed, and then was processedby spectral unmixing model of the corrosion product of the concrete in order to know the features of unmixingspectrum, which was fitted with the standard spectral curve of the mixture of gypsum and ettringite by SFF matching, and observed ettringite and gypsumcorrosion products by SEMand X-ray diffraction in theconcretesamples. the secondary unmixing of the measured spectrum was used the ratio spectrum curve of concrete divided by the gypsumto study ettringiteformation during the 30 to 120 dayscorrosion processing.The result shows that: (1) With the increase of corrosion time, there is obvious difference in the reflectance spectrum curve of two concrete sample groups at different ages in clean water and 10% Na2SO4 solution. Both of them have strong absorption near 1 445 and 1 945 nm, but the absorption depth and absorption area of the spectral curve of 10% Na2SO4 solution concrete are significantly larger than that of clear water. (2) After the once-processed about concrete spectral unmixing model, there are clear absorption valley at around 1 450 and 1 945 nm in the ratio spectrum curve, which is consistent with the standard spectrum of the mixture of gypsum and ettringite, and matching fitting value of the SFF reached 0.96; (3) The spectral characteristics of the corrosion product ettringite are well highlighted by the curve after the ratio spectrum divided by the gypsum, which indicate that the abundance of ettringite produced show down first and then upfor 30 to 120 day age of concrete.(4) The results ofhyper-spectral, SEM, and X-ray diffraction ofconcrete corrosion product undersodium sulfate attackare identical, which indicates that the type and abundance of corrosion products of the concrete can be calculated correctly with the spectral unmixing modelin the non-destructive test, and provides a theoretical basis for the research of hyper-spectral nondestructive testing of concrete.
混凝土的质量检测与控制对混凝土结构工程乃至建筑工程的安全有着重要意义。 混凝土结构在实际服役的过程中, 会受到各种复杂的力学作用和化学腐蚀, 会对混凝土性能产生影响。 混凝土的无损检测是为了评定混凝土的质量, 在不破坏混凝土结构、 使用功能的前提下, 对混凝土材料进行检测。 关于混凝土的强度、 内部缺陷和不连续的无损检测技术有很多种, 包括超声波检测法、 回弹检测法、 射线检测法、 声发射检测法、 雷达波检测法以及红外线检测法等等[1]。 而关于混凝土化学腐蚀损伤程度的检测仍然以有损检测为主, 如抗压强度试验, 扫描电镜、 能谱、 XRD衍射等方法[2, 3, 4]。 这些方法需要对混凝土分周期、 大批量的取样, 获取的样品经过处理后, 在固定设备上进行检测。 这种检测对于在役的混凝土结构来说, 易造成破坏, 检测周期长, 且连续性差。
高光谱遥感检测技术具有非接触、 方便快捷、 连续无损的优点, 近几年已经广泛应用于食品检测定级、 农业调查监测、 环境污染评估及化工检测分析等领域[5, 6, 7, 8], 如土壤重金属污染的量化评估、 估算油脂真伪的快速检测。 在材料类上也有一些相关研究, 如蒋金豹等运用高光谱技术, 通过构建比值指数区分不同品质的建筑涂料[9], 刘照军等运用拉曼光谱、 红外光谱、 X射线衍射和X射线荧光光谱, 以及扫描电子显微镜分析了中国古建筑石灰灰浆的光谱特性[10], 而关于混凝土腐蚀程度的高光谱无损检测还鲜有报导。 混凝土高光谱检测的关键技术和难点是混凝土实测光谱的解混模型和分析方法, 本研究将比值导数混合光谱解混算法引入混凝土的高光谱检测, 提出了混凝土腐蚀产物的光谱解混模型。 并以在水中和Na2SO4腐蚀溶液中连续浸泡120 d的混凝土试块为研究对象, 进行了混凝土试块表面生成产物的高光谱分析, 为混凝土高光谱无损检测提供参考。
混合物在不同波段的光谱混合特性各有不同, 其中部分波段会有较强的线性混合特征。 在线性光谱混合模型中, 像元在某一波段的光谱反射率表示为占一定比例的各个基本端元组分反射率的线性组合。 即在瞬时视场下各组分光谱的线性混合, 其比例由相关端元组分光谱的丰度决定, 如式(1)。
式(1)中, λ i为光谱通道i=1, 2, 3, …, n处的波段值; ρ (λ i)为混合物在这一波段的反射率; j=1, 2, 3, …, m表示端元组分; Fj为各端元组分在混合物中的丰度; γ j(λ i)为在λ i波长位置第j个端元的反射率; ε (λ i)为第i个光谱通道的误差项和总的误差项。
混凝土中水泥的水化是一个非常复杂的、 非均质的多相化学反应过程, 主要产物有水化硅酸钙(C-S-H)、 氢氧化钙(Ca(OH)2)、 钙矾石(AFt)和单硫型水化硫铝酸钙(AFm)等。 硫酸盐侵蚀是最广泛、 最普通的混凝土化学侵蚀形式, 当混凝土遭受硫酸钠侵蚀后, 除了会产生硅酸盐水泥水化产物, 还可能会生成钙矾石、 石膏等腐蚀产物[11]。
根据混凝土遭受硫酸钠侵蚀的生成产物特点, 假设硫酸钠侵蚀下混凝土光谱是两组分光谱的线性混合, 一组分是水泥的水化产物光谱反射率, 另一组分是硫酸钠侵蚀下生成物钙矾石和石膏的光谱反射率。 基于以上假设, 混凝土在硫酸钠侵蚀下, 光谱反射率在某一波段建立如下的线性光谱混合模型
式(2)中, λ i为光谱通道i=1, 2, 3, …, n处的波段值; ρ 1(λ i)为第一组分在这一波段的反射率, 第一组分是水化硅酸钙和氢氧化钙等混合物; ρ 2(λ i)为第二组分在这一波段的反射率, 第二组分是钙矾石、 石膏等腐蚀产物的混合物; ρ 3(λ i)为水化硅酸钙、 氢氧化钙、 石膏和钙矾石等混合物在这一波段的反射率; F1和F2为两个端元组分在混合物中的丰度; ε (λ i)为光谱反射率的误差项。
对方程进行比值处理, 比值后光谱能够压制作为除数的组分光谱特征, 而突出其混合光谱组分的影响。 在式(2)两侧同时除以第一组分的光谱反射率ρ 1(λ i), 等式变为
ρ 3(λ i)光谱除以ρ 1(λ i)光谱后, 压制了以水化硅酸钙和氢氧化钙为主的ρ 1(λ i)光谱特点, 突出了ρ 2(λ i)的钙矾石、 石膏的混合光谱特征。
对式(3)λ i求导, 可得
求导之后的光谱只与其中一种组分的丰度线性相关, 而与作为除数的组分丰度无关。 从式(4)可以看出, 求导后的导数光谱与第一种组分F1的含量无关, 只与第二组分的丰度F2成线性相关。 即比值求导后光谱反射率只与钙矾石、 石膏的光谱特征相关。 当F2丰度逐渐递增时, 表明钙矾石、 石膏在混合光谱的端元组分丰度在逐渐增大。 通过以上推导, 说明混凝土光谱比值导数法可以适用于混凝土腐蚀过程产物的量化研究。
试验所用水泥为唐山冀东水泥股份有限公司生产的P· O42.5普通硅酸盐水泥, 其主要性能指标见表1; 粗集料为5~20 mm连续级配碎石, 表观密度为2 778 kg· m-3, 堆积密度为1 643.3 kg· m-3; 细集料为天然河砂, 细度模数为2.6, 表观密度为2 556 kg· m-3, 堆积密度为1 840 kg· m-3; 粉煤灰为Ⅱ 级灰, 细度(45 μ m筛余)为17.9%, 需水量比为100%, 烧失量为6.8%; 矿粉为S95矿粉, 密度为2.89 g· cm-3, 比表面积为416 m2· kg-1, 烧失量为1.6%; 减水剂为聚羧酸系高效减水剂, 减水率为25%, 固含量为39%; 试验用水为自来水。 混凝土强度等级为C30, 混凝土配合比见表2。 混凝土试块尺寸为100 mm× 100 mm× 100 mm。 混凝土试块拆模后放入标准养护室养护至28 d后, 将试块分成A和B两组, A组试块放入清水中浸泡, B组试块放入质量百分比为10%的Na2SO4溶液中浸泡, 浸泡方式为全浸泡。
| 表1 水泥的主要性能指标 Table 1 The main performance index of cement |
| 表2 混凝土配合比(kg· m-3) Table 2 Concrete composition |
光谱采集采用北京安洲的SR-2500便携式地物光谱仪, 探测光谱范围为350~2 500 nm, 光谱分辨率为3.5 nm(350~1 000 nm), 22 nm@1 500 nm, 22 nm@2 100 nm。 分别对浸泡30, 60, 75, 90, 105和120 d后的A和B两组混凝土进行反射光谱的数据采集。 采集时混凝土试块于室温放置1 h左右, 采用卤素灯作为太阳光模拟器, 在暗室内进行光谱测量。 探头距所测物体高度约15 cm, 与水平面的法线夹角在10° 以内。 每个样本至少测量3次, 重复测量的差值在限差以内, 取平均值作为最终测量值。 实测光谱数据经过平滑滤波, 包络线消除处理后, 进行分析。 为了验证高光谱技术检测混凝土的有效性, 借助扫描电镜与X射线衍射来分析混凝土的腐蚀产物。 将满足规定龄期的混凝土试块压碎, 从混凝土表面随机选取不含粗大集料的浆体, 用无水乙醇终止水化。 试验时在60 ℃烘箱中烘至恒重后, 分成样品一和样品二。 样品一在断面上喷金后进行扫描电镜观察。 扫描电镜采用美国FEI Quanta 650场发射扫描电镜。 样品二用研钵研磨成粉末状, 采用日本理学Smartlab9 X射线衍射仪进行X射线衍射分析。
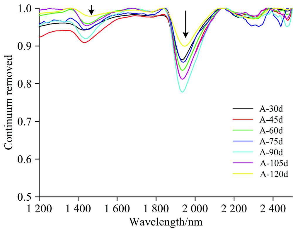
图1、 图2分别为A组、 B组混凝土各龄期去除包络线后的光谱曲线。 混凝土光谱曲线是组成混凝土各种物质光谱曲线的复杂叠加, 每种典型物质波谱吸收谷都会在混凝土光谱曲线中体现。 从图中可以看出, A组与B组光谱曲线整体走势相近, 在近红外波段(1 200~2 500 nm)吸收位置相近, 两组曲线均在1 445和1 945 nm附近体现较强吸收特征, 在1 780 nm附近存在弱吸收, 并且B组混凝土的吸收深度明显大于A组。
在实验室内采用分析纯的钙矾石和石膏微粉, 按照钙矾石(99%~85%)、 石膏(1%~15%)比例配制混合物, 采集混合物的光谱曲线, 见图3。 从图中可以看出, 钙矾石和石膏混合物光谱曲线的特征明显, 在1 420~1 600 nm有震荡式吸收特征, 在1 945 nm左右处有强吸收, 1 750 nm左右有弱吸收的光谱特征。
按式(3)对A和B两组混凝土120 d的光谱曲线进行比值处理, 得到比值后曲线B/A120, 如图4所示。 由于清水中浸泡的A组混凝土主要生成硅酸盐水泥的水化产物, 10%硫酸钠溶液浸泡的B组混凝土除了会生成硅酸盐水泥的水化产物外, 还可能会生成钙矾石、 石膏等腐蚀产物, 两者比值后光谱曲线理论上应该突出钙矾石、 石膏的混合光谱特征。 从图4中可以看出, B/A120光谱曲线在1 450和1 945 nm左右处均有明显吸收光谱特征, 与实测钙矾石和石膏混合物光谱曲线特征相似。 两者在1 360~2 100 nm光谱曲线基本走势一致, 峰谷位置大致相同。 除在2 100~2 370 nm范围光谱的峰谷位置略有差异外, 特征整体吻合。 进而说明A和B组混凝土光谱比值后曲线突出了钙矾石和石膏混合物的光谱特征, 验证了式(3)作为混凝土光谱腐蚀产物检测的有效性。
从图4可以看出, B/A120比值光谱曲线在1 450和1 945 nm左右的数值正好处于钙矾石和石膏混合物反射峰谷处。 提取混凝土B/A 120 d光谱曲线与钙矾石(91%~89%)和石膏(9%~11%)混合物的光谱曲线, 进行光谱匹配拟合分析, 见表3。 从表3可以看出, 钙矾石和石膏的三种混合物在两个特征区间1 343~1 668和1 848~2 087 nm内的吸收位置、 吸收深度、 吸收面积相近。 在特征区间1 343~1 668 nm内, B/A120与三种钙矾石和石膏混合物的拟合值几乎一致, 均达到了0.95以上; 在特征区间1 848~2 087 nm内, B/A120与三种钙矾石和石膏混合物的拟合值均在0.90以上。 其中, 在两个特征区间内, B/A120与90%钙矾石+10%石膏的拟合值均略大于B/A120与91%钙矾石+9%石膏和89%钙矾石+11%石膏的拟合值, 说明B/A120生成的腐蚀产物约为90%钙矾石和10%石膏。 同时表明了比值导数混合光谱解混算法可以量化分析混凝土受硫酸钠腐蚀下的过程产物。
| 表3 B/A120与钙矾石、 石膏混合光谱曲线拟合分析 Table 3 Spectral curve fitting analysis for B/A120 and the mixture of ettringite and gypsum |
为了验证硫酸钠腐蚀下混凝土的生成产物, 从受腐蚀120 d混凝土试块表面进行扫描电镜和X射线衍射分析, 如图5和图6所示。 从图5可以看出, 混凝土表面存在大量针状的钙矾石晶体, 从图6的X射线衍射图谱中也多处发现了明显的钙矾石衍射峰和石膏的衍射峰, 说明混凝土在硫酸钠的腐蚀下生成了钙矾石和石膏, 这与光谱混合模型解算出的产物一致, 表明了光谱测量检测混凝土光谱腐蚀产物的准确性。
图7为B/A光谱比值后包络线去除曲线, 主要表现为钙矾石与石膏两种组分的混合光谱特征。 图中不同龄期的混合光谱在1 450和1 950 nm两处出现峰值的数值波动, 说明混凝土在30~120 d浸泡腐蚀过程中, 生成的钙矾石与石膏组分在不断发生变化。 混合物是多种组分结合体, 当混合物中某种组分或物质含量占优势时, 混合物光谱曲线就会突显这种组分的光谱特征。 由式(4)可知, 比值求导之后的光谱只与被除数组分的丰度线性相关, 其系数大小代表对应组分的相对丰度。 图8为B/A比值求导后光谱反射曲线, 其丰度值大小与钙矾石、 石膏的混合光谱特征相关。 从图8可以看出, 随着混凝土腐蚀龄期的增长, 导数光谱曲线吸收峰高低呈现波动。 表4列出了特征位置及对应的丰度峰值, 可以看出B/A45和B/A90在波段范围1 350~1 469 nm附近出现峰值, B/A60和B/A90在波段范围1 829~1 952 nm附近出现峰值, 综合考虑两个波谱位置对产物识别的贡献率, 可以估算出B/A60和B/A90两处钙矾石和石膏的混合组分均出现了较大的丰度。
| 表4 不同龄期混凝土光谱比值求导后的特征光谱峰值 Table 4 Characteristic spectral peaks of spectral ratios derivation curves of concrete at different ages |
为了进一步根据比值后光谱曲线分析钙矾石和石膏生成量随时间的变化情况, 设定钙矾石和石膏的标准光谱曲线为E和G, 钙矾石和石膏的混合光谱曲线(E+G), 根据公式(3)可知, (E+G)/E就可以弱化钙矾石组分的光谱特征, 突出石膏组分的光谱特征, 见图9。 对B/A光谱曲线进行二次比值处理, 分析钙矾石和石膏30~120 d各自生成量的变化情况。 B/A/E光谱曲线是用比值后的光谱除以钙矾石光谱
曲线, 突出了腐蚀过程中石膏生成量的变化趋势, 见图10。 从图9和图10对比可以看出, 两者在1 380~2 000 nm区间光谱存在一定差异, 只在1 450和1 940 nm左右处有共同的吸收峰谷。 说明由于120 d混凝土腐蚀时间较短, 生成石膏量较少且不稳定, 易进行二次化学反应, 光谱解混出的曲线未明显突出石膏生成量的光谱特征与时间变化的比例关系。
同理, (E+G)/G可以弱化石膏组分的光谱特征, 突出钙矾石组分的光谱特征, 见图11。 B/A比值后的光谱除以石膏光谱曲线, 理论上突出了腐蚀过程中钙矾石生成量的变化趋势, 见图12。 对比图11和图12, 两曲线在1 360~2 200 nm区间走势基本一致, 波谱的峰谷位置大致相同, 不同龄期B/A/G比值后光谱在1 447和1 944 nm处峰值略有波动。 说明混凝土在硫酸钠腐蚀过程中, 主要腐蚀产物钙矾石随腐蚀时间不同而发生了变化。
提取不同龄期曲线在特征位置对应的丰度峰值, 见表5。 在30~120 d硫酸钠溶液腐蚀过程中, 混凝土腐蚀的主要产物以钙矾石为主, 且随着龄期的增长, 钙矾石的生成量不断变化。 从图13可以看出, 随着腐蚀龄期的增长, 1 447 nm处峰值变化不大, 整体平稳, 1 944 nm处峰值呈现先降后升、 随后趋于平缓的走势, 推测钙矾石生成过程的丰度也是先降后升趋势。
| 表5 不同龄期混凝土光谱B/A/G比值后光谱的特征丰度峰值 Table 5 Spectral characteristic abundance peaks of B/A/G spectral ratios of concrete at different ages |
针对混凝土化学腐蚀有损检测方法的缺点, 提出了一种混凝土腐蚀产物的高光谱检测新方法。 通过数学建模和试验验证, 得出以下结论:
(1)将比值导数混合光谱解混算法引入混凝土高光谱分析, 建立了混凝土腐蚀产物的光谱解混模型。 根据混凝土试块120 d腐蚀状态下的高光谱监测和数据分析, 验证了该模型在混凝土腐蚀检测中的有效性。
(2)通过对清水和10%Na2SO4溶液浸泡下的A和B两组混凝土试块30~120 d的高光谱监测, 发现A组与B组光谱曲线整体趋势大致相同, 在近红外波段(1 200~2 500 nm)吸收位置相近, 两组曲线均在1 445和1 945 nm附近体现较强吸收特征, 在1 780 nm附近存在弱吸收, 但是B组混凝土光谱曲线的吸收深度、 吸收面积明显大于A组。
(3)对A和B两组120 d混凝土的光谱曲线进行解混处理和数值分析发现, 运用混凝土光谱解混后B/A120曲线, 突出了腐蚀产物钙矾石和石膏混合物的光谱特征。 在1 450和1 945 nm左右两处吸收特征处, 与石膏和钙矾石混合物标准光谱的SFF拟合达到0.96。
(4)对30~120 d混凝土光谱二次解混后, 得到B/A/G比值后光谱的特征丰度峰值, 反映了整个腐蚀过程中钙矾石随时间生成量的变化过程。 但是根据峰值估算腐蚀生成产物钙矾石和石膏的定量分析, 需要结合化学检测方法进一步开展系统的应用研究。
The authors have declared that no competing interests exist.
| [1] |
|
| [2] |
|
| [3] |
|
| [4] |
|
| [5] |
|
| [6] |
|
| [7] |
|
| [8] |
|
| [9] |
|
| [10] |
|
| [11] |
|

