作者简介: 王学川, 1963年生, 陕西科技大学轻工科学与工程学院教授 e-mail: 306472253@qq.com
通过水热法采用热解明胶制备出有蓝色荧光的碳量子点, 并通过单因素优化实验对制备碳量子点的温度、 时间进行优化以选择出制备碳量子点的最佳条件, 结果表明在水热反应温度为200 ℃, 反应时间为6 h时制备的碳量子点的荧光性能最强。 同时, 利用透射电子显微镜(TEM)、 傅里叶变换红外光谱(FTIR)、 X射线光电子能谱(XPS)、 X射线衍射(XRD)、 紫外-可见吸收光谱(UV)及荧光光谱(PL)等手段对最佳条件下制备的碳量子点进行测试与表征, 结果表明, 该方法制备的碳量子点量子产率为39.4%, 与不掺杂的碳量子点相比其量子产率相对较高, 这可能是因为有N元素的存在使得量子产率有所提高; 所制备的碳量子点不仅具有丰富的含氧官能团而且抗光漂白性能良好, 形态主要是均匀分散的球形, 没有明显的晶格条纹, 这与相关文献报道的碳量子点的形态相一致, 其在250~300 nm有较弱的吸收, 但无明显的特征吸收峰, 这可能是由于C=O基团的 n— π*跃迁引起的; 此外, 还讨论了氙灯照射时间、 pH、 碳量子点浓度、 不同类型溶剂及离子强度等因素对碳量子点荧光性能的影响, 研究结果表明, 氙灯照射时间及离子强度对碳量子点荧光性能几乎无影响, 在过酸或过碱的条件下其荧光强度相对较弱, 原因可能是在过酸或过碱的条件下发生质子化或非质子化的作用导致其荧光强度减弱; 且碳量子点溶液随着其浓度的增加, 荧光强度先增加后减小; 而对于溶剂类型而言, 其在极性溶剂中的荧光强度大于其在非极性溶剂中的荧光强度, 说明该方法制备的碳量子点具有良好的水溶性。
In this article, the blue luminescent carbon quantum dots (CQDs) were prepared by hydrothermal method using pyrolysis of gelatin. The temperature, time of the prepared CQDs were optimized via single-factor experiments to select the optimal conditions for the preparation of CQDs. The results showed that fluorescence of carbon quantum dots was the strongest when the carbonization temperature was 200 ℃, and time was 6 h. At the same time, the obtained carbon quantum dots under the optimal conditions was characterized by transmission electron microscope (TEM), UV-visible spectroscopy, photoluminescence spectroscopy (PL), fourier transform infrared spectroscopy (FTIR), X-ray photoelectron spectroscopy (XPS) and X-ray diffraction (XRD), the result indicating that the quantum yield of carbon quantum dots prepared by this method is 39.4%, and the quantum yield is relatively higher than that of carbon quantum dots that do not doped, which may be due to the presence of N elements that increase the quantum yield, and the prepared carbon quantum dots not only have rich oxygen-containing functional groups but also have good photobleaching performance, and the morphology of the carbon quantum dots is mainly spherical with uniform dispersion and no obvious lattice fringes, which is consistent with the morphology of the carbon quantum dots reported in related literatures; And the carbon quantum dots had weak absorption at 250~300 nm, but there was no obvious characteristic absorption peak, which may be due to the n— π* transition of the C=O group; In addition, the pH, the Xenon lamp irradiation time, the concentration of carbon quantum dots, the type of solvent, andionic strengthon the fluorescence properties of carbon quantum dots were discussed. The results showed that the irradiation time of the xenon lamp and ionic strength had little effect on the fluorescence performance of the carbon quantum dots. The fluorescence intensity is relatively weak under peracid or overbase conditions, which may be due to protonated or non-protonated effects resulting in decreased fluorescence intensity under peracid or overbase conditions. And as the concentration of the carbon quantum dots increased, the fluorescence intensity increased first and then decreased. For the solvent type, the fluorescence intensity in the polar solvent was greater than the fluorescence intensity in the non-polar solvent which indicated that the carbon quantum dots had good water solubility by this method.
碳量子点是一种新型的尺寸小于10 nm且以碳为骨架结构的荧光纳米颗粒, 由于具有量子尺寸效应和边缘效应而表现出独特的光学性能, 在荧光材料的制备与应用领域引起了研究人员的广泛关注。 传统的荧光材料主要有半导体量子点与荧光染料, 与传统的荧光材料相比, 碳量子点是一种新型的碳基零维材料, 因其具有良好的水溶性、 化学稳定性、 耐光漂白性、 低毒性及荧光稳定性等特性[1, 2], 已被广泛应用于分子检测[3]、 生物成像及药物运输[4]等不同领域。
目前, 荧光碳量子点的制备方法主要有两种, 分别是自上而下和自下而上。 自上而下[5]的方法是指从大的碳结构中剥离碳纳米颗粒形成碳量子点的方法, 主要包括电弧放电法、 激光销蚀法及电化学合成法等。 自下而上[6]的方法是指通过热解含碳前驱物制备碳量子点的方法, 常见的“ 自下而上” 的合成方法主要有化学氧化法、 燃烧法、 水热/溶剂热法、 微波合成法、 模板法等。 水热法是指将前驱物放置在高压釜水溶液中, 在高温、 高压条件下进行水热反应, 再经分离、 洗涤、 干燥处理后而得到粉体样品的方法。 该方法因具有绿色、 简单、 快速的特点使得研究人员常用来制备碳量子点。 如Tang等[7]以葡萄糖为含碳前驱体, 采用微波辅助水热法制备了结晶度好, 尺寸分布在1.65 nm左右发深紫外光的石墨稀量子点(GQDs), 这种方法制备的碳量子点具有激发依赖的光致发光特性, 然而激发波长和GQDs的尺寸并无关系, 其荧光量子产率为7%~11%。 Dong等[8]通过柠檬酸热解法在中性pH条件下制得了尺寸在15 nm以下, 厚度在0.5~2 nm, 荧光量子产率为9.0%的蓝色荧光石墨烯量子点(GQDs), 该碳量子点在光致发光方面表现出激发独立性, 说明制备的GQDs的尺寸是比较均一的。 长春光学研究所Qu[9]等以柠檬酸为碳源, 乙二胺为氮源, 通过水热法制备出尺寸分布在2.3 nm左右的氮掺杂GQDs, 该方法制备的GQDs具有激发独立的光致发光性能, 这种氮掺杂的GQDs荧光量子点产率高达94%。 此外, 还有使用柠檬酸[10]、 葡萄糖[11]、 淀粉[12]等材料作为碳源, 以水热法制备碳量子点的相关报道。
明胶是由动物皮肤、 骨、 肌膜、 肌魅等结缔组织中的胶原部分降解成白色或淡黄色、 半透明、 微带光泽的薄片或粉粒, 按照分类依据不同, 可大致分为食用明胶、 药用明胶及工业明胶等。 工业明胶的原材料大多是经过鞣制的皮革边脚料, 因其中含有Cr(Ⅵ )等重金属难以再利用被废弃而造成环境污染[13], 为了解决皮革废弃物再利用和减少环境污染问题, 本论文探索利用皮革废弃物, 采用水热合成法, 通过加热裂解明胶制备出具有强蓝色荧光的碳量子点, 并探讨了该碳量子点的光学性能, 本制备方法绿色环保, 简单快速。 为碳量子点的制备提供了新的思路与方法, 为皮革废弃物的再利用提供了出口。
明胶(工业级, 天津市登峰化学试剂厂), 氢氧化钠(AR, 天津市河东区红岩试剂厂), 盐酸(AR, 天津市河东区红岩试剂厂), 氯化钠(AR, 天津市河东区红岩试剂厂), 溴化钾(AR, 天津市科密欧化学试剂有限公司), 硫酸奎宁(AR, 海麦克林生物化学有限公司), 浓硫酸(AR, 天津市河东区红岩试剂厂), 去离子水。 透射电子显微镜(FEI Tecnai G2 F20 S-TWIN), 美国FEI; 荧光光谱仪(爱丁堡 FS5), 英国爱丁堡; 傅里叶红外光谱(Vertex70), 德国普鲁克公司; X射线光电子能谱(AXIS SUPRA), 英国; 紫外分光光度计(Cary 5000型); X射线衍射(D/max2200PC), 德国布鲁克Bruker公司; 冷冻干燥机(LGJ-10), 北京松源华兴科技发展有限公司; 超声波细胞粉粹机(JY92-2D), 宁波新芝生物科技股份有限公司; 电热恒温鼓风干燥器(DHG-101A-1C), 上海沈荡中新电器厂; 透析袋(MWCO=3500), 上海时代生物科技有限公司; 砂芯溶剂过滤器(500 mL), 群安实验仪器有限公司。
称取5.0 g的明胶置于100 mL干净的烧杯中, 以60 mL的去离子水作为溶剂, 将其搅拌均匀并转移至100 mL聚四氟乙烯内衬反应釜中, 再将反应釜放入热鼓风烘箱中在一定温度下碳化一定时间, 然后使反应釜自然冷却至室温得到黄色的碳量子点溶液, 并将上述溶液用0.22 μ m的微孔过滤膜过滤, 用截留分子质量为3 500 Da的透析袋透析2 d, 最后干燥可得到碳量子点粉末。 其制备路线如图1所示。
选择硫酸奎宁(0.1 mol· L-1 H2SO4作为溶剂; QY=0.54)作为标准。 通过比较这些官能化产物与标准硫酸奎宁的波长积分强度来测定荧光物质的量子产率[14]。 吸光度保持在0.1以下以避免内部过滤效应。 荧光物质的量子产率使用
其中Ψ 为样品量子产率, Ψ R为硫酸奎宁量子产率的标准参考值, IR/AR为标准物质的积分强度与光密度的比值, I/A为样品积分强度与光密度的比值, η 为硫酸奎宁的折射率, η R是样品的折射率。
| 表1 量子产率计算数据 Table 1 Quantum yield of quantum dots calculation data |
1.4.1 制备碳量子点时间的优化
称取5份5.0 g的明胶分别置于5个100 mL干净的烧杯中, 以60 mL的去离子水作为溶剂, 在pH一定的条件下, 将其搅拌均匀并依次转移至5个100 mL聚四氟乙烯内衬反应釜中, 再将反应釜放入热鼓风烘箱中, 将其温度设定为200 ℃分别碳化2, 4, 6, 8和10 h, 然后使反应釜自然冷却至室温得到黄色的碳量子点溶液, 并将上述溶液用0.22 μ m的微孔过滤膜过滤, 用截留分子质量为3 500 Da的透析袋透析2 d, 最后干燥可得到碳量子点粉末。 将其配制成相同浓度的碳量子点溶液, 用荧光光谱仪测定其荧光强度, 以荧光强度为考察指标选择出最佳制备碳量子点的时间。
1.4.2 制备碳量子点温度的优化
称取5份5.0 g的明胶分别置于5个100 mL干净的烧杯中, 以60 mL的去离子水作为溶剂, 在pH一定的条件下, 将其搅拌均匀并依次转移至5个100 mL聚四氟乙烯内衬反应釜中, 再将反应釜放入热鼓风烘箱中, 将其温度分别设定为140, 160, 180, 200和220 ℃碳化6 h, 然后使反应釜自然冷却至室温得到黄色的碳量子点溶液, 并将上述溶液用0.22 μ m的微孔过滤膜过滤, 用截留分子质量为3 500 Da的透析袋透析2 d, 最后干燥可得到碳量子点粉末。 将其配制成相同浓度的碳量子点溶液, 用荧光光谱仪测定其荧光强度, 以荧光强度为考察指标选择出最佳制备碳量子点的温度。
(1) 透射电子显微镜(TEM)
采用FEI Tecnai G2 F20 S-TWIN型透射电子显微镜对样品的形貌进行分析, 室温下将少量碳量子点粉末在水中超声分散10 min, 然后用移液器取样滴在超薄碳膜上, 待样品中的溶剂挥发完全后, 在加速电压为200 kV的条件下进行测试。
(2) 傅里叶红外光谱分析(FTIR)
采用Vertex70型傅里叶变换红外光谱仪对粉体样品的红外光谱进行分析。 溴化钾于120 ℃干燥4 h, 将粉体与溴化钾粉末混合并研磨均匀, 然后压片后进行红外测试。 测试条件为: 扫描波数为500~4 000 cm-1, 扫描次数为32次, 分辨率为4 cm-1。
(3) X射线光电子能谱(XPS)
采用AXIS SUPRA型X射线光电子能谱仪对样品进行XPS分析。 样品以水冷聚焦单色化Al Kα 射线源条件下, 用超低能量电子束对样品表面进行电中和, 谱图采用CasaXPS及Origin软件进行处理。
(4) X光衍射仪(XRD)
采用D/max2200PC型X光衍射仪对样品的晶体结构进行测试, 室温下将样品平铺于样品台, 在Cu, Kα 为射线源(λ =1.540 6 Å ), 管压40 kV, 管流30 mA, 扫描范围2θ 为10° ~60° , 扫描速度5° · min-1的条件下将其固定在衍射仪专用支架上直接扫描测试。
(5) 紫外-可见光谱分析(UV-Vis)
采用Cary 5000型紫外-可见-近红外分光光度计对样品进行紫外光谱分析, 中速扫描, 扫描波长为200~800 nm, 采样间隔为1 nm, 光度模式为Abs。
(6) 荧光光谱分析(PL)
采用爱丁堡FS5型荧光光谱仪在150 W无臭氧氙灯激发, 220 V电压, Czerny-Turner构型的单色器, 扫描速度为100 nm· s-1, 激发波长为375 nm(带宽2.5), 发射波长为451 nm(带宽2.0)的条件下对1 mg· mL-1碳量子点溶液的荧光光谱进行测试分析。
2.1.1 制备碳量子点时间的优化
为了研究制备碳量子点的最佳时间, 该单因素实验是在温度及其他条件一定的条件下, 依据步骤1.4.1操作方法制备碳量子点, 并将其配制成1 mg· mL-1的碳量子点溶液在最大激发波长为375 nm, 最大发射波长为451 nm的条件下测定其荧光发射光谱, 测试结果如图2所示。 由图2可以看出, 随着反应时间的增加荧光强度也在增加, 在2, 4和6 h时荧光强度增加幅度很大, 在8和10 h时荧光强度增加很小, 基本趋于稳定, 因此, 为了缩短反应时间, 综合考虑选择6 h来制备碳量子点。
2.1.2 制备碳量子点温度的优化
为了研究制备碳量子点的最佳温度, 该单因素实验是在时间及其他条件一定的条件下, 依据步骤1.4.2操作方法制备碳量子点, 并将其配制成1 mg· mL-1的碳量子点溶液在最大激发波长为375 nm, 最大发射波长为451 nm的条件下测定其荧光发射光谱, 测试结果如图3所示。 由图3可以明显看出, 随着反应温度的增加荧光强度也在增加, 当温度达到220 ℃时, 荧光强度减弱, 可能是因为明胶在碳化过程中产生的碳量子点发生团聚, 导致荧光强度减弱。 因此, 制备碳量子点的适宜温度为200 ℃。
根据单因素优化实验结果可知, 基于明胶制备碳量子点的最佳条件为: 水热反应温度为200 ℃, 时间为6 h, 所制备碳量子点的量子产率为39.4%, 与未掺杂的碳量子点相比量子产率有所提高, 可能是因为该方法制备的碳量子点有氮、 硫元素的存在使量子产率相对较高。
根据上述单因素优化实验, 按1.5操作方法对最佳条件下制备的碳量子点进行TEM, FTIR, XPS, XRD, UV及PL的测试与分析。
2.2.1 碳量子点的TEM分析
利用FEI Tecnai G2 F20 S-TWIN型透射电子显微镜对水热法制备的碳量子点进行TEM测试, 其透射电镜图如图4所示。 由图4可知, 形成的CQDs主要是均匀分散的球形点。 随机选取177个CQDs来测量粒径, 并且从图4(a)插图中所示的粒晶分布直方图中, 高斯拟合曲线显示CQDs的平均尺寸约为1.82 nm。 从图4(b)像中可以观察到大多数粒子是无定形碳点, 该方法制备的碳量子点呈均匀分散的球形, 无明显的晶格条纹, 这与之前的相关文献报道一致[15]。
2.2.2 碳量子点的FTIR分析
利用VECTOR-22型红外光谱仪对水热法制备的碳量子点进行红外测定, 其红外光谱图如图5所示。 由图5可知, 3 400 cm-1为O— H的伸缩振动峰[16]; 3 318 cm-1为N— H和— NH2的伸缩振动峰; 1 650 cm-1为C=O的伸缩振动峰[16]; 1 100和920 cm-1为C— O和C— O— C的振动峰, 表明碳量子点溶液有含氧官能团的存在; 2 950和690 cm-1为S— H与S— C的振动峰, 表明有含硫官能团的存在; 1 400和1 300 cm-1为C=C与C— C的振动峰, 表明有烷基与芳基的存在[16]; 红外光谱图说明该方法制备的碳量子点具有丰富的含氧官能团如— OH, C=O等, 由此说明该方法制备的碳量子点具有良好的水溶性。
2.2.3 碳量子点的XPS分析
为了证明该方法制备的碳量子点具有N, O, S等元素的存在, 采用AXIS SUPRA型X射线光电子能谱对水热法制备碳量子点的表面成分进行XPS分析, 其结果如图6所示。 由图6可以看到C(1s)(284.6 eV), N(1s)(399.6 eV), O(1s)(531.6 eV)和S(2p)(169.6 eV)四个峰[17]。 在399.6 eV处出现的N(1s)峰, 表明制备的碳量子点有N原子的存在; 在169.6 eV处出现的S(2p)峰, 表明制备的碳量子点有S原子的存在。 其中, C, N, O, S的百分比分别为75.15%, 5.57%, 19.09%, 0.2%, S的含量与其他元素相比相对较少。
2.2.4 碳量子点的XRD分析
利用D/max2200PC型X光衍射仪对碳量子点进行XRD表征, 其表征结果如图7所示, 从图7可以看出碳量子点在22° 处有一个较宽的衍射峰, 该峰和碳的(002)晶面一致, 表明了碳的无定形特征[18], 这与透射结果一致。
2.2.5 碳量子点的紫外分析
利用Helios-γ 型紫外-分光光度计对水热法制备的碳量子点进行紫外测定, 紫外吸收图如图8所示。 由紫外吸收图可知, 碳量子点在250~300 nm有较弱的吸收, 但无明显的特征吸收峰, 这可能是由于C=O基团的n— π * 跃迁引起的[19], 这与间带半导体材料相一致, 因此, 从某种程度上表明碳量子点是一种半导体材料。
2.2.6 碳量子点的荧光分析
为了研究该方法制备的碳量子点的荧光性能, 本研究通过爱丁堡FS5型荧光光谱仪对该方法制备的碳量子点进行了荧光发射光谱测定, 其测定结果如图9所示, 由图9(a)可以看出该方法制备的碳量子点的最大激发波长为375 nm, 最大发射波长为451 nm, 在图9(a)右上角左边为碳量子点溶液在自然光照下的颜色呈淡黄色, 右边为碳量子点溶液在波长为365 nm紫外灯照射时溶液的颜色呈蓝色, 可以看出碳量子点具有很强的荧光性; 图9(b)可以看出在不同激发波长的条件下, 随着激发波长的增加, 荧光强度先增加后减小, 这是由于碳量子点的C=C不饱和键受激发后p— π * 跃迁形成的[20]。 同时, 随着激发波长的增加, 发射波长发生红移, 激发波长从325 nm增加到425 nm, 其发射波长由420 nm红移到500 nm, 当最大激发波长为375 nm, 最大发射波长为451 nm时其荧光强度最大, 这可能是由于不同尺寸的碳量子点对光的选择性存在差异或是由于碳量子点表面的发射空穴不同引起的, 表明碳量子点溶液具有一定的波长依赖性[21]。
为了研究pH对碳量子点荧光强度的影响, 将碳量子点配制成一定相同浓度不同pH的溶液再测定其荧光发射光谱图, 其测定结果如图10所示, 由图10可以看出pH为中性时碳量子点的荧光强度越强, 在过酸或过碱的条件下其荧光强度相对较弱, 原因可能是在过酸或过碱的条件下发生质子化或非质子化的作用导致其荧光强度减弱, 而pH不同时该量子点的最大发射波长并未发生变化, 这说明该碳量子点并无一定的pH依赖性[22]。
2.3.2 氙灯照射时间对碳量子点荧光性能的影响
为了考察外界因素对所制备的碳量子点稳定性能的影响, 将碳量子点配制成一定浓度的溶液在氙灯照射不同的时间下测定其荧光发射光谱, 其测定结果如图11所示, 图11是将制备的碳量子点溶液放在氙灯下照射不同时间的荧光发射光谱图, 由图11可以看出, 随着氙灯照射时间的增加, 碳量子点的荧光强度并没有发生变化, 说明该方法制备的碳量子点荧光稳定性好, 具有很好的抗光性能。
| 图11 氙灯照射不同时间碳量子点的荧光发射光谱图Fig.11 Fluorescence spectra of Carbon quantum dots at different Xenon illumination time |
2.3.3 浓度对碳量子点荧光性能的影响
为了研究浓度对碳量子点荧光性能的影响, 将制备的碳量子点粉末分别配制成0.1, 1, 2, 4和6 mg· mL-1不同梯度的溶液并用荧光光谱仪对它们进行测试, 图12为不同浓度下碳量子点的荧光发射光谱图, 由图12可知, 随着碳量子点溶液浓度的增加, 碳量子点的荧光强度增加, 但当浓度增加到一定程度时, 碳点的荧光强度不再增加, 反而下降, 这可能是碳点的自吸收所致[23]。
2.3.4 溶剂对碳量子点荧光性能的影响
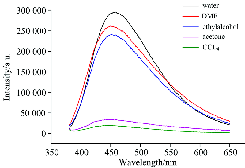
为了考察溶剂对碳量子点荧光强度的影响, 分别选用水, N, N-二甲基甲酰胺, 无水乙醇, 丙酮及四氯化碳作为溶剂, 配制成相同浓度的碳量子点溶液, 在相同条件下测定其荧光强度, 不同溶剂下碳量子点的荧光发射光谱如图13所示。 由图13可以看出, 随着溶剂极性的降低, 其荧光强度也逐渐降低, 即碳量子点溶液在极性溶剂中的荧光强度大于其在非极性溶剂中的荧光强度。
3.3.5 离子浓度对碳量子点荧光性能的影响
为了研究离子浓度对碳量子点荧光性能的影响, 将制备的碳量子点粉末配制成1 mg· mL-1的溶液, 取一定体积分别置于一系列比色管中, 并向其中加入相同体积浓度分别为0, 0.5, 1, 1.5, 2, 2.5和3 mol· L-1的NaCL溶液, 在最大激发波长为375 nm, 最大发射波长为451 nm的条件下用荧光光谱仪对它们进行测试, 图14为不同离子浓度下碳量子点的荧光发射光谱图。 由图14可知, 在浓度范围为0~3 mol· L-1的NaCl溶液中, CQDs的荧光强度基本保持稳定, 说明CQDs具有优异的抗盐能力。
采用水热法热解明胶制备了发蓝色荧光的碳量子点, 通过单因素实验对制备碳量子点的温度、 时间进行了优化, 由单因素优化实验结果可知, 在温度200 ℃, 时间为6 h时基于明胶制备的碳量子点荧光强度最强。 采用红外光谱、 X光衍射仪、 紫外吸收光谱仪及荧光光谱等手段对对最佳条件下制备的碳量子点进行测试与表征, 由这些表征结果可知, 该方法制备的碳量子点形态呈球形, 具有N, S元素的存在, 表现出良好的水溶性。 此外, 该研究还探讨了pH、 氙灯照射时间、 碳量子点浓度、 不同溶剂及离子强度对碳量子点的荧光性能的影响, 由实验结果可知, 氙灯照射时间及离子强度对碳量子点的荧光强度几乎无影响; 而随着碳量子点溶液浓度的增加, 其荧光强度先增加后减小; 对于不同类型溶剂, 碳量子点溶液在极性溶剂中的荧光强度大于其在非极性溶剂中的荧光强度。
The authors have declared that no competing interests exist.
| [1] |
|
| [2] |
|
| [3] |
|
| [4] |
|
| [5] |
|
| [6] |
|
| [7] |
|
| [8] |
|
| [9] |
|
| [10] |
|
| [11] |
|
| [12] |
|
| [13] |
|
| [14] |
|
| [15] |
|
| [16] |
|
| [17] |
|
| [18] |
|
| [19] |
|
| [20] |
|
| [21] |
|
| [22] |
|
| [23] |
|

