作者简介: 岑 奕, 女, 1979年生, 中国科学院遥感与数字地球研究所副研究员 e-mail: cenyi@radi.ac.cn
唐卡作为一件艺术品, 具有较高的历史价值和艺术价值。 对唐卡的矿物颜料进行鉴别分析, 对唐卡的鉴定、 修复、 数字化存档、 再现等具有非常重要的意义。 该研究对唐卡主色矿物颜料进行体系性的光谱分析, 选用唐卡绘制过程中5种主色常用的矿物颜料, 深入分析矿物颜料的可见光、 近红外、 短波红外光谱特征产生机理, 总结了不同色系矿物颜料可见光、 近红外、 短波红外谱段光谱特征。 通过分析同一矿物颜料粉末、 调和骨胶颜料以及颜料上布色卡光谱特征, 发现粉状颜料调和骨胶后, 反射率整体下降, 在1 447和1 928 nm附近出现两个水的强吸收特征。 而当骨胶溶物涂绘上布后, 随着膏状颜料中水分的减少, 上述两个吸收特征均变弱, 个别颜料在1 447 nm处的吸收特征甚至消失。 因此, 矿物颜料粉末和颜料上布色卡光谱极为接近, 可以在后期的唐卡颜料分析中直接利用唐卡矿物颜料粉末光谱进行匹配分析。 唐卡红色矿物颜料为朱砂, 矿物成分主要为HgS, 其光谱在可见光波段先降后升, 500 nm附近形成一个较深的吸收特征, 且吸收峰较宽(430~530 nm), 红光谱段附近反射率急速升高, 近红外波段反射率变化较为平直, 在1 940和2 250 nm附近有弱吸收特征。 唐卡黄色矿物颜料主要有三种: 土黄(雄黄、 雌黄), 赭石及金箔, 主要成分分别为硫化砷、 氧化铁及金。 其特征光谱在可见光谱段集中在400~500 nm之间, 不同颜料的吸收特征位置和吸收深度均不同。 赭石在近红外波段的反射率整体较低, 且860 nm附近还出现了吸收特征; 而雄黄、 雌黄和土黄则在近红外和短波红外谱段表现出反射率较高且波形平直, 在1 890和2 230 nm附近有弱吸收特征; 金箔在可见光波段的吸收特征窄浅, 可作为区分的依据。 唐卡蓝色矿物颜料为石青, 主要矿物成分为蓝铜矿, 其光谱在500~1 000, 1 500, 2 040, 2 285和2 350 nm附近均有较强吸收特征, 而在1 885和1 980 nm处有弱吸收特征。 唐卡绿色矿物颜料为石绿, 主要矿物成分为孔雀石, 其光谱在550~1 000 nm有较强的宽吸收特征, 在2 270和2 350 nm有明显吸收特征。 尽管石青和石绿主要矿物成分皆为碳酸铜, 但石绿在900~1 900 nm红-近红外谱段反射率增加较缓, 1 500 nm无吸收特征, 可以作为区分石青和石绿的依据。 唐卡白色矿物颜料为砗磲和白土, 主要矿物成分分别为碳酸钙和高岭土。 在可见光谱段范围, 砗磲在370 nm有弱吸收特征, 而白土则在370和730 nm处有两个明显的吸收特征, 可作为区分。 在短波红外和近红外谱段, 白土在1 425, 1 930和2 230 nm均具有明显吸收特征, 砗磲则在1 930和2 320 nm有明显吸收特征, 1 440 nm处吸收特征较弱。 且同种矿物颜料粉末, 矿物粉末颗粒越大, 颜料颜色越深, 其光谱特征反射率越低。
As a work of art, Thangka has both high historical value and artistic value. The identification and analysis of the mineral pigments of the Thangka are of great significance to the identification, repair, digital archiving and reproduction of the Thangka. This is the first systematic spectral analysis of five kinds of main Thangka mineral pigment, commonly used in the process. Through an in-depth analysis of the spectral characteristics of mineral pigments, we summarized the spectral features of Thangka’s main mineral pigments. By comparing the spectral characteristics of the same mineral pigment powder, blend bone glue and pigment on the pigment, we found that the reflectance of the powder pigment decreases after the blending of bone glue, and there are two strong absorption peaks near 1 447 and 1 928 nm. When you paint the glue soluble on the cloth, with the reduction of water paste in the paint, the two peaks become weaker, and the absorption peak at 1 447 nm or even disappears. Therefore, the spectra of mineral pigment powder and pigment on the cloth are very close. Mineral pigment powder can be directly used in the analysis of the Thangka pigment spectra match and analysis in the later period. Red mineral pigments on Thangka are cinnabar, whose mineral composition is HgS. The reflectance in the visible band rises after the first drop, and there is a deep absorption valley near 500 nm (430~530 nm). After the rapid rise of red, the reflectance curve near infrared changes slowly, and there are weak absorption valleys in the vicinity of 1 940 and 2 250 nm. There are three main types of Thangka yellow mineral pigments: desert tan(realgar, orpiment), ochre and gold, whose main components are arsenic sulfide, iron oxide and gold. Their spectral characteristics are concentrated in the visible spectrum between 400~500 nm, and the absorption valley position and absorption depth of different pigments are different. Near infrared reflectance Ochre is low, and the 860 nm has appeared near the absorption peak; while desert tan, realgar and orpiment in near infrared and shortwave infrared spectrum show high values and flat curves, with two weak absorptions in the valley near 1 890 and 2 230 nm. The absorption valley of gold in visible band is narrow and shallow, which can be used as the basis to distinguish it. Thangka’s blue mineral pigment is azurite, which has strong absorption characteristics in 500~1 000, 1 500, 2 040, 2 285 nm and near 2 350 nm, and weak absorption characteristics in 1 885 and 1 980 nm. Thangka’s green mineral pigment is malachite, and the spectrum has a strong broad absorption feature in 550~1 000, 2 270 and 2 350 nm. Although the main mineral compositions of malachite and azurite are both copper carbonate, but the reflectance value of malachite in 900~1 900 nm increases slowly, and there is no absorption characteristic at 1500nm, which can be used to distinguish them. Thangka’s white mineral pigments are mainly clay and clam, respectively, calcium carbonate and kaolin-clay. In the visible spectral range, clam has a weak absorption characteristic in 370 nm, and the clay has two obvious absorption characteristics in the 370nm and 730nm, which can be used to distinguish them. In the short wave infrared and near-infrared spectrum, clay has obvious absorption characteristics in 1 425, 1 930 and 2 230 nm, while clam has obvious absorption characteristics in 1 930 and 2 320 nm, plus a weak absorption characteristics in 1 440 nm. As for the same mineral pigment powder, the larger the mineral powder particle is, the darker the color of the pigment will be, and the lower the reflectance of the spectral characteristics will be.
唐卡是藏族文化中一种独具特色的绘画艺术形式, 涵盖宗教、 传记、 历史、 风俗等题材, 堪称西藏文化的百科全书[1], 对人们全面解析西藏的文化、 历史具有重要的价值。 矿物颜料作为唐卡最基本的颜料, 具有色彩鲜艳洁净、 性质稳定、 可保持千年不褪色的特点, 是唐卡的魅力与能量的来源。 对唐卡的矿物颜料进行鉴别分析, 准确把握其品类、 用量等, 无论对唐卡的鉴定、 实体修复, 或是数字化存档、 再现等历史文化传承, 都具有非常重要的意义。
传统的矿物颜料鉴别耗时较长且往往基于有损采样手段, 会对文物艺术品造成不可逆转的伤害。 光谱分析方法因其非接触、 可量化等特点, 渐渐成为国内外文物保护领域的研究热点[2]。 Castro等[3]用拉曼光谱分析了19世纪的手绘平板画的颜料, 认为该画含有普鲁士蓝、 人造群青、 炭黑、 铬黄等多种颜料, 并可依据颜料的首次合成年代推测该画的年代上限。 有研究对古代艺术品中常用的黄色及白色混合矿物颜料的拉曼光谱进行了相似性匹配分析, 得到了较好的实验结果。 王玉等[4]用拉曼光谱分析法确定了西藏拉萨大昭寺转经廊壁画的颜料成分。 高光谱技术具有其非接触、 无损、 快速高效的特点, 高光谱成像技术的“ 图谱合一” 可同时大幅面、 快速获取图像及反射光谱, 是目前最为高效、 安全、 不受检测对象及环境限制的颜料无损检测新技术之一[5, 6, 7, 8]。 武锋强等[9]利用拉曼光谱、 高光谱对古画矿物类颜料进行了分析, 认为高光谱可有效识别古画矿物类颜料成分, 与拉曼光谱结果基本一致。 巩梦婷等研究[10, 11]利用高光谱成像技术对中国画的颜料及壁画颜料进行分析、 鉴别及分类。
已有研究大多针对国画及壁画中的矿物颜料, 而唐卡的矿物颜料往往就地取材, 源于藏地及周边, 其发展历史具有一定的独特性和封闭性, 其制作、 绘制工艺也具有藏区的地域特点, 但少有文献报道针对唐卡矿物颜料进行体系性的可见、 近红、 短波光谱分析研究。 本工作在采集五种主色唐卡矿物颜料光谱基础上, 比较矿物颜料粉末、 融合骨胶矿物颜料以及上布矿物颜料光谱差别, 深入分析矿物颜料的可见光、 近红外、 短波红外光谱特征产生机制, 构建唐卡矿物颜料光谱特征库, 这对于利用高光谱成像技术对唐卡鉴定、 检测, 或是数字化存档、 再现等具有重要意义。
唐卡颜料主色有五种: 白、 黄、 红、 蓝、 绿; 副色则是由主色相配而成的颜色, 一般有九种: 桔黄、 肉色、 淡胭脂、 黑、 烟色、 土黄色、 深暗[1]、 绿松石和骨头色; 而副色又可以分为32种公认的配色。 本文中, 主要针对唐卡最基础的五种主色颜料进行分析。 传统唐卡的矿物颜料有20余种, 依据五种主色选用唐卡绘制最为常用的矿物颜料, 包括: 朱砂(3种)、 石青(5种)、 石绿(5种)、 雄黄、 雌黄、 土黄、 赭石、 金粉、 白土和砗磲。 各颜料及矿物成分如表1所示。 选用的矿物颜料由吉祥唐卡矿物颜料加工基地提供, 采用各大藏区出产的原生矿石, 用古法唐卡颜料磨制方法, 手工制作完成, 具有典型代表性。
| 表1 唐卡主要颜料及矿物成分 Table 1 Main pigment and mineral composition of Thangka |
为了更符合实际唐卡绘制情况, 除矿物粉末外, 还将棉布经过白土和优质骨胶的填涂、 阴干、 打磨, 制成唐卡绘画用画布[1], 将矿物粉末和骨胶进行调和后填涂在画布上, 制成矿物颜料色卡。 所选用矿物颜料的色卡如图1所示。
采用PSR-3500便携式地物光谱仪获取矿物颜料反射率光谱。 PSR光谱范围为350~2 500 nm, 光谱分辨率2~4 nm, 视场角FOV25° , 可快速进行紫外、 可见光、 近红外全谱段波谱的稳定测量。
采集时, 将研磨好的粉状矿物颜料平铺在黑色卡纸上, 尽量使粉状颜料表面平整, 范围保持半径1 cm圆, 厚度保持5 mm, 给卡纸贴上标签标明颜料种类, 作为矿物颜料粉末样例。 融化牛骨胶, 按照唐卡绘制颜料调和方式, 在黑色卡纸上调和矿物颜料的骨胶溶物, 溶物范围为半径5 mm圆, 厚度为5 mm, 作为矿物颜料骨胶溶物样例。 将经过调和的矿物颜料骨胶溶物绘制于唐卡画布上, 绘制为2 cm正方形, 反复填涂3遍, 作为矿物颜料上布色卡样例。
为降低杂散光对光谱采集的影响, 采集过程在暗室中进行, 光源为卤素光源。 为避免光源入射和观测角度变化对光谱产生影响, 采集过程中光纤探头和光源角度位置固定(保持30° ), 在探头测量范围内改变矿物颜料粉末、 骨胶溶物、 上布色卡样例测量位置。 每个样例采集10条光谱取均值, 以降低测量过程中的随机误差。
1.3.1 颜料光谱机理分析
物质光谱的产生有着严格的物理机制, 决定矿物可见光、 近红外、 短波红外谱段光谱吸收机理的主要是电子跃迁和晶格振动, 其在400~1 300 nm内的光谱特性主要取决于矿物中存在的铁等过渡性金属元素, 1 300~2 500 nm范围内的光谱特性主要由矿物中的C
(1)电子跃迁
电子在不同能级之间跃迁而吸收或发射特定波长的电磁辐射, 从而形成特定的光谱特征(如表2)。
| 表2 常见阳离子光谱特征 Table 2 Characteristics of the common cation spectrum |
(2)晶格振动
由于晶体结构不同, 由晶格振动产生的基频位置也不同。 当一个基频受外来能量激发时, 会产生基频整数倍的倍频, 从而在基频和倍频原处或附近产生合频谱带。 水分子和常见的振动基团特征如表3所示。
| 表3 水分子和常见振动基团光谱特征 Table 3 Spectral characteristics of water molecules and common vibrational groups |
1.3.2 颜料光谱特征提取
光谱特征提取以量化指标分析光谱曲线波形对应的波段波长位置、 深度、 对称度等特征, 实现对光谱特征的量化表达。
为了有效地突出光谱曲线的吸收和反射特征, 对所采集的矿物颜料光谱曲线进行包络线去除, 从而有效抑制了噪声, 突出了光谱特征信息, 并可利用多种光谱分析方法提取波段特征[12, 13]。 在包络线去除后的新光谱曲线上可得到曲线上每个点的反射率ρ c(λ ), 由此可以计算出光谱曲线上每个点的光谱吸收深度Dc(λ )。
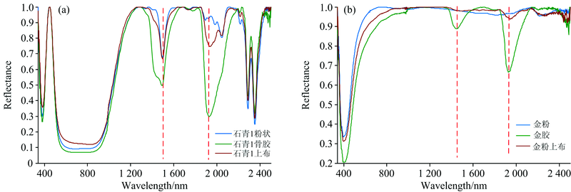
对五种主色的唐卡矿物颜料粉末、 骨胶溶物、 上布色卡进行了光谱分析, 以石青和金粉颜料为例, 其光谱去包络线后如图2所示。 粉状颜料调和骨胶后, 反射率整体下降, 在1 447和1 928 nm附近出现两个水的强吸收特征, 这是由于颜料调和骨胶后含有大量的水导致。 而当骨胶溶物涂绘上布后, 随着膏状颜料中水分的减少, 上述两个吸收特征均变弱, 个别颜料在1 447 nm处的吸收特征甚至消失。 由此可知, 矿物颜料粉末和颜料上布色卡光谱较为接近, 其光谱特征没有明显的差异; 仅在1 920 nm, 石青及金粉矿物颜料粉末与上布色卡光谱特征存在差异, 这是由于色卡中矿物颜料经过骨胶调和, 在上布之后仍含有一定水分, 在该处受到水吸收特征影响。 因此, 除1 920 nm可能导致的特征光谱差异, 唐卡矿物颜料粉末和颜料上布色卡光谱特征基本一致。 考虑后期分析的便利性以及制作的简易性, 本文以唐卡矿物颜料粉末光谱作为特征光谱分析及提取对象。
2.2.1 红色颜料
唐卡中的红色颜料主要选用三种: 朱砂1、 朱砂2和朱标。 其中朱砂1颗粒较大, 颜色较深; 朱砂2颗粒较小, 颜色较浅; 朱标由朱砂精炼而成, 颜色最浅。 图3(a)和(b)为红色颜料粉末原始光谱及去包络线后的光谱。
| 图2 石青(a)和金粉(b)颜料粉末、 骨胶溶物、上布色卡光谱去包络线Fig.2 Azurite (a) and Gold (b) pigment powder, bone glue, cloth color spectrum after the continuum-removal |
| 图3 红色矿物颜料粉末光谱 (a): 原始光谱; (b): 去包络线后光谱Fig.3 Spectrum of red mineral pigment powder (a): Original spectrum; (b): After the continuum-removal |
由于矿物成分相同, 朱标、 朱砂1和朱砂2的光谱曲线形态相似, 在可见光波段先降后升, 500 nm附近形成一个较深的吸收特征, 且宽度较宽(430~530 nm), 红光附近反射率急速升高, 近红外波段反射率变化较为平直, 在1 940和2 250 nm附近有弱吸收特征, 这和武锋强等[9]检测结果较为一致。 且在该特征谱段范围内, 随着朱砂颗粒的增加, 其颜色越深, 幅值越低。
2.2.2 黄色颜料
唐卡中的黄色颜料主要选用5种: 雄黄、 雌黄、 土黄、 赭石和金箔。 其中雄黄、 雌黄、 土黄为硫化物, 赭石为铁氧化物, 金箔为金属单质。 图4(a)和(b)分别为黄色颜料粉末原始光谱及去包络线后光谱。
| 图4 黄色矿物颜料粉末光谱 (a): 原始光谱; (b): 去包络线后光谱Fig.4 Spectrum of yellow mineral pigment powder (a): Original spectrum; (b): After the continuum-removal |
黄色颜料的光谱吸收特征主要集中在400~500 nm之间, 不同颜料的吸收特征位置和吸收深度均不同。 五种黄色颜料中, 赭石最容易区分, 在近红外波段的反射率整体较低, 且860 nm附近还出现了吸收特征, 这与铁氧化物的吸收特征一致。 而雄黄、 雌黄和土黄则在近红外和短波红外谱段反射率较高且波形平直, 在1 890和2 230 nm附近有弱吸收特征, 与红色颜料的光谱较为一致, 可能为硫化物的光谱特征。 金箔在可见光波段的吸收特征窄浅, 可作为区分的依据。
2.2.3 蓝色颜料
唐卡中的蓝色颜料主要选用5种: 石青1、 石青2、 石青3、 石青4和石青5, 主要成分均是蓝铜矿。 五种石青主要按照研磨的颗粒大小区分, 石青1颗粒最大, 颜色最深; 石青5颗粒最小, 颜色最浅。 图5为蓝色颜料粉末原始光谱及去包络线后光谱。
| 图5 蓝色矿物颜料粉末光谱 (a): 原始光谱; (b): 去包络线后光谱Fig.5 Spectrum of blue mineral pigment powder (a): Original spectrum; (b): After the continuum-removal |
由图5(a)和(b)可知, 五种石青矿物颜料成分相同, 光谱特征相似。 由比尔定律可知, 颗粒越大, 内部光学路径越长, 光子被吸收的能量也就越大; 颗粒越小, 与内部光学路径长度相比, 表面反射会成比例增加[2]。 因此在可见光和近红外波段, 矿物颜料颗粒越大, 反射率越低。 五种石青的特征波段位置相同, 在可见-近红波段, 随着颜料粉末颗粒增大, 吸收特征深度变小, 符合矿物颗粒大小对反射率影响的规律。
石青的矿物成分是蓝铜矿, 属于碱式碳酸盐, 在500~1 000, 1 500, 2 040, 2 285和2 350 nm附近均有较强吸收特征, 而在1 885和1 980 nm处有弱吸收特征。 其光谱在2 350 nm附近有强吸收特征, 1 885和1 980 nm处有弱吸收特征, 与碳酸盐的吸收波段位置较为一致。 而Cu2+在800 nm处有吸收峰, 而石青在500~1 000 nm有非常强的宽吸收带, 这也符合Cu2+的光谱特征。
2.2.4 绿色颜料光谱分析
唐卡中的绿色颜料主要选用5种: 石绿1、 石绿2、 石绿3、 石绿4和石绿5, 其主要成分均是孔雀石。 五种石绿主要按照研磨的颗粒大小区分, 石绿1颗粒最大, 颜色最深; 石绿5颗粒最小, 颜色最浅。
由图6(a)和(b)可知, 五种石绿光谱特征相似, 在可见光和近红外波段, 颗粒越大, 反射率越低, 反射率随颗粒大小的变化规律与石青一致, 在550~1 000 nm有较强的宽吸收带, 在2 270和2 350 nm有明显吸收带。
| 图6 绿色矿物颜料粉末光谱 (a): 原始光谱; (b): 去包络线后光谱Fig.6 Spectrum of green mineral pigment powder (a): Original spectrum; (b): After the continuum-removal |
石青和石绿都是含铜的碱性碳酸盐, 在碳酸盐的强特征波段2 350 nm附近, 表现出明显的吸收特征; 在2 270 nm附近表现出明显吸收特征峰, 应该是OH-弯曲振动所致; 都在800 nm有明显吸收特征, 这点与Cu2+光谱特征吻合。 但与石青不同, 石绿在900~1 900 nm红-近红谱段反射率增加较缓, 1 500 nm无吸收特征, 可以作为区分石青和石绿的依据。
2.2.5 白色颜料
唐卡中的白色颜料主要选用两种: 白土和砗磲。 白土主要成分为高岭土, 是一种含Al— OH的粘土类矿物。 砗磲则由海洋动物的贝壳研磨而成, 其主要成分为碳酸钙。
由图7(a)和(b)可知, 白土和砗磲的光谱反射率整体较高。 可见光谱段范围, 砗磲在370 nm有弱吸收峰, 而白土则在370和730 nm处有两个明显的吸收峰, 可作为区分。 在短波红外和近红外谱段, 白土在1 425, 1 930和2 230 nm均具有明显吸收峰, 1 425 nm吸收峰为羟基和水分子的振动导致, 1 930 nm附近吸收峰则是由于水分子振动导致的, 2 230 nm附近吸收特征则是铝离子和羟基作用引起的, 和Al— OH矿物光谱特征吻合。 砗磲在2 320 nm有明显吸收峰, 这与碳酸盐矿物光谱特征吻合。
唐卡作为一件艺术品, 具有较高的历史价值和艺术价值。 对唐卡的矿物颜料进行鉴别分析, 对唐卡的鉴定、 修复、 数字化存档、 再现等具有非常重要的意义。 但少有文献报道针对唐卡矿物颜料进行体系性的可见光、 近红外、 短波红外光谱分析研究。 本文对五种主色的唐卡矿物颜料粉末、 骨胶溶物、 上布色卡进行了光谱分析, 矿物颜料粉末和颜料上布色卡光谱较为接近, 其光谱特征没有明显的差异; 仅在1 920 nm附近, 矿物颜料粉末与上布色卡光谱特征存在差异, 因此, 在实际的研究中, 可以直接利用矿物颜料粉末光谱对唐卡高光谱影像数据进行分析。 对不同主色唐卡矿物颜料粉末进行光谱特征分析, 总结了不同色系矿物颜料可见光、 近红外、 短波红外谱段光谱特征, 且同种矿物颜料粉末, 矿物粉末颗粒越大, 颜料颜色越深, 其光谱特征反射率越低。
致谢: 感谢北京吉祥大地文化传播有限公司在矿物颜料样本及光谱采集试验方面提供的支持。
The authors have declared that no competing interests exist.
| [1] |
|
| [2] |
|
| [3] |
|
| [4] |
|
| [5] |
|
| [6] |
|
| [7] |
|
| [8] |
|
| [9] |
|
| [10] |
|
| [11] |
|
| [12] |
|
| [13] |
|

