作者简介: 张素兰, 女, 1984年生, 长江师范学院计算机工程学院副教授 e-mail: slzhang@cqu.edu.cn
松材线虫病又叫松树枯萎病, 是由于松材线虫寄生在松树上引起的毁灭性死亡病害, 其发病速度快、 传播迅速、 防治难度大。 如何识别松材线虫害并对其程度进行估测, 对我国森林资源及生态环境保护具有重要意义。 研究表明, 马尾松叶绿素、 水含量会随着虫害程度的加深逐渐减少, 不同虫害程度的马尾松光谱反射率呈现较大差异, 因此光谱分析技术在虫害程度估测方面具有独特优势。 针对不同虫害程度的马尾松样本, 研究了其光谱特征参数的变化规律, 以实测光谱特征参数为自变量, 样本虫害程度量化值为因变量, 利用线性回归方程构建了虫害程度估测模型。 该研究在光谱特征指标选择和估测模型方法上作了有价值的探索, 对评估松材线虫病害有一定的指导意义, 可为相关研究及当地精准农业提供科学支持和应用参考。 首先针对不同虫害程度的马尾松样本, 研究其在绿光、 红光及近红外波段内的光谱反射率变化规律, 构建指示样本虫害程度的六个光谱特征参数: 绿峰反射率(RGP)、 绿峰位置(GPP)、 红谷反射率(FRB)、 红谷位置(RBP)、 红边斜率(RES)、 红边位置(REP), 分析光谱特征参数与虫害程度的相关性。 然后构建虫害程度估测模型, 其步骤可描述为: (1)计算健康、 轻度、 中度、 重度四种不同虫害程度下的样本光谱特征参数RGP, FRB和RES; (2)量化健康、 轻度、 中度、 重度四种样本虫害程度值; (3)以实测光谱特征参数为自变量, 样本虫害程度量化值为因变量, 利用线性回归方程构建虫害程度估测模型。 实验中选取重庆市涪陵区永胜林场、 冒合寨工区的马尾松林为研究对象, 随机选取健康、 染病、 完全枯死的马尾松植株进行监测。 数据采集过程中使用ASD野外光谱分析仪FieldSepc4, 采集波段范围为从可见光400 nm到近红外波段1 100 nm处, 分辨率为1 nm。 共采集了70条马尾松植株的有效光谱数据, 根据不同虫害程度, 将其划分为健康、 轻度、 中度、 重度和枯死五种类型, 并利用Matlab软件进行处理分析, 得到其光谱反射率曲线。 选择涵盖绿光区(510~580 nm)、 红光区(620~680 nm)和近红外区(680~780 nm)三个波段, 计算各个波段的光谱特征参数, 构建虫害程度估测模型。 实验结果表明: (1)针对枯死样本, 其“绿峰”和“红谷”特征消失, 红边陡峭上升趋势被拉平。 其他几种类型样本光谱特征参数RGP, FRB和RES与虫害程度呈负相关, 虫害程度越深, 其光谱特征参数值越小, 即健康(RGP)>轻度(RGP)>中度(RGP)>重度(RGP), 健康(FRB)>轻度(FRB)>中度(FRB)>重度(FRB), 健康(RES)>轻度(RES)>中度(RES)>重度(RES)。 (2)随着虫害程度加深, 光谱特征参数GPP向长波方向移动, 即存在“红移”现象, 而光谱特征参数RBP和REP向短波方向移动, 即存在“蓝移”现象。 (3)与一元线性估测模型相比, 二元线性估测模型具有较大的相关系数 R2, 较小的估计误差E以及残差。 实验中对两棵马尾松样本虫害程度进行估测, 二元线性估测模型的结果为 PD=2.990 7和 PD=3.679, 与实际情况相符。 在后续研究中将对1 1002 500 nm波段特征进行相关性分析。
Bursaphelenches xylophilus disease, also known as pine wilt disease, is a fatal one caused by the parasitism of pine wilt nematode in pine trees. It’s difficult to prevent and control the disease because of rapid infection and spread. The recognition and estimation of the disease play a significant role in the protection of forest resources and ecological environment in China. Studies have shown that the chlorophyll and water content in Pinus Massoniana will reduce gradually when the pest degree deepens and the spectral reflectance of Pinus Massoniana in different pest degree appears to be greatly different. Therefore, the spectral analysis technique has unique advantages in pest degree estimation. In this paper, the variation regularities of the spectral characteristic parameters were studied for the samples with different pest degrees. Then the measured spectral characteristic parameters were taken as independent variables and the quantization of samples’ disease degree as dependent variables to construct an estimation model for the pest degree with the help of linear regression equation. Valuable efforts made on the spectral characteristic selection and the evaluation model could provide significant guidance for the estimation of Bursaphelenchus xylophilus disease, as well as providing scientific support and application reference for related research and local precision agriculture.Firstly, the variation of the spectral reflectance in the green, red and near infrared bands was studied; six spectral characteristic parameters indicating the degree of pest damage were conducted, including the peak reflectance and their corresponding wavelengths (positions) of the green, and red bands, as well as the slope and position of the red edge; the correlation between spectral characteristic parameter and pest degree was analyzed. Next, the liner models for estimating the pest degree of Pinus Massoniana samples were constructed. The steps consisted of (1) calculating the reflectance of spectral characteristic parameters such as green peak (RGP), reflection of red band (FRB) and red edge slope (RES) for samples in healthy, mild, moderate and severe pest degree; (2) quantizing the pest degree of these samples; (3) taking the measured spectral characteristic parameters as the independent variables and the quantitative value of the pest degree as the dependent variables, and constructing the pest degree estimation models with the linear regression equation. In the experiments, the Pinus Massoniana samples from Yongsheng Forest Farm and the area of Maohe Zhai in Fuling District of Chongqing were investigated and Pinus Massoniana trees belonging to healthy, infected and completely dead categories were tested and monitored separately and randomly. An ASD field spectrometer, FieldSepc4 with a range of 350 to 1 100 nm and a resolution of 1nm, was used to collect spectral data for Pinus Massoniana samples. 70 records of effective spectral data for Pinus Massoniana trees collected were divided into five levels, i.e. healthy, infected mildly, moderately, severely as well as dead according to the different pest levels. Spectral data was then processed by Matlab software to generate the spectral reflectance curves. The spectral characteristic parameters with wavelength covering the green region (510~580 nm), the red region (620~680 nm) and the near infrared region (680~780 nm) were calculated and the estimation models for pest degree were constructed. The results demonstrated that: (1) the spectral characteristics for dead samples such as green peak and red band disappear, at the same time, the steep uptrend of the red edge is leveled. For the remaining kinds of samples, the spectral parameters RGP, FRB and RES are negatively correlated with the pest degree. The deeper the pest degree is, the smaller the parameter is, that is Health (RGP)>Mild (RGP)>Moderate (RGP)>Severe (RGP), Health (FRB)>Mild (FRB)>Moderate (FRB)>Severe (FRB) and Health (RES)>Mild (RES)>Moderate (RES)>Severe (RES); (2) with the deepening of pest degrees, GPP moves towards the longer wave direction called “red shift” in the green peak position while RBP and REP move towards the shorter wave direction called “blue shift” in the red valley position as well as the red edge position; (3) compared with univariate linear estimation models, the bivariate models generate higher correlation coefficients, but smaller estimation error and residual. In the experiment, the two Pinus Massoniana trees were estimated. The results for the bivariate linear estimation models were PD=2.990 7 and PD=3.679 and corresponded with the actual observations. In our following research, the correlation analysis on the spectral characteristics will be extended to the 1 100~2 500 nm bands.
马尾松(Pinus Massoniana)是我国南方地区重要的一种材林树种, 也是重要的工业原料林, 同时也可用于固土、 防止水土流失, 具有较大的社会、 经济及生态价值[1]。 松材线虫最早起源于日本, 其传播极为迅速, 致死率非常高, 被国家列为重大森林生物灾害[2]。 松材线虫病是由媒介昆虫— 松褐天牛在进行补充营养过程中, 将松材线虫传入松树体内, 引起松树植株萎蔫直至枯死[3, 4]。 松树感染松材线虫病以后, 最快三个月就可以全株死亡。 重庆地区最先在长寿区发现松材线虫入侵, 如今周边几个区县均为疫区, 每年死亡松树有十万多株, 需花费上亿元去治理, 但也只能控制不能根治。 松材线虫病造成了松林大面积死亡, 对当地经济和生态环境造成严重破坏。
松材线虫病在发病早期, 受害植株自身并无明显症状, 发展到显现出肉眼可见的感病特征时, 植株则会在短时期内迅速萎蔫死亡。 如何判断植株染病并实现早期监测对松材线虫病的预防与治理具有重要的实践意义与应用价值。 有研究表明当植株受松材线虫侵害时, 由于针叶内的叶绿素下降, 导致光合作用速率减小, 从而引起相关生理变化[5]。 受害植株针叶的光谱与健康植株针叶的光谱相比, 相应特征波段的反射率会发生不同程度的变化, 因此光谱分析技术已成为松林病虫害特征检测的重要手段[6, 7]。 许章华等研究了马尾松在松毛虫自然侵染后不同感病阶段的反射光谱。 黄明祥等连续观测了健康和发病马尾松针叶的高光谱时序, 分析了松材线虫病害光谱的时序性和敏感特征[8]。 伍南等通过获取不同严重度的马尾松赤枯病冠层高光谱数据, 将冠层光谱、 一阶微分和病情严重程度数据分别进行相关性分析, 对马尾松赤枯病进行监测[9]。
上述研究结果表明, 松树的光谱特征与其健康程度具有较大的相关性, 但如何利用其相关性对松林的虫害程度进行估测的研究还比较少。 本研究以重庆市涪陵区永胜林场、 冒合寨工区的马尾松林为研究对象, 利用野外光谱分析仪采集的马尾松光谱数据, 选择400~1 100 nm波段, 涵盖绿光区(510~580 nm)、 红光区(620~680 nm)和近红外区(680~780 nm)三个波段, 计算各个波段的光谱特征参数, 然后基于光谱特征参数及线性回归方程构建松材线虫害程度估测模型, 估测样品虫害程度, 为区域农业的发展提供科学支持和应用参考。
重庆市涪陵区是进行数据采集的目标区域, 地处重庆市中东部, 介于东经106° 56'— 107° 43', 北纬29° 21'— 30° 01'之间。 同时跨越长江和乌江两条大江, 每年降水量非常丰富, 春夏秋冬四季分明。 区域地势相对比较平坦, 最高海拔是1 977 m, 最低为200~300 m之间。 其日照时间是典型的南方日照时长, 夏季基本有14 h左右, 冬季日照时间比较短, 大约10 h左右, 春季和秋季大约12 h左右, 是松树生长的理想区域。 本工作选取永胜林场、 冒合寨工区的马尾松林为研究对象。
数据采集过程中使用ASD野外光谱分析仪FieldSepc4, 其作用波段范围为3502 500 nm, 光谱分辨率为1 nm。 根据实际需求, 测量过程中设定光谱平均次数为5次, 暗电流平均次数为10次, 白板平均次数为5次。 同时使用ASD野外光谱分析仪FieldSepc4配套软件RS3, 优化FieldSpec4仪器以及采集的原始计数(RawDN)、 反射率、 辐射亮度/辐射照度等相关数据。 其中, 反射率是指太阳光通过大气层照射到地球表面, 地物会发生发射作用, 反射后的短波辐射一部分可以被FieldSpec4所接收。 利用FieldSpec4获得马尾松林光谱反射率数据, 能够反映松材线虫感染下马尾松生长健康状况, 对其生长过程进行监测。
从各个研究区内选取受松材线虫害程度不一的典型马尾松并摘取其针叶。 针叶所含叶绿素和水分含量体现了该植株虫害的严重程度。 如健康马尾松针叶呈墨绿色, 轻度受害的针叶开始变黄, 中度受害大部分针叶变为黄褐色, 而重度受害马尾松树干枯, 针叶全部变为红褐色。 根据上述症状, 采集不同虫害程度针叶样本, 用密封袋子封存并贴上标签作为标记。 采集目标样品时, 尽量遵循每株植株在树冠上层均匀选3~4个枝条, 每个枝条分别测定5次, 最后取其平均值来代表该植株的光谱值。
研究表明, 松材线虫病害光谱敏感特征波段范围为可见光和近红外之间[8], 实验中选择400~1 100 nm波段处光谱特征参数, 研究马尾松不同虫害程度光谱特征, 其涵盖绿光区、 红光区和近红外区三个波段范围。 在绿光区选择绿峰反射率(reflectance of green peak, RGP)和绿峰位置(green peak position, GPP), 在红光区选择红谷反射率(reflection of red band, FRB)和红谷位置(red band position, RBP), 在近红外区选择红边斜率(red edge slope, RES)及红边位置(red edge position, REP)作为研究不同虫害程度马尾松的光谱特征参数。 其定义及计算公式描述如下。
绿峰反射率(RGP)是指在绿光区510~580 nm波段范围内最大的波段反射率, 绿峰位置(GPP)指最大波段反射率处所对应的波长, RGP及GPP计算公式如式(1)和式(2)所示。 其中, ρ 指光谱反射率, λ 指波长。
红谷反射率(FRB)是指在红光区620~680 nm波段范围内最小的波段反射率, 红谷位置(RBP)指最小波段反射率处所对应的波长, FRB及RBP计算公式如式(3)和式(4)所示。 其中, ρ 和λ 含义同上。
红边是指在近红外波段680~780 nm范围内, 光谱反射率变化最剧烈的区域, 它是由叶绿素的强吸收和近红外叶子内部散射导致的高反射所形成[10], 是植物光谱最显著的标志, 也是反映植物健康状况的重要参数。 为了表示在近红外波段内样本光谱反射率变化剧烈程度, 引入红边斜率(RES)即红边最大值来指示红边特征, 相应公式描述如式(5)所示。 其中ρ '表示光谱反射率的一阶导数, 计算公式如式(6)所示。 红边位置(REP)指红边最大值所对应的波长, 其计算公式如式(7)所示。
采用线性回归方程如式(8)所示, 建立松材线虫害估测模型。 当p=1时表示一元线性回归方程, 当p≥ 2时表示多元线性回归方程。 实验中将所采集样本虫害程度量化为健康、 轻度、 中度及重度四种类型并分别取值为y1, y2, y3和y4, 构建因变量Y如式(9)所示。 同时计算健康、 轻度、 中度及重度样本的RGP, FRB, RES光谱特征参数构建自变量X如式(10)所示。 由式(8)可知Y=X× B, B为系数矩阵如公式(11)所示, 由此可得B=Y/X。
当p=1时, 可利用一元线性回归方程分别构建关于RGP, FRB和RES的病虫害程度PD(pest degree)的估测模型。 当p=2或p=3时, 可利用二元或三元线性回归方程构建关于RGP, FRB和RES的病虫害程度PD的估测模型。 一元线性估测模型可表示为式(12)— 式(14), 多元线性估测模型可表示为式(15)— 式(18)。 实验中采用Matlab regress工具, B=regress(Y, X)计算回归系数的点估计值B, 进而建立病虫害程度PD的估测模型。
实验中共采集了70条马尾松植株的有效光谱数据。 根据不同虫害程度, 将马尾松样本划分为健康、 轻度、 中度、 重度和枯死五种类型如图1所示, 利用光谱仪采集其光谱数据, 然后利用Matlab软件进行处理, 得到其光谱反射率曲线如图2所示。 为了消除线性或接近线性的噪声和背景的影响, 对样本的光谱反射率进行一阶微分运算, 得到了其光谱反射率的一阶导数曲线如图3所示。 在此基础上计算各个波段的光谱特征参数, 得到数据的如表1所示。
| 图1 不同虫害程度样本, (a)— (e)分别表示健康、 轻度、 中度、 严重和枯死五种类型Fig.1 Samples labeled (a)— (e)indicate healthy, mild, moderate, severe and dead pest degree separately |
| 图3 不同虫害程度样本光谱反射率一阶微分曲线Fig.3 First-order derivative curves of spectral reflectance for samples with different pest degrees |
| 表1 样本光谱特征参数值 Table 1 The value of samples’ spectral characteristic parameters |
从图2和图3可以看出, 健康、 轻度、 中度、 重度虫害程度的光谱反射率及其一阶微分曲线具有相似的变化规律, 但枯死状态的样本光谱曲线则存在着明显的差异。 因为水分和叶绿素的消失, 枯死样本在绿光区内的峰值和红光区内的谷值明显消失, 同时近红外区内的红边被逐渐拉平。 从上述光谱特征可以判断样本是否处于枯死状态, 因此后续光谱特征相关性分析及虫害程度估测模型只针对健康、 轻度、 中度、 重度四种类型。
从图2可以看出在510~580 nm波段范围内的绿光区各种虫害程度样本光谱反射率曲线达到一个峰值RGP, 并且各种虫害程度样本的RGP值大小依次为健康> 轻度> 中度> 重度, 并且差异显著。 在620~680 nm波段范围内的红光区各种虫害程度样本光谱反射率曲线达到一个谷值FRB, 并且各种虫害程度样本的FRB值大小依次为健康> 轻度> 中度> 重度, 但差异较小, 健康样本的FRB与轻度样本的FRB较为接近, 中度样本的FRB与重度样本的FRB较为接近。 从图2和图3可以看出, 在680~780 nm波段范围内的近红外区, 各种虫害程度样本的光谱反射率急剧升高并且差异显著, 各种虫害程度样本的RES值大小依次为健康> 轻度> 中度> 重度。
当受病虫侵害时, 植物光谱相对于正常生长的植物光谱而言, 所对应的特征波长值会发生移动, 向短波方向称为“ 蓝移” , 向长波方向称为“ 红移” 。 从表1及图3可以看出, 在绿光区随着受害程度的加深, 不同虫害程度样本的绿峰位置(GPP)逐渐变大, 向长波方向移动即出现“ 红移” 现象。 在红光区随着受害程度的加深, 不同虫害程度样本的红谷位置(RBP)逐渐变小, 向短波方向移动即出现“ 蓝移” 现象。 同样, 在近红外区的红边位置(REP)也存在“ 蓝移” 现象, 这些现象与马尾松赤枯病等[9]研究结果类似。
上述分析结果显示, 健康、 轻度、 中度、 重度四种类型马尾松样本光谱特征参数RGP, FRB和RES与虫害程度呈负相关, 但其光谱特征参数GPP, RBP和REP差异不是特别明显, 因此选取RGP, FRB和RES三个光谱特征参数构建松材线虫虫害程度估测模型。 估测模型构建过程可描述为如下几个步骤。 首先对四种样本病虫害程度即健康、 轻度、 中度、 重度进行量化, 分别取值为1, 2, 3和4, 得线性回归系数计算公式B=Y/X中的Y=[1 2 3 4]'。 然后根据式(1), 式(3)和式(5), 计算如图1(a)— (d)中健康、 轻度、 中度、 重度四种不同虫害程度下的样本的光谱特征参数RGP, FRB和RES, 构建线性回归系数计算公式B=Y/X中的X。 再次利用Matlab B=Regress(X, Y)函数计算得到回归方程系数B。 最后根据式(12)— 式(18)构建样本虫害程度PD的一元和多元线性估测模型如表2所示。
| 表2 线性估测模型及相关参数 Table 2 The linear estimation models and the corresponding parameters |
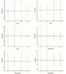
为了评估模型的准确度, 引入了相关系数R2, 估计误差E以及残差。 相关系数R2越接近1, 说明评估模型越显著; 同时估计误差E及残差值越小说明评估模型越准确。 从表2及图4可知, 一元线性估测模型中PD3的R2最大, 而其E及残差最小, 因此估测结果也较为准确。 二元线性估测模型中PD6的R2较大, 而其E及残差较小, 因此其估计结果也较为准确。 但三元线性估测模型PD7中, R2, E及残差范围出现了非法值NaN, 同时模型中PD7与RGP呈现正相关, 这与之前的结论相违背, 因此不是合理的估测模型。 另外二元线性估测模型与一元线性估测模型相比, 其相关系数R2较大, 因此估测较二元线性估测模型更为准确。
从采集数据集中选取两个样本如图5所示对估测模型进行验证。 图5所示的测试样本与图1所示的模型构建样本进行对比, 可以得出图5(a)对应的病虫害程度应介于轻度与中度之间, 图5(b)对应的病虫害程度应介于中度与重度之间。 计算图5样本所对应的光谱特征参数并将其代入表2所示的线性估测模型, 得到不同的估测数据如表3和表4所示。 从表3和表4可以看出使用二元线性估测模型对图5(a)和(b)样本进行虫害程度估测与一元线性估测模型相比其标准差SD较小, 说明各二元线性估测模型结果比较接近, 而一元线性估测模型结果之间差异较大。 因此选择二元线性估测模型进行估测并取平均值, 可得图5(a)和(b)的虫害程度分别为接近中度的PD=2.990 7和偏向重度的PD=3.679, 其估测结果与实际观测结果相符。 因此二元线性估测模型可更好地估测虫害程度。
| 图5 虫害程度估测验证样本 (a): 虫害程度较轻样本; (b): 虫害程度较重样本Fig.5 Samples for testing the pest estimation models (a): Sample in less severe pest degree; (b): Sample in severe pest degree |
| 表3 一元线性估测模型结果统计 Table 3 Results from univariate linear prediction models |
| 表4 二元线性估测模型结果统计 Table 4 Results from bivariate linear prediction models |
重点考察了不同虫害程度马尾松样本的六个光谱特征参数, 分别是绿峰反射率(RGP)和绿峰位置(GPP)、 红谷反射率(FRB)和红谷位置(RBP)、 红边斜率(RES)和红边位置(REP), 并基于光谱特征参数RGP, FRB和RES构建了虫害程度线性估测模型。 从实验结果可以得出以下结论: (1)由于松材线虫使得马尾松样本叶绿素及水分含量降低, 不同虫害程度的样本光谱特征存在明显差异。 其中, 健康(RGP)> 轻度(RGP)> 中度(RGP)> 重度(RGP), 健康(FRB)> 轻度(FRB)> 中度(FRB)> 重度(FRB), 健康(RES)> 轻度(RES)> 中度(RES)> 重度(RES)。 而针对枯死样本, 其“ 绿峰” 和“ 红谷” 特征消失, 红边的陡峭上升趋势被拉平。 (2)同其他病虫害特征类似, 松材线虫害也存在GPP“ 红移” , RBP及REP“ 蓝移” 现象。 (3)利用光谱特征参数RGP, FRB, RES构建的二元线性估测模型与一元线性估测模型相比, 二元线性估测模型具有较大的R2, 较小的E以及残差, 因此可以用二元线性估测模型估测马尾松林感染松材线虫害的程度。 由于样本数据量的限制, 本文主要针对4001 100 nm波段展开特征分析与估测模型研究, 在后续的研究中将对1 1002 500 nm波段特征进行相关性分析。
The authors have declared that no competing interests exist.
| [1] |
|
| [2] |
|
| [3] |
|
| [4] |
|
| [5] |
|
| [6] |
|
| [7] |
|
| [8] |
|
| [9] |
|
| [10] |
|

