作者简介: 吴晓萍, 女, 1994年生, 上海大学通信与信息工程学院硕士研究生 e-mail: wonderjx@t.shu.edu.cn
为客观、 有效对古陶瓷进行无损断代, 提出了一种基于可见-近红外光谱古陶瓷断代分类识别方法。 耀州窑古陶瓷跨代较多, 且不同朝代之间具有物理相似性, 因此耀州窑的断代具有一定的挑战性。 以耀州窑为研究对象, 在采用紫外-可见-近红外光谱分析仪获取古陶瓷不同朝代的多光谱数据的基础上, 提出基于分数阶微分对光谱数据进行预处理, 避免微分预处理常用的一阶微分和二阶微分遗漏中间过渡信息, 同时压制并消除光谱数据中的背景信息和噪声干扰。 实验结果表明, 未进行微分处理(0阶)时, 耀州窑不同年代古陶瓷的分类准确率仅为84.8%, 而基于不同分数阶微分的分类准确率均较0阶明显高, 分数阶微分的最优阶数为0.7阶。 另外, 提出基于深度信念网络对不同朝代古陶瓷进行断代分类, 首先采用层叠的受限玻尔兹曼机(RBM)对深度网络进行预训练, 提取光谱数据高层特征以消除光谱数据中的冗余特征。 实验结果表明, 光谱数据经RBM降维之前特征间的相关系数为0.885 7, 经第一层和第二层RBM降维后的相关系数分别为0.544 6和0.391 5, 特征间的相关性明显下降, 冗余度明显减少。 然后将RBM预训练得到的权值参数对BP神经网络进行初始化, 并对深度信念网络进行微调, 在克服BP神经网络因随机初始化权值参数而陷入局部最优局限性的同时, 提升网络训练主动性。 实验可得, 深度信念网络的最优RBM数量为2, RBM隐藏层最优节点数为100。 最后, 为避免小样本数据基于深度信念网络进行训练易出现过拟合, 提出了一种Dropout随机丢弃策略, 在深度信念网络训练阶段以一定概率随机让网络某些隐含层节点的权重不工作, 以减少网络训练过程特征之间的相互依赖性, 实验可得当Dropout丢弃比例为0.45时, 分类性能最高。 采用所提方法, 耀州窑不同朝代古陶瓷分类的平均准确率为93.5%, 而耀州窑五代时期的分类识别率最高为96.3%。 通过与同类古陶瓷断代分析方法的客观定量对比, 表明所提方法有效、 可行, 为古陶瓷的断代提供了新方法。
Visible-near infrared spectroscopy based chronology classification of ancient ceramic method has been proposed to make the identification more objective and accurate. Yaozhou kiln exists in many dynasties and it has great similarity between different dynasties. Therefore, age identification of Yaozhou kiln faces great challenges. Taking Yaozhou kiln as the research object, some multi-spectral data of ancient ceramic from different dynasties are gotten from ultraviolet-visible near infrared spectroscopy analyzer. To avoid the first-order and second-order differential missing intermediate transition information, a fractional-order differential preprocessing method is proposed to suppress and eliminate the background information and noise from spectral data. The experimental results show that the classification accuracy of Yaozhou kiln in different dynasties is only 84.8% when the differential processing is not performed (0th order), while the classification accuracy based on different fractional differentials is obviously higher than that of 0th order. And the optimal order is 0.7. Then, a deep belief network based ancient ceramic classification method is proposed. First, stacked restricted Boltzmann machine (RBM) is employed to extract some high-level features during pre-training stage. The results show that the correlation coefficient between the features before RBM dimension reduction is 0.885 7, while the correlation coefficients after dimension reduction by the first and second RBM are 0.544 6 and 0.391 5 respectively, which means the redundancy is obviously cut back. Then some weight and bias values trained by RBM are used to initialize BP neural network. The whole deep belief network is fine-tuned by BP neural network to promote the initiative performance of network training and overcome local optimal limitation of the neural network due to the random initializing weight parameter. Experimentally, the optimal number of RBMs in depth belief network is 2, and the optimal number of RBM hidden layer units is 100. Meanwhile a dropout strategy is put forward to randomly ignore neurons of some hidden layers to reduce interdependence between features in the network training process and prevent over-fitting from some small data. When the ratio of Dropout is 0.45, the classification accuracy is highest. According to the method mentioned in this paper, the chronology classification accuracy in Yaozhou kiln is 93.5%, and accuracy of Yaozhou kiln in the Five Dynasties is highest, reaching 96.3%. Comparisons with some chronology classification methods highlight the superior performance of the developed method.
我国历史源远流长, 文化遗存丰富, 而古陶瓷作为中华物质文化的一大瑰宝, 其种类繁多、 文化内涵丰富, 在研究人类文明史过程中具有重要作用。 在当今正处于大力加强中国特色社会主义文化建设的背景下, 寻找一种科学系统的, 有效的古陶瓷断代方法显得尤为迫切和重要。
传统的古陶瓷鉴定方法, 主要通过眼观、 手摸等感官手段, 从陶瓷器的器型、 釉色、 胎体等方面来鉴别判断其年代及产地。 为了克服传统陶瓷鉴定方法的感官局限, 国内外的学者纷纷在古陶瓷科技领域展开了许多工作。 目前比较成熟的包括热释光和光学方法。 热释光方法即将陶瓷样本加热, 陶瓷热释光的强度与古陶瓷的年代成正比关系。 因此热释光方法不需要依靠标准器件进行对比, 是一种绝对断代分析方法; 但是该方法只能测出古陶瓷的大致生产年代, 不能从根本上解决古陶瓷辨伪这一难题[1]; 光学方法则利用光谱仪所测得的能谱来分析各元素的含量并与标准样品窑口进行比较[2], 是一种无损检测方法, 但是该方法需要用大量的标准件建立数据库, 而选定标准件是非常困难的。
近年来, 模式识别和人工神经网络等机器学习方法[3, 4, 5, 6]越来越多地应用于古陶瓷断代分析。 其中, Qi[3]使用模糊聚类方法, 根据X射线粉末衍射(XRPD)数据对古陶瓷进行分类。 由于聚类分析是一种非监督方法, 要求同类内相似度极高, 且需要事先初始化聚类中心, 不同的聚类中心会导致不同的聚类结果, 因此分类稳定性不理想; 翁政魁[4]等使用GRNN广义回归神经网络基于古陶瓷的器形结构和釉色特征进行断代分类。 GRNN具有良好的非线性映射能力, 且收敛速度快, 但平滑因子较难确定, 导致自适应能力弱。 吴隽等[5]使用BP神经网络对景德镇仿龙泉青瓷与龙泉青瓷的化学组成数据进行判别分析, 由于BP神经网络因随机初始化权值参数取值不同, 容易陷入局部最优, 导致总体分类性能受限。
根据光学技术在古陶瓷断代中的成熟应用[2, 7], 可知不同朝代古陶瓷的光谱数据有较大差异, 在此基础上, 本文结合机器学习手段提出了一种基于可见-近红外反射光谱数据的古陶瓷断代分类识别方法。 采用紫外-可见-近红外光谱分析仪获取古陶瓷不同朝代的多光谱数据, 提出基于分数阶微分对光谱数据进行预处理, 压制并消除光谱数据中的背景信息和噪声干扰; 提出基于深度信念网络对古陶瓷断代分类, 采用基于RBM受限玻尔兹曼机对深度网络进行预训练, 提取光谱数据高层特征, 将RBM预训练得到的权值参数对BP神经网络进行初始化, 并对深度信念网络进行微调, 在克服神经网络因随机初始化权值参数而陷入局部最优局限性的同时, 提升网络训练主动性; 同时, 为避免小样本数据基于深度信念网络进行训练易出现过拟合, 提出了一种Dropout随机丢弃策略, 减少特征之间的相互依赖性。 上述方法流程框图如图1所示。
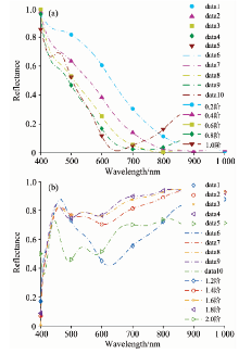
耀州窑古陶瓷跨代较多, 且不同朝代之间具有物理相似性, 如唐代和五代时期的耀州窑均存在青灰、 透明的胎釉特征, 因此耀州窑的断代具有一定的挑战性。 故而以耀州窑为研究对象, 选取来自唐、 五代、 宋、 金、 元五个不同朝代的80个耀州窑古陶瓷样品, 采用Ideaoptics公司生产的PG2000-Pro紫外-可见-近红外光谱仪。 光谱仪的光源以0° 正入射在陶瓷样品上, 采集不同朝代耀州窑样品的光谱数据。 为丰富光谱数据的多样性以利于后续的建模, 探测角范围为10° 60° , 间隔5° 。 五个不同朝代的80个耀州窑古陶瓷样品共测得880条光谱数据样本, 波长范围为400~1 100 nm, 采样间隔为0.6 nm。 其中, 图2(a)为同一朝代耀州窑样品的400~1 100 nm波长光谱曲线图, 由图2(a)可发现在1 000~1 100 nm范围内的古陶瓷光谱曲线毛刺明显, 表明存在较大的光谱幅度波动异常。 为获得可靠的古陶瓷分类模型, 选用光谱波长范围为400~1 000 nm可见-近红外波段[如图2(b)所示]进行分析、 讨论。
由图2可以发现: 耀州窑光谱曲线虽去除了波动异常的1 000~1 100 nm波段, 但400~1 000 nm波段的光谱曲线平滑性较差, 且仍存在一定的毛刺。 主要原因在于测试样本形状存在差异以及表面不均匀等因素造成背景信息和噪声等干扰。 为压制、 消除噪声和不相关信息对耀州窑断代分类影响, 采用Savitzky-Golay滤波[8]对光谱曲线进行平滑, 平滑后的光谱曲线如图3(a)所示; 同时, 为进一步避免样品表面分布不均匀以及样本颗粒度的散射影响, 基于MSC多元散射校正方法, 对上述平滑的光谱曲线进一步进行多元散射校正, 如图3(b)所示。 由图3(b)可以发现, 经上述多元散射校正后, 采用不同探测角获取的同一朝代耀州窑光谱曲线之间的差异明显减小。
| 图3 耀州窑光谱数据的预处理过程 (a): S-G平滑滤波; (b): MSC多元散射校正Fig.3 Spectral data preprocessing of Yaozhou kiln (a): S-G filtering; (b): MSC multiplicative scatter correction |
为进一步增强光谱信息, 对多元散射校正后的光谱曲线分别进行一阶和二阶微分, 如图4所示。 使用一阶微分可消除部分线性噪声和背景信息; 使用二阶微分以消除基线漂移和背景信息的影响。 由图4知: 一阶微分和二阶微分的光谱曲线差异很大。 为有效利用一阶微分和二阶微分之间的差异性, 提出将分数阶微分算法引入到光谱数据的预处理中。
| 图4 耀州窑光谱数据一阶和二阶微分预处理过程 (a): 一阶微分; (b): 二阶微分Fig.4 First and second order differential preprocessing of Yaozhou kiln spectral data (a): First order differential; (b): Second order differential |
分数阶微分是对整数阶微分的扩展, 用于研究任意阶微分数学的数学性质及其应用[9]。 分数阶微分Grunwald-Letnikov式如式(1)
式(1)中, α 为微分阶数, h为微分步长, Г 为gamma函数。
由于耀州窑光谱数据的采样间隔为0.6 nm, 故式(1)中h取0.6。
利用极限定理, 将式(1)分数阶微分表示成如式(2)递推公式
由式(2)可得到0.22.0阶(间隔为0.2)的不同阶数的微分结果并使用线性归一化方法将数据映射到01, 如图5所示。
| 图5 光谱数据不同阶微分处理 (a): 0.2~1.0阶微分; (b): 1.2~2.0阶微分Fig.5 Different order differential processing of spectral data (a): 0.2~1.0 order differential; (b): 1.2~2.0 order differential |
由图5初步可以发现, 随着微分阶数的增加, 光谱数据具有一个渐变过程。 如何利用不同阶微分进行耀州窑断代, 将在后续实验中讨论、 分析。
BP神经网络是应用广泛的一类神经网络模型, 常应用于模式分类。 由于BP神经网络的权值和阈值随机初始化, 易存在陷入局部最优[10]。 为了解决这一问题, 提出一种基于RBM受限玻尔兹曼机和BP神经网络的深度信念网络古陶瓷分类断代方法。 整个网络模型由一定数量的RBM受限玻尔兹曼机和一层有监督的BP反向传播神经网络组成, 如图6所示。
深度信念网络的整个过程, 本质上也是一个训练网络参数的过程。 为了获得良好的网络参数, 深度信念网络的训练分为两阶段: 预训练和微调。 在预训练阶段, 整个网络采用逐层训练的方法对各层RBM进行无监督训练。 RBM由可视层v和隐藏层h两层结构构成, 可视层作为输入, 隐藏层作为输出。 根据RBM的能量函数和贝叶斯方程[11], 可以得到RBM隐藏层h的输出满足如下的条件概率
相应地, 当输出层的数据确定后, 输入可视层单元的条件概率为
其中, wij为可视层单元vi和隐藏层单元hj之间的连接权重, ai为可视层单元vi的偏置, bj表示隐藏层单元hj的偏置, sigmoid表示激活函数(1/(1+e-x))。
原始光谱数据维度较高, 不可避免地会引入冗余特征和无关特征, 有些成分甚至会起到负作用, 并带来维数灾难问题。 为克服上述问题, 在预训练阶段, 深度信念网络利用层叠的RBM结构, 将低一层RBM的隐藏层输出作为高一层的RBM的可见层输入, 提取出光谱数据的高层特征, 实现特征的降维, 从而减少数据的冗余性。
在预训练阶段, 通过最大化RBM在输入层数据v上的对数似然函数得到参数梯度公式, 进一步得到参数{ai, bj, wij}。 参数梯度公式如下所示
梯度公式中包含了输入训练集的概率分布p(v), 计算量大, 无法直接计算出。 因此采用基于Gibbs采样[12]方法近似迭代梯度公式。 参数的更新方程如下
其中, ε 为学习率,
微调阶段采用有监督的BP网络进行训练, 预训练阶段每一层RBM最终训练得到的权值和阈值参数{ai, bj, wij}同样能反映降维后数据的特征性质, 因此将预训练阶段每一层RBM训练得到的权值参数用于初始化BP神经网络, 并用BP神经网络对权值参数进行微调, BP这时不需要做全局搜索, 只需要从一个有意义的起始点开始局部搜索。 最后利用BP网络的反向传播阶段将该误差回传微调整个深度信念网络的权值和阈值参数, 使实际输出与期望输出的误差达到最小值, 即实际输出越来越接近期望输出。
深度神经网络主要应用于大量数据样本, 对于小样本数据或者样本特征维度较低情形, 网络则会出现过拟合。 为防止出现过拟合, 在深度信念网络中引入如下Dropout技术: 在网络训练阶段, 以一定概率p随机让网络某些隐含层节点的权重不工作, 如图7所示。 此时深度信念网络隐层第j个节点的输出如下所示
其中, p(Xj=0)=d, 即Xj为0的概率为d, d为隐层节点随机丢弃的比例。
不工作节点可以暂时认为不是网络结构的一部分, 但保留其权重, 仅是暂时不更新。 在下次迭代过程中, 这些不工作的隐层节点可能又重新用于训练。 在小样本训练数据的情况下, 由于过多的迭代次数可能会导致节点之间具有相互依赖性。 而上述Dropout策略在每次迭代的过程中, 隐层的节点是随机丢弃的, 因此每一次训练网络都在发生变化, 从而防止特征之间相互依赖。
为获取预处理阶段分数微分的最优阶数, 将02阶(间隔为0.1阶)不同阶微分预处理后的光谱数据, 基于Dropout深度信念网络对耀州窑五个朝代的古陶瓷进行分类断代, 结果如图8所示, 其中0阶微分表示未进行微分预处理。
| 图8 耀州窑古陶瓷光谱数据在不同分数阶微分下的分类识别性能Fig.8 Classification performance of Yaozhou kiln spectral data in different fractional differential |
由图8分类识别结果知: 0阶时, 即未进行微分处理时, 耀州窑不同年代古陶瓷的分类准确率仅为84.8%, 而基于不同分数阶微分的分类准确率均较0阶明显高, 表明采用微分预处理有助于耀州窑断代分类; 且基于0.7阶微分处理的分类性能最优, 为93.5%。
因使用的古陶瓷数据范围为400~1 000 nm, 采样间隔为0.6 nm, 故光谱数据的特征维度为1 000维, 因此将Dropout深度信念网络第一个RBM网络层的输入层V0的单元个数设为1 000, 关于隐层H的单元数以及RBM的数量设置将会在后面讨论。 本实验中共包括了耀州窑唐、 五代、 宋、 金、 元五个不同朝代古陶瓷的光谱数据, 因此将最后一层的输出层Y的单元数设为5。
3.2.1 RBM数量
在Dropout深度信念网络中, RBM堆叠数量直接影响了整个网络的深度和分类结果。 RBM数量越多, 提取出的高层特征对分类越有利。 但当增加RBM数量使网络深度变深时, 将使整个深度神经网络模型分类性能降低[13]。 一方面, RBM数量的增加, 意味着该网络模型中需要更多参数参与运算, 从而导致网络模型过拟合; 另一方面, 随着RBM数量增加, 采用BP神经网络进行微调阶段造成的误差, 将在反向传播过程中不断累积增加。
为获取最佳RBM数量, 实验使用枚举法将RBM数量从1变化到5, 采用实际输出Yk与期望输出Ok均方误差进行评价
其中, r为样本数目, q为输出层的节点数。
图9为基于Dropout深度信念网络对耀州窑进行分类的均方误差和总体分类精度结果。
| 图9 Dropout深度信念网络基于不同RBM的输出均方误差及其分类性能Fig.9 Mean square error and classification performance of Dropout deep belief network based on different numbers of RBM |
由图9可以看出, RBM数量对耀州窑不同年代古陶瓷的分类性能影响明显。 RBM的数量为1时, 均方误差较大, 说明此时RBM输出层特征还不能很好地拟合输入层的光谱数据。 当RBM的数量为2时, 均方误差显著降低, 且此时分类性能达到最优。 而随着RBM数量的继续增加, 均方误差逐渐增加, 分类性能随之逐渐下降。 因此, RBM最佳数量为2。 在后续实验中, 取RBM数量为2, 并保持不变。
3.2.2 RBM隐藏层节点数
RBM隐藏层节点数越多, RBM的隐藏层越能精确地表示训练数据的分布情况; 另一方面, 若隐藏层节点数太少, 网络可能根本不能训练或网络性能很差; 但是若隐藏层的节点数过多会延长整个网络模型的训练时间, 同时会导致在使用BP神经网络进行微调阶段仍会出现过拟合现象。 为选取最优的隐藏层节点数, 使用枚举法将RBM隐层节点数从50变化到300, 实验结果如图10所示。
3.2.3 Dropout参数选择
图11为Dropout随机丢弃隐层节点的比例与分类性能之间的关系。 由图11可以看出, 深度信念网络中未引入Dropout策略, 即Dropout丢弃比例为0时, 耀州窑不同朝代的分类性能为90.5%, 引入Dropout策略后的分类性能明显提高。 在0.10.6的Dropout丢弃比例范围内, 古陶瓷断代分类性能基本保持稳定, 且当Dropout丢弃比例为0.45时, 分类性能最高, 为93.5%; 当Dropout丢弃比例达0.6后, 随着Dropout丢弃比例的增加, 分类性能却不断下降。 故选取Dropout丢弃比例为0.45。
为进一步验证光谱数据采用Dropout深度信念网络进行分类识别时, 经过堆叠的RBM降维后得到的高层特征确实消除了冗余特征, 基于皮尔逊相关系数进行评价
其中, cov(X, Y)为特征子集X与Y的协方差, var(Xi)与var(Yi)分别为特征X与Y的方差。 若R值越小, 则不同特征之间的相关性越低, 说明该特征集冗余程度越低。
光谱数据特征降维前, 维度为1 000, 得到的相关系数矩阵大小为1 000× 1 000, 降维后维度为100, 得到的相关系数矩阵大小为100× 100。 由于相关系数矩阵较大, 因此统计特征之间相关系数均值、 方差(如表1)进行比较和分析。
| 表1 光谱数据降维前后特征相关性统计与分析 Table 1 Correlation analysis of spectral data before and after dimension reduction |
由表1可以看出, 降维前(1 000维)特征之间的相关性高达0.885 7, 而方差仅为0.013 7, 表明绝大多数特征间的相关系数位于0.885 7附近(接近于1); 分别经第一层和第二层RBM降维后, 相关系数分别为降至0.544 6和0.391 5, 表明特征间的相关性明显下降, 数据的冗余度相比降维之前得到了明显减少。
为了进一步评价本方法是否有效, 与其他机器学习方法进行了对比, 所得结果如表2所示。
| 表2 不同分类方法实验对比 Table 2 Comparison of different classification methods |
由表2的对比结果可知, 本方法的分类性能最佳。 主要原因在于: 提出的Dropout深度信念网络模型, 在预训练阶段, 通过RBM无监督学习, 为BP神经网络参数提供了合适的初始值, 而传统的BP神经网络[5]随机初始化权值易导致陷入局部最优; SVM支持向量机[6]因需求解极值, 同样易陷入局部最优; 且BP神经网络可能存在小样本过拟合情况, 而本文引入随机丢弃技术有效解决了这一问题。
统计耀州窑五个朝代各自的分类识别性能, 并采用混淆矩阵形式直观显示实验结果, 如图12所示。
| 图12 基于可见-近红外光谱耀州窑不同朝代分类结果Fig.12 Chronological classification results of Yaozhou kiln based on visible-near infrared spectroscopy |
由图12结果可发现, 本方法对耀州窑不同朝代古陶瓷分类的平均准确率为93.5%。 而耀州窑五代时期的分类识别率最高, 达到96.3%。
提出了一种基于可见-近红外光谱古陶瓷断代方法, 在光谱数据预处理过程中引入分数阶微分以避免常用的一阶和二阶微分遗漏中间过渡信息, 采用深度信念网络实现不同朝代古陶瓷分类断代, 克服了BP神经网络因随机初始化权值参数而陷入局部最优, 并在深度信念网络中引入Dropout策略, 以解决小样本光谱数据出现过拟合问题。 结果表明, 本方法具有良好的古陶瓷断代分类性能。 本方法是根据不同朝代古陶瓷的光谱数据有较大差异的客观事实提出的。 但是可能会存在特定批次样本中不同朝代的光谱学特性较接近的情况而导致断代难度较大。 今后将考虑结合其他特征如器型结构、 釉色特征等, 以进一步提高断代准确率。
The authors have declared that no competing interests exist.
| [1] |
|
| [2] |
|
| [3] |
|
| [4] |
|
| [5] |
|
| [6] |
|
| [7] |
|
| [8] |
|
| [9] |
|
| [10] |
|
| [11] |
|
| [12] |
|
| [13] |
|

