作者简介: 谷 雨, 1992年生, 电子科技大学光电科学与工程学院博士研究生 e-mail: 1050019057@qq.com
随着光通信、 光信息处理技术等的快速发展, 非线性光学材料越来越受到学术界与工业的关注。 与无机非线性光学材料相比, 有机非线性光学材料具有响应时间短、 易于加工和高非线性系数等优点。 其中, 4-(4-二甲氨基苯乙烯基)甲基吡啶对甲苯磺酸盐(DAST)是人工设计的一种具有非中心对称性和较强极化率的有机非线性材料。 大量理论和实验结果表明, DAST具有高二阶光学非线性系数、 高电光系数、 大双折射率差和低介电常数等特性, 能够产生更快、 更强的光学非线性响应, 还具有优异的太赫兹波发射及吸收性能, 是目前综合性能最优、 应用最广、 最具研究价值的非线性有机材料。 近年光谱研究显示, DAST还表现出各向异性的太赫兹光谱特性。 文章系统地总结了DAST晶体在太赫兹波发射、 二次谐波产生、 电光探测和电光调制等众多领域的国内外研究成果, 还概括了我们团队近期在DAST基薄膜、 太赫兹光谱、 光电特性、 超材料等新领域的研究进展。 此外, 还提出将准相位匹配法用于DAST晶体研究、 利用电场或自组装膜诱导生长DAST晶体等新思路。 对DAST成果的总结和梳理, 将促进非线性DAST有机材料在电光调制器、 频率转换器、 THz探测器等重要领域的应用与理论研究, 使其能够更加广泛地应用在光通信、 光信息处理、 军事技术等重要领域。
With the rapid development of optical communication and optical information processing technology, nonlinear optical materials have attracted considerable attention in both industry and academia. Compared with inorganic non-linear optical materials, organic nonlinear optical materials exhibit the advantages of short response time, easy processing, and high nonlinear coefficient. Particularly, 4-N, N-dimethylamino-4’-N’-methyl-stilbazolium tosylate (DAST) is an artificially-designed organic non-linear material with non-centrosymmetry and strong polarizability. Numerous theoretical and experimental results indicated that DAST is one of the most important and successful organic nonlinear materials. Owing to its high second-order optical nonlinear coefficient, large electro-optic coefficient, large birefringence difference, and low dielectric constant, faster and stronger optical nonlinear responses can be achieved by DAST. Recent spectroscopic results revealed that DAST exhibits anisotropic THz spectral features. In this article, the growth of DAST crystals, and their practical applications in THz wave generation, second harmonic generation, as well as electro-optical detection and electro-optical modulation, are systematically reviewed. Moreover, our recent results about the preparation of DAST-based composite films, THz spectra, optoelectronic properties of DAST modified by carbon nanotubes or graphenes, and novel DAST-based metamaterials, are simultaneously presented. These results suggest a new perspective on DAST and its potential applications in the future. In addition, we have proposed some new ideas about DAST, such as DAST crystal growth induced by an electric filed or self-assembling monolayer, and frequency conversion efficiency of DAST crystal improved by quasi-phase-matching method. The DAST results systematically summarized in this review are helpful for promoting further studies on DAST-based materials and their applications in electro-optic modulators, THz detectors, frequency converters, etc, and consequently, the applications of DAST in optical communications, optical information processing, military technology and other important fields can be further expanded.
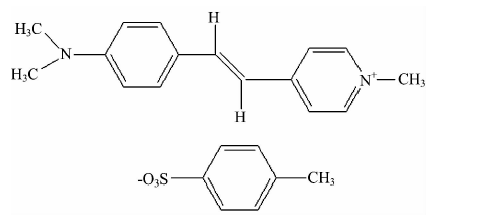
二阶非线性光学材料是一种在光信息处理、 激光通讯和军事技术等领域有重要用途的功能材料。 与无机非线性光学材料相比较, 有机非线性光学材料具有二次谐波产生(SHG)效应强、 电光响应速度快和激光损伤阈值高等优点。 此外, 有机材料还可以通过分子设计实现更强的非线性光学效应。 研究发现[1], 设计阴阳离子二元结构是目前有机分子在材料中实现非中心对称排列的最有效的方法之一。 其中, 4-(4-二甲氨基苯乙烯基)甲基吡啶对甲苯磺酸盐(简称DAST)是一种最具代表性的有机非线性材料, 其分子结构如图1所示。 在所有的非线性有机晶体中, DAST是综合性能最优、 应用最成功的一种。 1989年, Marder等在《Science》上首次报道了DAST成果[1], 并发现其SHG效率是尿素的1 000倍、 是当时所有已知材料中最大的。 随后, 麻省理工大学的Lawrence研究表明[2, 3], DAST晶体的二阶非线性光学系数d11在1 318 nm达1 010 pm· V-1、 在1 907 nm达600 pm· V-1, 为相同条件下LiNbO3晶体的20倍。 这些里程碑式成果使DAST受到学术界与工业界的广泛关注。 不仅如此, 人们还发现, DAST晶体的电光系数r11在1 313 nm为50 pm· V-1 [3]、 在820 nm为75 pm· V-1, 比目前已被广泛应用的ZnTe晶体高2个数量级[4]。 而且, DAST晶体a和b轴的折射率分别为2.34和1.65[5, 6], 具有罕见的较大的双折射率差。 此外, DAST还具有低的介电常数(ε =5.2)[7, 8], 这使其应用在光存储设备成为可能。 DAST晶体这些出色的性能可归结于其高度非中心对称性和较强的极化率, 如图1所示。 这些独特的性能使DAST在频率转换、 电光调制、 电光探测、 光信息处理和太赫兹(THz)波产生等领域发挥了重要的作用。
除了传统领域, 近年在开发DAST新性能与新应用领域等方面, 也取得一些重要进展。 我们进行了一些新的探索, 涉及DAST晶体生长的新方法、 DAST薄膜及复合薄膜[9, 10]的制备以及光电性能的控制等。 不仅如此, 我们还提出将DAST晶体作为电磁超材料的介质层, 利用DAST晶体的特殊性制作出太赫兹响应频率可调的新型超材料。 奇特的是, 通过THz光谱测量, 发现了在1.1 THz振动频率附近的罕见的“ 孪生” 峰等现象。 最近, 我们团队对DAST材料潜在的新特性、 新机制和新应用等进行了更加系统而深入的探讨。 根据此次探讨的结果, 并结合前人和我们的前期成果进行整理。 所有证据表明, DAST是一种非常有前途的多功能有机材料, 其新的性能与新的应用有待进一步挖掘, 并将在光、 电、 微机电等诸多领域发挥越来越重要的作用。
为什么非中心对称的材料能够表现出二阶光学非线性呢? 这是因为, 在没有外力作用的条件下, 材料分子中的电子被束缚在原子核周围运动。 但是, 如果给材料施加一个外电场, 电子受到的束缚力将被削弱, 原有的运动受到扰动产生和外电场相同的谐振, 由此诱导产生极化现象。 当外电场强度较大时, 介质的极化响应是非线性的, 极化强度P和场强E遵循以下关系
如果介质材料呈中心对称的结构, 由于其极化率χ (2)=0, 所以在此类材料中将无法检测到二阶非线性效应。 但是, 对于非中心对称介质材料, 其极化率的关系是χ (1)≫χ (2)≫χ (3), 所以此类材料将表现出二阶及以上的非线性效应。
DAST是有机吡啶盐的典型代表[11, 12, 13, 14]。 该类化合物构型的主要特征是: 存在给体-共轭π 桥-受体(D-π -A)的结构, 电荷通过给体端经共轭桥向受体端转移[12]。 在DAST分子中(图1), 吡啶环上的碳原子与氮原子均以sp2杂化轨道成键, 环上每个原子均以一个π 轨道形成共轭体系, 氮原子上的孤对电子不参加共轭, 所以吡啶成盐后并不破坏环状共轭体系。 该分子含有两个大π 键, 一个是苯环, 另一个是吡啶环, 通过中间的— C=C— 双键把两个大π 键共轭起来。 DAST的吡啶阳离子作为带正电荷的基团, 是一种很强的吸电子基团。 研究表明, 受体的负电性越大, 分子内电荷转移程度将越大, 相应的微观二阶极化率也将越大[15, 16]。 对于DAST分子, 其正负离子之间的电偶极矩较大, 分子的有序排列将使偶极矩在同一方向上叠加、 增强。 所以, DAST具有非常显著的二阶非线性光学效应。 需要注意的是, 电子极化与外场的频率有关。 假设外加电场的频率是ω 1和ω 2, 诱导产生的分子极化频率是ω σ , ω σ 与ω 1及ω 2不同的关系将产生不同的物理现象, 如倍频、 差频效应、 非线性电光效应、 光整流效应[16]等。 利用晶体的这些二阶非线性光学效应可以制备频率转换器、 电光调制器[17, 18, 19]、 电光探测器[11]等非线性光学器件, 还可以获得频率可调的THz波[20, 21, 22, 23]。
为了充分地发挥DAST在光学领域的特殊性能, 生长高质量的DAST单晶是关键。 目前为止, 人们提出了多种生长DAST单晶的方法, 最常用的方法有斜板法(SNM)[24]、 籽晶法[25]、 溶液蒸发法、 挥发溶液法等。 最近, 我们还开发了一些生长DAST晶体的新方法, 包括电场诱导、 自组装单分子膜诱导等[26]。
SNM是生长DAST单晶的一种重要方法。 该方法利用DAST甲醇溶液达到过饱和状态时会自发成核, 晶核落在斜板上, 当长到一定尺寸时会沿着斜板下滑、 卡在凹槽中, 由此不断长大成DAST单晶。 SNM方法的优点是, 利用晶体卡在凹槽中生长的现象, 在一定程度上可以控制晶体的有序生长。 遗憾的是, 在SNM的成核过程中, 成核的数量很难被控制; 而且, 当晶体尺寸大于1 mm时, 晶体就会沿着斜板下滑, 在底部聚集、 形成孪晶, 不利于大尺寸、 高质量单晶的获得。 例如, Bing等[24]曾用SNM方法生长出尺寸为4 mm× 4 mm× 1 mm的DAST晶体。 在传统的SNM方法的基础上, Tsunesada等[27]加入激光辐射诱导DAST晶体的生长。 作者降低饱和DAST甲醇溶液的温度, 在使溶液浓度稍微高于饱和浓度的条件下, 通过1 064 nm波长的Q开关Nd∶ YAG激光光束进行曝光, 由此改变DAST溶液的过饱和浓度, 诱导DAST晶体析出[27]。 这种方法可以增加DAST晶体的数量, 并提高DAST单晶的质量。
籽晶法与SNM方法相同, 都是利用缓慢降温来生长单晶的, 但是籽晶法需要事先准备高质量的籽晶, 据此诱导更大尺寸单晶的形成。 其中, Ruiz等[25]用籽晶法生长出了目前尺寸最大(28 mm× 28 mm× 8 mm)的DAST单晶。 该方法是在溶液达到饱和、 但又没有成核的亚稳定状态下加入籽晶, 然后缓慢降温, 使籽晶在亚稳定状态下生长。 籽晶法可以避免溶液自发成核, 从而得到大尺寸的DAST晶体, 但是该方法对温度灵敏度的要求比SNM高, 而且生长速度慢、 晶体数量少。
DAST单晶还可以利用溶液蒸发的方法制备, 即配备一定温度下饱和的DAST甲醇溶液。 溶液完全溶解后, 将其放入水浴恒温装置中, 并保持一定的温度(略低于饱和温度), 溶液蒸发一段时间后得到晶型完整、 表面清晰的DAST单晶。 但是, 如果蒸发温度过高, 溶液蒸发一定时间后易形成团簇、 黏连, 降低晶体质量。 反之, 如果温度过低, 溶剂蒸发速度非常缓慢, 难于析出晶体, 同样不利晶体生长。 所以, 该方法需要精确地选择与控制晶体的生长温度。
近年, 我们在DAST单晶研究方面取得了一些新的进展。 首先, 我们利用单片衬底缓慢挥发溶剂的方法, 在沉积有金属Al的基板上生长出DAST单晶。 这种生长方式最大的优点是可以让晶体粘附在衬底上, 而且所获得的晶体的表面平整, 没有孪晶生成。 图2显示的是我们利用该方法在缓慢挥发溶剂1个多月后, 得到的橙黄色棒状晶体。 XRD测试结果表明, 该晶体是沿(001)晶向生长的DAST水合物单晶。 在单片衬底法的基础上, 我们还改进成双片衬底剪切法, 如图3所示。 后者不仅可以减缓溶剂的挥发速度, 还可以使DAST晶体沿着衬底平面的方向生长, 据此生长出沿(001)晶向的橘红色方块形DAST单晶。 与籽晶法和斜板法相比较, 这种衬底生长DAST晶体的方法具有装置简单、 对温度的精度要求低等优点。 但是, 由于衬底生长法采用的DAST溶液量少, 合适于生长尺寸小、 平整度高的DAST晶体。 如果增大溶液量, 并将密封装置放在温度、 湿度恒定的环境下, 有望长出尺寸更大的高质量DAST单晶。
根据晶体的生长理论, 晶体生长的吉布斯自由能由体积自由能、 表面自由能和界面自由能共同决定。 与前人的生长方法类似, 在我们前期生长DAST晶体时, 主要调整生长温度和上下基板面积两个因素, 它们分别决定了晶体生长的体积自由能和表面自由能。 但是, 还缺乏对界面自由能进行有效调控。 考虑到DAST的分子结构是由带正电的吡啶阳离子和带负电荷的甲苯磺酸阴离子组成(图1), 如果引入外电场控制界面自由能, 诱导DAST分子进行有序排列, 有望据此生长出更大尺寸、 更高质量的DAST晶体。 这是一个崭新的DAST晶体的生长方法, 我们据此已取得一些有价值的成果, 正在完善相关的实验验证与理论研究。
通常, 人们先通过挥发溶液法或缓慢降温法获得厚度及形貌均不确定的DAST单晶, 然后经过加工、 转移等中间环节, 再进行DAST的后续测试及应用研究。 显然, 这种传统的DAST单晶的研究方式过程复杂、 耗时长、 影响因素多, 而且成本高、 可控性差。 直接生长DAST单晶薄膜是解决此问题的有效途径, 也是人们的理想目标。 为此, 我们近期还发展了利用自组装膜诱导生长DAST单晶的新方法[26]。 首先, 我们先在两片玻璃衬底的表面自组装一层含有— SO3-官能团的单分子膜, 然后将并排紧贴的两片玻璃衬底浸入到DAST的甲醇溶液中, 在恒湿、 恒温的密封箱中放置一段时间。 当甲醇挥发之后, 在两片玻璃衬底之间就定向生长出DAST单晶薄膜。 该方法利用— SO3-有机官能团和DAST之间的分子间氢键或范德瓦尔斯等非共价键作用, 同时利用并排紧贴的两片衬底之间的毛细管作用, 共同诱导、 控制DAST单晶的生长。 这种方法能够有效地控制DAST单晶薄膜的厚度及生长的方向, 具有良好的平整度和均匀性, 能够避免形成孪晶。 重要的是, 通过适当的表面改性, 可以利用这种自组装膜诱导技术, 在特定的衬底表面直接生长具有特定取向及厚度的DAST单晶薄膜, 避免再加工及转移等中间环节的负面影响。
光整流效应主要是采用飞秒激光器照射到非线性电光晶体, 通过与晶体发生相互作用, 进而会产生低频的极化场, 并由极化场向外辐射出THz波[28]。 THz辐射源是制约THz技术发展的关键因素之一, 开发新的THz辐射源还对介质材料的THz宽光谱快速表征有重要的意义。 近年, 多种光学和电光技术被用于探索产生宽带太赫兹辐射。 研究发现, 由于DAST具有高二阶非线性系数和高电光常数, 在相同的条件下, 通过DAST光整流效应产生THz波的效率比常用的无机半导体ZnTe的效率高一个数量级[29]。 而且, 由于DAST还具有较低的介电常数, 在光频率的激光脉冲和产生的THz波之间的速度可以匹配, 这使得提高发射效率成为可能, 因此, DAST晶体是产生THz辐射源的理想材料。
人们在利用DAST晶体产生THz辐射领域已取得了巨大进展, 由产生窄带THz波发展到超宽THz波、 由产生低频THz波发展到产生高频THz波。 早在1992年, 张希成等发现, DAST能通过光整流发射THz波, 即当光脉冲源照射到DAST单晶上, 在1.3 kHz的调制频率下, DAST晶体通过光整流产生THz波[20]。 后来, 由于产生单一频率的THz波往往难于满足实际应用的需求, 因此人们进而尝试采用可调谐的光源在较宽频率实现THz波的产生。 目前, 磷酸钛氧钾光学参量振荡器(KTP-OPO)是产生可调谐THz光最成熟的技术。 人们利用KTP-OPO技术和非线性差频效应, 在DAST晶体中产生了可调THz波[21, 22, 30]。 其中, 基于1 064 nm的KTP-OPO和1 mm厚的DAST晶体, 通过调节OPO腔内KTP晶体的角度, 产生了连续可调的0.2~1.5 THz波。 在1.2 THz可以获得最大的输出峰, 最大输出峰的功率为0.18 mW。 与之相比, 基于1 150 nm的KTP-OPO和厚度为0.2 mm的DAST晶体, 则产生频率在1.5~6.5 THz的可调THz波[30]。 据此实现基于DAST晶体的高频THz波产生, 并且观察到最大输出峰在2.5 THz、 输出功率为10 mW的太赫兹波产生。 随后, 基于1 450 nm的KTP-OPO和0.5 mm厚的DAST晶体用于产生THz波, 发现在2~20 THz范围内辐射出最大输出峰在19 THz、!输出功率为13.8 W的可调高频THz波。 此外, Stepanov等提出[31], DAST单晶和SiO2晶体的多层结构在飞秒激光脉冲作用下, 产生1~10 THz频率的宽频THz波, 而且其激光-THz波的转换效率明显地强于DAST单晶和周期极化的DAST单晶的转换效率。
值得提及的是, 对于无机非线性晶体, 如SiO2, ZnTe和LiNbO3等, 虽然也可以产生频率在0.3~7 THz的可调THz波。 但是, 由于这些无机材料的光子吸收性能较强, 所以无机非线性晶体很难产生频率大于10 THz以上的THz波。 与之不同, 有机非线性DAST晶体则可以很容易地实现高频THz波发射。 当以宽频脉冲的Ti蓝宝石激光器作为入射光, 经过一系列的啁啾镜进行负啁啾, 最后聚焦到DAST晶体表面时, 可产生高达200 THz的超宽THz波[23], 并且其强度比传统的GaSe晶体高2~3个数量级。 这说明, DAST晶体不仅是高频THz源的最佳选择, 也是宽带THz辐射源的理想选择。
光整流效应会在非线性晶体中产生一个与光强成正比而与频率无关的直流电极化场。 1962年, Bass等在实验中探测到此现象[32], 即当利用调Q红宝石激光器照射磷酸二氢钾(KDP)晶体时, 在垂直于晶体光轴方向的电极上测得了几百毫伏的直流电压输出。 DAST晶体作为一种具有极高二阶非线性系数的有机晶体, 预计不仅会产生比KDP晶体更高的光整流电信号, 而且还具备更快的光电时间响应的优点。
DAST晶体有高二阶非线性和高双折射率差等特性, 可应用在二次谐波产生(SHG)等领域。 1996年, Pan等率先在DAST单晶中观察到了在1 542 nm处相位匹配的SHG现象[33]。 DAST晶体的三个主折射率na, nb和nc都随波长而发生变化[4, 34], 其中na与nb折射率差高达0.7[5]。 非线性光学晶体中的双折射现象是实现激光倍频的有利条件。 但是, 由于光束在晶体中传输的复杂性, 使倍频效应在实际应用中受到了限制。 获得晶体的相位匹配条件是SHG实验成败的关键。 研究发现, 双轴晶体产生倍频效应的相位匹配有两种: Ⅰ 类相位匹配和Ⅱ 类相位匹配, 分别需要满足的条件是[35]
Pan等[33]在试验中采用了一束波长为1 542 nm的s偏振光, 沿着与c轴16.9° 的倾斜角照射到DAST单晶的(001)晶面上, 由此产生一个Ⅰ 类相位匹配的p偏振二次谐波[33]。 该实验测量的相位匹配角度以及曲线的形状与理论值相一致[33]。 根据该有效的二次谐波测试, 计算出二次非线性光学系数为deff=(8± 2) pm· W-1。 遗憾的是, 这种传统的双折射相位匹配技术只能在一些特定波长上实现晶体的SHG, 限制了其应用范围。
幸运的是, 这个问题在其他非线性光学领域已受到关注、 并已有相应的解决方案。 例如, 张靖等利用准相位匹配的KTP晶体获得倍频谐振光, 且其最大倍频转换效率为50.6%[36]。 陈云琳等利用准相位匹配周期极化掺镁铌酸锂, 在980 nm的基频光入射后产生490 nm的倍频光[37]。 准相位匹配技术是周期极化晶体, 即利用人为设计晶体的周期调制结构来实现频率转换过程中的相位匹配。 准相位匹配无需光波波矢方向和偏振方向的限制, 可以在晶体的全透明波段实现频率转换。 与KTP晶体的研究相类似, 对于DAST晶体, 可以类似地选择合适的周期极化晶体, 利用准相位匹配技术, 实现DAST晶体的SHG, 提高倍频的转换效率。 如果该想法获得成功, 有望使DAST晶体在全透明波段实现SHG。
在DAST晶体中, 阳离子是材料非线性的主要来源, 而阴离子则通过库仑力调节阳离子发色团的排列, 晶体a轴和阳离子电荷转移轴之间有20° 的偏移。 如此大的偏移角导致DAST有一个高阶参数, 接近电光应用的最优质值[38], 使得DAST成为一种优良的电光材料[1]。 此外, 有机材料的非线性光学效应来源于π 共轭电子体系, 而无机材料的极化则是由晶格畸变引起的。 由于电子激发的响应时间比晶格的短100倍左右, 所以有机DAST晶体在高速电光调制器[39]、 电光采样[40]和集成光波导[41]等光学集成器件领域有广泛应用。 2000年, Han等探索了DAST单晶在THz频段超快速电光传感器方面的应用[11]。 结果表明, DAST传感器探测信号的振幅、 波形和频谱范围与ZnTe传感器的测量相当[11]。 该结果证明了DAST晶体在THz频率的超快速电光传感器的应用, 并为DAST晶体应用在电光波导调制器、 电光调制器、 和其他THz区域的高速电光设备中提供了新的机会。
由于DAST的介电常数相对较低, 而且在很宽的频率范围保持不变, 从而有利于降低电光调制器的能量要求。 结合DAST的高二阶非线性, 使利用该材料实现高速电光调制器和探测器成为可能[3]。 1999年, 美国MOEC公司基于DAST有机单晶薄膜波导研制出电光强度调制器, 实现了有效的低耗传输, 而且调制频率达18 GHz。 如果采用DAST晶体并改善制作工艺和相位失配等因素, 有望实现100 GHz的超高速调制[42]。 为了将DAST集成到光电器件中, 2002年日本东北大学的Kaino等采用光刻和干法刻蚀等微细加工技术, 制作了DAST波导管[43]。 但是, DAST波导管在界面处与其他材料耦合时, 信号损耗较大(9 dB· cm-1)[43]。 2007年, 瑞士苏黎世大学的Mutter等采用电子束刻蚀技术, 在DAST晶体上实现了Mach-Zehnder电光调制器, 信号调制幅度达20%, 调制电压高于10 V[17]。 据此, 人们成功地利用DAST晶体制备出电光调制器。 由于电子束不会影响波导管中的DAST晶体, 所以DAST晶体的电光和非线性光学性质没有因为电子束的作用而改变, 这为把非线性光学有机材料应用到集成光学提供了一个新的视角。
如图1所示, DAST由阴阳离子构成。 阴离子与阳离子之间以及其各自不同的振动模式, 使DAST晶体在太赫兹波段表现出较强的响应吸收。 2000年, Walther等测量了DAST晶体在太赫兹频段不同温度的吸收系数和折射率[44]。 结果表明, DAST晶体在接近1.1 THz频率处具有极强的吸收系数, 明显地优于常规的有机及无机材料。 而且, 随着温度降低, DAST晶体在THz波段的实测吸收强度降低, 吸收峰的位置轻微地向高频移动而且线宽变窄[44]。 2010年, Cunningham等利用时域光谱(TDS)技术详细地测量了DAST晶体的a轴和b轴在0.6~2 THz的THz光谱[5]。 结果显示, DAST晶体的a轴在1.1, 3.1, 5.2, 7.1和8.4 THz处有明显的吸收峰, 而b轴则在1.1, 1.3, 1.6, 3.0, 5.2, 7.2和9.6 THz处有强吸收峰[5]。 这说明, DAST晶体在不同方向表现出不同的太赫兹光谱特征。 该现象不同于常规的无机及有机各向同性材料。 DAST的这种太赫兹光谱响应的各向异性与其化学结构的非中心对称性(图1)密切相关。
最近, 我们团队采用色散校正的密度泛函理论(dispersion-correct density functional theory, DFT-D2)方法, 对牛磺酸小分子的太赫兹光谱进行计算, 得到了与实验相吻合的仿真结果[45]。 据此, 采用DFT-D2方法, 我们对化学结构的复杂程度更高、 分子量更大的DAST(图1)进行了结构优化, 获得了与DAST初始结构相一致的基态稳定结构。 在此结构基础上, 对DAST在0~4THz范围的太赫兹光谱进行计算[46, 47]。 图4结果显示, 我们的DFT计算结果首次完整地重现了实测[47]的5个吸收峰M1— M5的位置, DAST的THz仿真光谱与前人的实测光谱[47]结果一致。 重要的是, 我们还首次对DAST在0~4 THz光谱范围的5个太赫兹吸收峰的振动模式都进行了明确的归属。 结果表明, 1.12 THz处的振动是DAST阴阳离子的光学声子模式, 1.46和1.54 THz两处的振动主要与磺酸盐有关, 而2.63和3.16 THz处的振动则分别源于阳离子的扭转振动和阴离子的转动[46]。 这些DAST太赫兹光谱研究结果不仅很好地说明了阴阳离子在太赫兹响应中各自的贡献, 还为将来通过选择阴阳离子基团获取具有更高二阶非线性效应的DAST衍生物的新合成提供了重要的参考和指导。
| 图4 在0~4 THz波段DAST仿真光谱与实测光谱测量(文献[47])的比较[46]Fig.4 Comparison of the DAST THz spectrum in the 0~4 THz range simulated by DFT and that for the DAST powder experimentally measured (Ref. [47]) |
不仅如此, 我们团队还对不同DAST基薄膜的太赫兹光谱进行了系统研究。 结果发现, 通过与碳纳米管相复合的方法, 在保持DAST太赫兹光谱特征谱峰的前提下, 可以对DAST的THz吸收率进行有效的调节[10]。 如图5所示, 通过不同浓度的碳纳米管(CNT)与DAST相复合, 可以得到不同强度的THz吸收[10]。 这种THz响应的可调节性对于探测器应用非常重要。
| 图5 DAST-碳纳米管复合薄膜的远红外光谱图[10]Fig.5 FIR spectra of various DAST-CNT composite films |
在过去数年里, 我们团队还开展了DAST的光电新应用研究, 主要包括DAST合成[9]、 薄膜制备[10]及光电性能的改进[9, 10]等。 DAST的光学应用主要依赖于DAST晶体的质量及性能, 而DAST的光电器件应用则主要依赖于DAST薄膜的质量及性能。 所以, 在光电器件应用方面, 制备高质量的DAST薄膜是关键。 早在1998年, Baldo等曾在《Advanced Materials》上发表利用化学气相沉积(CVD)的方法制备DAST薄膜的成果[48]。 遗憾的是, 这种CVD方法要求操作复杂、 价格昂贵的真空设备, 在制膜过程会伴有一些难以克服的负面影响, 如高温、 杂质污染和低能离子的破坏轰击等。 特别是, 采用CVD方法, 通常难于制备DAST复合薄膜。 为了克服这些不利因素, 我们团队进行了一些探索研究, 发展了利用传统的旋涂和喷涂技术, 制备出多种DAST基薄膜的新方法[9, 10]。 与复杂而昂贵的CVD技术不同, 旋涂和喷涂的设备及工艺简单, 能够有效地降低成本及推广应用。 重要的是, 我们完全依靠常规的成膜技术, 成功地制备了多种DAST复合薄膜。 其中, 我们曾制备出DAST和石墨烯[9]或碳纳米管[10]相复合的二元复合薄膜, 自制的单纯DAST薄膜及DAST复合薄膜的表面形貌如图6所示。 在此基础上, 我们还系统地研究了各种DAST基薄膜的光电性能及控制方法。 DAST是有机绝缘材料, 其导电性差。 但是, 如果使DAST与石墨烯[9]或碳纳米管[10]相复合, 不仅能够明显地提高DAST薄膜的导电性, 而且还能灵活地调控薄膜的电阻温度系数(TCR)。 与单纯DAST薄膜相比较, 复合薄膜的薄膜方阻明显地下降7~9个数量级、 还表现出呈负电阻温度系数的半导体特性。 其中, DAST-石墨烯(DAST-G)复合膜的TCR高达-2.79% K-1, 优于常规应用在红外探测器中的氧化钒薄膜的TCR[49]。 DAST-碳纳米管(DAST-CNT)复合膜的电阻仅为2.1× 104 Ω , 达到应用在探测器中的氧化钒薄膜的水平[49]。 值得一提的是, 我们还发现, 形成复合膜之后, 薄膜的THz吸收性能也得到了显著提高(图5), 更加有利于太赫兹探测器应用。 这些制备DAST薄膜的新方法为多功能光电材料的研制提供了新的有效途径。 重要的是, 具有综合优良的电学及光学性能的DAST基复合薄膜的成功制备, 将有力地推动光电探测器的发展。 将来, 我们通过技术和工艺的进一步优化, 可获得综合性能更优的DAST复合薄膜。 在此基础上, 探索DAST新材料在光电器件中的更优、 更广的应用。
| 图6 (a)DAST薄膜、 (b)DAST-石墨烯复合膜和(c)DAST-碳纳米管复合薄膜的扫描电镜形貌图[9, 10]Fig.6 SEM images of (a) DAST film, (b) DAST-G, and (c) DAST-CNT composite films, respectively |
在研制新型非线性DAST有机材料的基础上, 我们还开展了相关材料的应用及理论的探索研究。 其中, 利用自制的DAST单晶, 首次制备了新型的DAST超材料, 并据此观测到太赫兹响应峰强烈的Rabi分裂的物理现象。 此外, 虽然是初步的, 但也是一个有意义的发现, 即利用DAST的强太赫兹响应特性, 在共振腔的结构(如Salisbury screen)中, 有望实现具有较高吸收效率的新型THz吸波器。 这种新型的THz吸波器的结构简单, 仅由反射层、 介质层和DAST层组成。 虽然这个结构和早期应用在微波领域里的Salisbury screen相类似, 但是在细节上却有关键性的差异。 传统的Salisbury screen结构的表层是导电体, 与之不同, 在我们的Salisbury screen结构中, DAST表层却是有机绝缘体。 我们注意到, 这个差异在物理上是可以等价的。 对于不良导体, 吸收系数为
消光系数为
由于吸收系数与电导率成正比, 在吸收峰位置处吸收系数相对较高, 所以该处的等效高频电导率也很高, 可以近似地类比成导体。 由于DAST在1.1 THz处有强吸收, DAST在1.1 THz的等效电导率也相应较高。 因此, 真空的阻抗和DAST Salisbury screen的阻抗原则上有可能形成阻抗匹配, 使得太赫兹探测器在1.1 THz处有望实现较强的吸收。 这要求DAST需达到一定的厚度, 由此给设计增加了一个共振相位因子。 虽然介质层厚度的选择使谐振腔的优化难度有所增加, 但是由此制成的具有高吸收率的新型有机薄膜THz吸波器将在应用和工程上带来新的机会。
DAST具有优良的光学性能, 受到学术界与工业界的广泛关注。 由于DAST正负离子之间的强库仑力作用, 使其共轭分子呈非中心对称排列, 形成有机非线性晶体。 实验和理论分析均表明, DAST晶体具有极高的二阶光学非线性、 较大的双折射率差和电光系数、 较低的介电常数、 各向异性的太赫兹光谱响应等特殊性能, 因而能广泛地应用在光通信、 光信息处理、 军事技术等重要领域。 近年, 在DAST晶体生长、 THz波产生、 超高速电光传感器、 电光调制器、 电光采样、 光波导、 光整流、 二次谐波产生等领域均取得了显著的进展。 而且, 还发展出电场诱导及自组装单分子膜诱导DAST单晶生长等新方法。 特别是, 在DAST基多功能复合薄膜的制备、 其电学性能调控、 太赫兹光谱研究等方面取得重要进展, 扩展了DAST在光学及光电领域的新应用。 尽管如此, DAST在许多领域仍有巨大的发展潜力, 有待进一步挖掘、 开拓。 总之, DAST是一种非常有前途的多功能有机材料, 在光、 电、 力学和微机电等诸多领域将发挥越来越重要的作用。 通过对DAST的理论及应用成果进行系统的总结, 将有利于促进非线性有机材料的健康发展。
The authors have declared that no competing interests exist.
| [1] |
|
| [2] |
|
| [3] |
|
| [4] |
|
| [5] |
|
| [6] |
|
| [7] |
|
| [8] |
|
| [9] |
|
| [10] |
|
| [11] |
|
| [12] |
|
| [13] |
|
| [14] |
|
| [15] |
|
| [16] |
|
| [17] |
|
| [18] |
|
| [19] |
|
| [20] |
|
| [21] |
|
| [22] |
|
| [23] |
|
| [24] |
|
| [25] |
|
| [26] |
|
| [27] |
|
| [28] |
|
| [29] |
|
| [30] |
|
| [31] |
|
| [32] |
|
| [33] |
|
| [34] |
|
| [35] |
|
| [36] |
|
| [37] |
|
| [38] |
|
| [39] |
|
| [40] |
|
| [41] |
|
| [42] |
|
| [43] |
|
| [44] |
|
| [45] |
|
| [46] |
|
| [47] |
|
| [48] |
|
| [49] |
|

