作者简介: 吴晓萍, 1994年生, 福州大学环境与资源学院硕士研究生 e-mail: 442892858@qq.com
近年来随着我国新型国产高分影像的相继问世以及相关应用的逐步展开, 不少研究涉及了不同国产高分影像多光谱数据之间的交互对比, 但两种国产分辨率最高的GF-2 PMS2与ZY-3 MUX传感器多光谱数据之间的对比仍未见报道。 为了使这两种国产主力高分辨率传感器的多光谱数据能够在实际应用中相互补充使用, 发挥更大的作用, 基于它们的3对同日过空影像, 采用两种方法对其进行交互对比。 第一种方法是对整个试验区采用逐像元光谱比较法进行对比, 第二种是采用样区光谱均值比较法进行对比, 即在试验影像上选择一系列的样区, 然后以各样区的均值进行对比。 通过对两种传感器同步影像对的表观反射率进行回归分析, 获得各对应波段的回归散点图, 查明它们之间的定量关系, 并据此提出相互转换的关系方程。 研究结果表明, 两种对比方法得出的结果相一致, 但使用样区光谱均值比较法进行交互对比的结果的准确性更高。 GF-2 PMS2与ZY-3 MUX各对应波段具有很强的相关性, 其线性回归方程的决定系数( R2)都大于0.9, 但其值在蓝绿波段较高, 在红光和近红外波段有所下降, 表明两种传感器的表观反射率在蓝绿波段的一致性好于红光和近红外波段。 总体上看, GF-2 PMS2的信号强于ZY-3 MUX, 二者的信号差异在蓝、 绿光波段较大, 在红光和近红外波段较小, 但却明显受到地物类型的影响。 对于以裸土为主的影像, 两种传感器之间的差异随着波长的增大而逐渐减小, 而对于以植被为主的影像, 二者之间的差异却随着波长的增大而逐渐增大。 将纯植被与纯裸土的样区单独提取出来做进一步分析, 结果表明, 两种传感器的信号差异程度在红光波段主要受裸土影响, 而在近红外波段则主要是受植被影响, 且植被长势越旺盛, 两种传感器的表观反射率差异越大。 通过研究获得了两种传感器多光谱波段数据之间的相互转换方程, 并对其进行验证, 结果表明: 经过转换后的GF-2 PMS2数据与ZY-3 MUX数据之间的差异大大减小, 各波段均方根误差的均值降幅可达64.79%, 平均相对偏差率也有明显的降低。 这表明, 所查明的两种传感器的定量关系是有效的, 其对应波段的转换方程可以用于两种传感器数据的相互转换, 经转换后的数据更有利于这两种传感器数据的协同使用。 分析两种传感器数据的差异原因表明: 二者数据的差异主要是由于它们的光谱响应函数的差异和空间分辨率的差异引起的。 ZY-3 MUX的光谱响应函数曲线相对平缓, 没有明显的起伏波动, 而GF-2 PMS2则较不稳定, 在四个波段呈现出程度不同的起伏变化, 从而影响了二者表观反射率信号的一致性; 而GF-2 PMS2具有的4 m空间分辨率明显高于ZY-3 MUX的6m空间分辨率, 因此更容易捕捉到细小地物的光谱信息, 这也使得二者信号出现不一致。
In recent years, China has launched a variety of Earth observation satellites with many newly-developed sensors onboard. Meanwhile, researches on the cross-comparison of these China-made new sensors are in progress. Nevertheless, no study has been published with respect to the comparison between Gaofen-2 (GF-2) PMS2 and Ziyuan-3 (ZY-3) MUX sensor data up to now. The quantitative relationship between the two sensor data is unclear, and it is uncertain whether the two sensor data can be used for the same project directly. To meet this special requirement, this study carried out a cross-comparison between the GF-2 PMS2 and ZY-3 MUX sensor data based on three synchronous image pairs of the two sensors. The cross-comparison was performed using two methods. The first one is making use of image statistics based on large areas in common between the image pairs. A pixel-by-pixel comparison method was used to investigate quantitative relationship between GF-2 PMS2 and ZY-3 MUX sensor data based on the whole test area. The other method is a comparison based on the region of interest (ROI) in common to avoid the problem due to the difference in spatial resolution between the GF-2 PMS2 (4 m) and ZY-3 MUX (6 m). The ROIs had appropriate size and were selected from homogeneous areas that excluded complicated terrain conditions. A linear regression model was adopted for the Top of Atmosphere (TOA) reflectance-based comparison between the ROIs of the GF-2 PMS2 and ZY-3 MUX images. Through the two methods, we obtained the quantitative relationship models between GF-2 PMS2 and ZY-3 MUX sensor data. This comparison study found that the results obtained by two methods, i. e., pixel-by-pixel comparison and ROI-based comparison, are almost consistent. However, the ROI-based comparison achieves a higher accuracy because the spectral information of the corresponding pixels may be offset when using the pixel-by-pixel comparison due largely to the mis-registration of image pixels. This will lower the accuracy of the pixel-by-pixel comparison method. The results showed that the TOA reflectance of GF-2 PMS2 and ZY-3 MUX sensors has a high degree of agreement, with R2 values greater than 0.9 for all the four bands. However, the higher R2 values in blue and green bands indicated that the TOA reflectance between the two sensors in both bands has a better agreement than that of red and near-infrared bands. Scatter plots showed that almost all data points lie under the one-to-one line in the spectral feature space with GF-2 data in x-axis and ZY-3 data in y-axis. This suggested that the GF-2 PMS2 sensor data generally have higher TOA reflectance than ZY-3 MUX, especially in blue and green bands. It should be noted that the difference of TOA reflectance between the two sensor data can be affected by land cover types in red and near infrared bands. In the image pairs dominated by bare soil, the difference between the TOA reflectance of two sensors decreases with increasing wavelength, while for vegetation-dominated image pairs, the difference increases with increasing wavelength. In order to further examine the differences caused by the land cover types, more ROIs of pure vegetation and pure bare soil were extracted separately. The results showed that the signal difference between the two sensors is mainly affected by bare soil in the red band and by vegetation in the near infrared band. The more vigorous the vegetation grows, the greater the difference between the two sensors is. The band-by-band comparison has yielded the conversion equations for each corresponding bands of the two sensors, which were applied to convert the TOA reflectance between each corresponding bands of the two sensors. The validation of the conversion showed that the obtained conversion equations have high accuracy. It can be observed that the GF-2 PMS2-simulated ZY-3 MUX data are almost identical with the actual ZY-3 MUX data with R2 values close to 1 and RMSE less than 0.01. The conversion has resulted in a significance reduction in RMSE by up to 64.79%, as well as a significant decrease in ME. This study showed that such a conversion can significantly improve the agreement between the two sensors data. The converted data are more conducive to the synergy between the GF-2 PMS2 and ZY-3 MUX sensor data. The analysis showed that the differences in TOA reflectance between the two sensor data result probably from the differences in their spectral response function and spatial resolution. We found that the spectral response curve of ZY-3 MUX is smoother with no obvious fluctuations than that of GF-2 PMS2, which is fluctuant in all of four bands. Such a difference in the spectral response functions may have led to the difference in TOA reflectance between the two sensors. In addition, the spatial resolution of GF-2 PMS2 is 4 m, which is higher than ZY-3 MUX’s 6 m. A higher spatial resolution will help GF-2 PMS2 sensor to detect subtle spectral information of small ground objects and thus cause the difference in TOA reflectance between the two sensors.
近年来, 我国相继发射了许多搭载新型传感器的高分卫星, 它们在我国各行各业中得到了广泛的应用。 由于光学传感器在获取影像数据时, 受到许多不确定因素的影响, 例如气候条件、 成像时间、 成像角度等, 因此在长时间序列的研究中, 经常难以获得理想的影像, 造成某一时间段的影像数据缺失, 而必须用其他传感器的影像来弥补。 但不同传感器的数据能否直接放在一起使用, 它们之间的光谱信号是否一致, 是不同传感器数据协同使用时必须解决的问题。 因此, 只有通过不同传感器光谱数据之间的交互对比, 建立它们之间的定量关系, 通过定量关系式将已有影像数据转换为所需影像数据, 才能有效减小时间序列分析中因传感器光谱信号差异引起的不确定性, 增加变化检测分析中的可靠性, 使不同传感器之间的数据得以相互补充。 近年来, 针对国内外不同传感器数据的交互定标已成了遥感领域的又一研究热点[1, 2, 3, 4, 5, 6, 7, 8, 9]。
2014年, 我国在太原成功发射了分辨率达4 m的高分二号(GF-2)遥感卫星, 这是我国目前空间分辨率最高的民用光学对地观测卫星。 从现有研究来看, GF-2 PMS2传感器与其他传感器数据之间的交互对比尚未展开, 而在我国已有的高分辨率卫星中, 资源三号(ZY-3) 6m的空间分辨率与GF-2最接近。 因此本文拟通过同日过空的3对(6幅)GF-2 PMS2和ZY-3 MUX影像对来比较这两种传感器对应光谱波段之间的定量关系, 求出各波段之间相互转换的关系方程式, 并进行验证。
本文共选取了内蒙古赤峰、 新疆吐鲁番盆地以及新疆阿克苏地区3对GF-2 PMS2与ZY-3 MUX同步影像对作为研究数据, 采用两种方法对其进行交互对比。 第一种是对整个试验区采用逐像元光谱比较法进行对比; 第二种是采用样区光谱均值比较法进行对比, 即在试验影像上选择一系列的样区, 然后以各样区的均值进行对比。 由于逐像元光谱比较法对影像的配准要求很高, 若影像配准存在误差则会导致两种传感器影像对应的像元光谱信息产生偏差, 从而影响实验结果的准确性。 而样区光谱均值法采用样区的均值进行比较, 可以有效地降低这种偏差, 因此采用两种方法能够使研究结果互相补充验证。
GF-2 PMS2和ZY-3 MUX传感器具有许多相似之处, 二者的轨道类型均为太阳同步回归轨道, 卫星的重访周期都为5 d, 均采用10 bit量化等级, 同样设有蓝、 绿、 红、 近红外四个多光谱波段, 各波段光谱波长范围完全相同, 这些相似特征有利于二者的交互使用。
本文所选的三对同步影像质量完好, 且已经过正射处理, 能够进行叠加比较(图1)。 每对同步影像的日照和大气条件良好, 晴空无云, 太阳高度角、 方位角基本一致, 确保了不同传感器对地物观测的一致性(表1)。 为了避免试验的偶然性, 三对影像的地点、 季相和土地覆盖均不尽相同, 新疆的两幅影像以裸地为主, 其中阿克苏地区影像有少量植被, 而内蒙古的影像则以植被为主。
| 表1 同步影像对参数 Table 1 Parameters of the used synchronous image pairs |
由于卫星传感器在成像过程中会产生辐射畸变, 影响了地物的光谱特征, 因此在实验前必须对影像进行辐射校正以纠正辐射畸变带来的影像光谱失真问题。 由于本文所用的是同步影像对, 它们的过空时间相差很小, 大气影响基本可以忽略, 所以采用了日照差异校正模型(ICM), 通过将影像的灰度值转换为表观反射率的方法来消除这类辐射畸变[10, 11]。 首先将影像的灰度值转换为辐亮度, 其公式为
式中, L为传感器处的辐亮度; Gain为波段的定标增益值; DN为灰度值。
进一步将L转换为表观反射率, 以削弱地形与光照条件的影响, 其转换公式为[11]
式中, ρ 为表观反射率; d为日地天文距离; Es为大气顶部平均太阳辐照度; θ s为太阳天顶角。
由于GF-2 PMS2和ZY-3 MUX遥感图像原始空间分辨率不同, 分别为4和6 m, 因此在进行逐像元的比较时, 需要对遥感影像进行重采样以统一空间分辨率。 本文根据GF-2 PMS2和ZY-3 MUX原始影像分辨率的最大公因子(2 m), 将分辨率为4 m的GF-2 PMS2影像先降尺度采样为2 m, 再升尺度采样为6 m, 使其分辨率与ZY-3 MUX相同, 能够进行逐像元对比。
样区光谱均值比较法需要在两种传感器影像上选取位置和范围相同的样区(region of interest, ROI), 然后以各样区的光谱均值来进行对比。 本文将吐鲁番盆地影像与赤峰影像作为试验影像, 将阿克苏地区影像作为验证影像, 在2对试验影像中共选取了140个ROI区域, 分别包含低、 中、 高亮度样区及植被样区, 所选的样区均地形平坦, 面积适宜, 具有同质性, 尽量不夹杂其他地物类型, 且具有一定的波长覆盖范围, 每个样区的像元数在数十个至数百个之间。
本文通过计算两种传感器各对应波段之间的决定系数(R2)、 均方根误差(RMSE)、 相对偏差率(ME), 以衡量两种传感器地表反射率之间的偏差程度
式中,
按照上述方法与原则, 首先采用第一种方法进行实验, 对所选用的三对影像进行整幅影像逐像元的交互对比(表2)。 从表2可以看出, 3对影像各对应波段的R2均在0.9以上, RMSE都在0.04以下, 因此可初步判断两种传感器的表观反射率具有较好的一致性。 但三对影像的ME均为正值, 且数值较大, 说明总体看来GF-2 PMS2的表观反射率高于ZY-3 MUX, 且两种传感器无论是RMSE或ME在蓝绿波段的差异程度均比较一致, 而在红光波段和近红外波段, 却表现出明显的不一致, 说明两种传感器之间的信号差异在不同的波段表现不同。
| 表2 基于逐像元对比的GF-2PMS2与ZY-3 MUX的统计特征 Table 2 GF-2 PMS2 and ZY-3 MUX data based on pixel-by-pixel comparison |
本文基于所选的140个同质样区, 对GF-2 PMS2和ZY-3 MUX两种传感器的影像进行逐波段的回归分析[12, 13], 求出对应关系的方程。 图中的每个点表示所选取的样区内所有像元的表观反射率的均值。 吐鲁番试验区与赤峰试验区各自的关系方程式分别用y1与y2表示, 二者的所有样点的综合关系方程式用y表示, 并绘制出其回归趋势线(图2, 表3)。
| 图2 GF-2 PMS2和ZY-3 MUX在两个试验区的交互对比散点图Fig.2 Scatter plots of TOA reflectance of GF-2 PMS2 and ZY-3 MUX in Turpan and Chifeng test areas |
| 表3 GF-2 PMS2与ZY-3 MUX关系方程式 Table 3 Conversion equations between the corresponding bands of GF-2 PMS2 and ZY-3 MUX |
分析以上试验与对比结果:
(1)从表3可以看出GF-2 PMS2和ZY-3 MUX各对应波段具有很强的相关性, 其线性回归方程的R2都大于0.97, 较第一种逐像元法有不同程度的提高, 这说明使用样区光谱均值法进行对比结果的准确性更高。 但两种传感器数据之间的ME仍较大, 均在10%以上, 说明两种传感器数据仍然存在着明显差异。 观察4个波段的R2可以发现, 在蓝绿波段其值较高, 在红光和近红外波段, R2值有较明显下降, 说明两个传感器的表观反射率散点在蓝绿波段有较好的协调性, 在红光和近红外波段, 协调性变差。
(2)图2(a), (c), (e), (g)中, 两个传感器的总回归线y越靠近1: 1直线则表明两者的反射率差异越小, 位于1: 1直线下方的点表示GF-2 PMS2的反射率高于ZY-3 MUX, 位于其上方的点则反之。 通过观察可发现, 两个传感器4个波段的总回归线均位于1: 1直线下方, 同时表3中的ME值也均为正值, 表明GF-2 PMS2的总体信号要高于ZY-3 MUX。
(3)观察图2(a)和(c)可以发现, 在蓝绿波段, 两个试验区散点分布集中, 线性关系明显, 在其对应的差值图(b)和(d)中, 所有点的均位于直线x=0上方, 散点分布同样较为集中; 而在红光、 近红外波段的散点图(e)和(g)中, 散点群则明显分为两组。 随着反射率的增大, 以植被为主的赤峰试验区的散点趋势线在中高反射率处越来越远离1: 1直线, 而以裸地为主的吐鲁番试验区散点趋势线则越来越靠近1: 1直线。 相应地, 在其差值图(f)和(h)中, 虽然大部分散点仍然位于直线x=0上方, 但两个试验区的散点明显出现了分散的趋势, 随着波长的增大, 吐鲁番试验区的散点逐渐靠近x=0直线, 而赤峰试验区的散点却逐渐偏离x=0直线。 这说明对于吐鲁番试验区影像, 两种传感器之间的差异随着波长的增大而逐渐减小, 而对于赤峰试验区影像, 二者之间的差异则随着波长的增大而逐渐增大。 由于赤峰和吐鲁番的地表覆盖类型不同, 这意味着两种传感器的信号差异在红光、 近红外波段可能受到地物类型的影响。
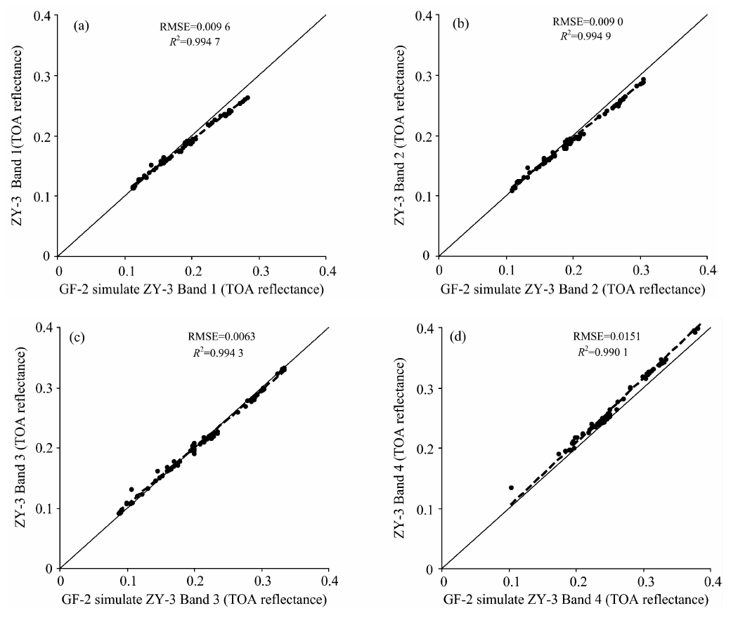
最后, 利用未参与实验的阿克苏GF-2 PMS2与ZY-3 MUX影像对来验证表3中所求得的转换关系式[14]。 首先在阿克苏验证影像严格按照前述样区选取原则选出70个样区, 利用表3的关系方程, 将GF-2 PMS2影像数据模拟转换成ZY-3 MUX影像数据, 然后将模拟数据与对应的ZY-3 MUX实际数据进行比较, 并计算二者之间的RMSE和ME来评价转换方程的模拟精度(图3)。
验证结果表明, GF-2 PMS2模拟的ZY-3 MUX数据和实际ZY-3 MUX数据基本一致, 决定系数接近于1, RMSE基本都小于0.01, 最大的也只有0.015。 与未经模拟的GF-2 PMS2与ZY-3 MUX的差距相比(表4), 经过模拟转换后各个波段的RMSE和ME较模拟前都有了显著下降, 其中RMSE的均值降幅可达64.79%, ME均值降幅达9个百分点, 这表明经过模拟转换后的GF-2 PMS2数据与ZY-3 MUX数据之间的差异大大减小, 本文所得的两种传感器对应波段的方程可以用于两种传感器的相互替代, 经过模拟转换后的数据更有利于这两种传感器的协同使用。
| 图3 基于试验影像建立的GF-2 PMS2和ZY-3 MUX转换方程的拟合结果Fig.3 Comparison of TOA reflectance between corresponding bands of ZY-3 MUX and simulated GF-2 PMS2 sensors |
| 表4 阿克苏试验区影像模拟转换前后的统计特征值对比 Table 4 Statistics of Aksu image before and after conversion |
上述结果表明, GF-2 PMS2与ZY-3 MUX的表观反射率之间有较好的一致性, 但仍存在一定差异, GF-2 PMS2的信号强度总体高于ZY-3 MUX, 其4个波段ME基本都大于10%。 两种传感器的表观反射率差异可能是由于二者之间的光谱响应函数差异、 空间分辨率差异引起的:
(1)光谱响应函数差异: 二者的光谱响应函数特征有一定的差距(图4), 表现在ZY-3 MUX的光谱响应函数曲线相对平缓, 而GF-2 PMS2则较不稳定, 在4个波段呈现出程度不同的起伏变化, 其中尤以蓝光波段较为明显, 在蓝光波段与绿光波段, 两者的光谱响应范围偏差较大, 在红光波段与近红外波段, 二者的光谱响应范围较为一致, 这势必影响二者的表观反射率, 使GF-2 PMS2与ZY-3 MUX之间的信号强度产生差异, 因此, 总体来说二者的ME在蓝绿波段要大于红、 近红外波段(表2、 表3)。
(2)空间分辨率差异: 由于GF-2 PMS2具有4 m空间分辨率高于ZY-3 MUX的6 m空间分辨率, 因此更容易捕捉到细小地物的光谱信息, 例如极亮和极暗的像元光谱信息, 从而造成二者信号的不一致。
从图2可以看出, 两种传感器的差异在不同波段中的表现并不相同, 为了判断这一现象是否与土地覆盖类型的不同有关, 本文分别将所涉及的两种主要地物— — 植被和裸土样区单独提取出来, 统计其各个波段的地表反射率的均值差(DIF)和RMSE(表5), 其中DIF为GF-2 PMS2的地表反射率减去ZY-3 MUX地表反射率的值。
| 表5 基于植被样区和裸土样区的GF-2PMS2与ZY-3 MUX的统计特征 Table 5 GF-2 PMS2 and ZY-3 MUX data based on the ROI of bare soil and vegetation |
从表5可以看出, 吐鲁番影像对的裸土样区的RMSE和DIF均随着波段的增大而减小, 表明GF-2 PMS2和ZY-3MUX之间的信号差异在裸土区域随着波长的增大而减小, 但在红波段的差值减小更为明显。 对于植被样区, 其RMSE和DIF在前三个波段也呈现逐步减小的趋势, 但相差不大; 然而在第四个波段则突然上升到0.04以上, 这说明植被在GF-2 PMS2近红外波段的信号要明显强于ZY-3 MUX的近红外波段。 从两种传感器植被样区在近红外波段的差值图(图5)可以进一步看出, 两种传感器之间的信号差异在近红外波段会随着反射率的增大而增强, 这说明植被长势越旺盛, 两种传感器的地表反射率差异就越大, 因为近红外波段主要表征的是植被的反射光谱信息。
| 图5 基于植被样区的GF-2 PMS2与ZY-3 MUX近红外波段地表反射率差值图Fig.5 Scatter plots showing DIF change trends between GF-2 PMS2 and ZY-3 MUX in NIR band based on vegetation ROI |
以上分析证实了GF-2 PMS2与ZY-3 MUX两种传感器的信号差异程度确实是受到地物类型的影响, 在红光波段主要是受裸土的影响, 而在近红外波段则主要是受植被的影响。
通过GF-2 PMS2与ZY-3 MUX传感器数据的交互对比发现, 当前这两种传感器的表观反射率虽然具有较强的相关性(R2均大于0.9), 但是二者数据之间的ME大部分超过10%, 说明两种传感器的反射光谱信号之间存在着一定的差距。 分析表明, 两种传感器信号的差异主要是由于两种传感器之间的光谱响应函数不同、 空间分辨率不同所引起的。
总体看来, GF-2 PMS2的表观反射率明显高于ZY-3 MUX, 但其差异程度随波段而异, 在蓝绿波段二者之间的信号差异虽然较大, 但并不随着反射率的变化而变化, 差异程度较为一致, 几乎不受地物类型的影响; 但在红与近红外波段的差异程度会随着反射率的变大而出现分异, 这种信号差异程度的变化主要受到地物类别不同的影响, 红光波段受到裸土的影响, 近红外波段则受到植被的影响。
由于这些差异的存在, 两种传感器的数据不宜直接用于对比, 若要将其应用于同一长时间序列项目, 建议对其数据进行转换, 以保证研究结果的准确性。 验证表明, 二者之间经过转换方程转换的数据可以大大缩减两种传感器光谱数据之间的差距。
The authors have declared that no competing interests exist.
| [1] |
|
| [2] |
|
| [3] |
|
| [4] |
|
| [5] |
|
| [6] |
|
| [7] |
|
| [8] |
|
| [9] |
|
| [10] |
|
| [11] |
|
| [12] |
|
| [13] |
|
| [14] |
|

