作者简介: 吴福飞, 1985年生, 贵州师范大学材料与建筑工程学院副教授 e-mail: 392429521@qq.com
粉煤灰、 锂渣和钢渣作为工业废渣, 等质量替代水泥时其利用率往往较低, 为了大量地使用这些工业废渣。 采用X射线单晶衍射仪、 同步热分析仪、 傅里叶红外光谱仪和电镜扫描分析方法, 研究了锂渣、 粉煤灰和钢渣替代细集料后砂浆的水化产物、 光谱特性、 微观形貌, 并探讨了砂浆抗折/抗压强度随替代率(0%, 30%, 50%, 70%和100%)增长的变化规律。 研究结果表明: 四种浆体的水化产物主要为CSH凝胶、 Ca(OH)2、 少量的AFt和未水化的颗粒(Al2O3, SiO2), 其中水泥-锂渣浆体、 水泥-粉煤灰浆体、 水泥-钢渣浆体中的未水化颗粒还含有一定的Li2O·Al2O3·SiO2, Ca1.56SiO3.5· xH2O和RO phas。 四种浆体以3 467, 3 438, 2 923, 2 348, 1 638, 1 429, 1 111, 1 000, 768, 696和462 cm-1为特征峰, 但其峰强有所不同, 其活性也不同, 参与二次水化反应的程度也不同, 因此, 水泥-钢渣浆体中Ca(OH)2的含量明显高于水泥-粉煤灰浆体和水泥-锂渣浆体的现象; 但不管是矿物掺合料替代水泥还是细集料, 都在浆体中发挥着火山灰活性和填充作用。 含三种100%矿物掺合料砂浆的抗折强度和抗压强度均高于纯水泥砂浆, 分别(锂渣、 粉煤灰和钢渣)约高37.77%/51.88%, 14.71%/11.70%, 91.95%/34.88%, 但其达到峰值的掺量不同。 因此, 采用矿物掺合料替代细集料是可行的, 能大幅度提高工业废渣在混凝土行业中的使用, 且能达到节能减排的效果。
Fly ash, lithium slag and steel slag as industrial waste, replace quality cement to prepare cement mortar and concrete, but its utilization is often low, so using these industrial waste in large quantities by using X-ray diffraction (XRD), thermal analyzer, Fourier infrared spectrometer and scanning electron microscope analysis method, we studied the hydration products, spectral performance and microstructure of mortar after mineral admixtures as fine aggregate, and the change laws of mortar strength with the replacement rate (0%, 30%, 50%, 70% and 100%) were analyzed. Test results showed that the hydration products were CSH gel, Ca(OH)2, a small amount of AFt and Four kinds of slurry hydration products mainly for CSH gel, Ca(OH)2, a small amount of AFt and unhydrated particles (Al2O3 and SiO2) for cement paste, cement-lithium slag paste, cement-fly ash paste, cement-steel slag paste, which contain a certain Li2O·Al2O3·SiO2, Ca1.56SiO3.5· xH2O, and RO phase, respectively. Characteristic peak was 3 467, 3 438, 2 923, 2 348, 1 638, 1 429, 1 111, 1 000, 768, 696 and 462 cm-1 for four paste, but its strong peak was different and activity was also different, which was involved in the level of secondary hydration reaction is also different, so the content of Ca(OH)2 in cement-steel slag paste was significantly higher than cement-lithium slag paste and cement-fly ash paste. It played volcanic activity and filling effect when mineral admixtures replaced cement or fine aggregate. The flexural strength and compressive strength of mortar with 100% mineral admixture (lithium slag, fly ash and steel slag) were higher than pure cement mortar, it was about 37.77%/51.88%, 14.71%/11.70%, 14.71%/34.88%, respectively, But the flexural strength and compressive strength reached the maximum when the dosage of mineral admixtures was different. Therefore, mineral admixtures as fine aggregate of mortar were feasible, which can greatly improve the use of industrial waste in the concrete industry, and can achieve the result of energy conservation and emissions reduction.
掺合料中含有具有潜在活性的SiO2和Al2O3能参与二次水化反应[1, 2], 降低水泥水化CH的含量和成本, 因此普遍在水泥混凝土中得以推广使用。 但是从目前的现状不难发现, 矿物掺合料无论是作为水泥混合材或者是混凝土掺合料, 使用量普遍较小, 除矿渣外基本不超过30%[1, 2, 3], 这对于混凝土行业在节能减排、 保护环境方面的贡献较小。 为了提高矿物掺合料在混凝土行业中的使用量, 已有学者[4]将矿物掺合料当作细集料进行研究, 目前已成为矿物掺合料大量使用研究的热点问题。
文献[5]发现, 粗细钢渣颗粒的替代率在30%以内时, 混凝土的早期抗裂性能、 力学性能和抗冲磨强度均高于普通混凝土。 Gencel研究了大理石粉替代天然细集表明, 100%大理石粉道路砖的抗冻、 耐水、 抗压/抗折强度均高于天然细集料制备的道路砖[6]。 Singh等采用底灰等质量替代天然细集料表明, 100%底灰替代天然细集料时, 混凝土的需水量增加, 但其抗压强度高于天然细集料制备的混凝土[7]。 Turhan发现随着粉煤灰替代率的增加, 水泥砂浆的流动性、 单位质量、 脉冲速度和裂缝宽度降低, 力学性能先增加后减小, 干燥收缩增加, 以替代率在60%~70%时, 水泥-粉煤灰砂浆的性能与纯水泥砂浆相当[8]。 Topcu等采用碎瓷砖粉替代细集料表明, 替代率在60%以内, 碎瓷砖粉砂浆的早期抗裂性能、 抗折/抗压强度和干缩性能均高于纯水泥砂浆[9]。 Gencel等采用铬铁粉替代天然石灰石细集料发现, 铬铁粉的增加提高了混凝土的力学性能和耐水性能[10]。 Park发现废弃玻璃粉替代细集料在70%以内时, 混凝土的强度等级可满足C30的要求[11]。
综上所述, 掺合料作为混凝土细集料, 大部分掺合料替代率高达70%, 少量高达100%时, 混凝土的干燥收缩性能、 力学性能、 耐水性比纯水泥混凝土好, 部分混凝土的流动性大、 单位质量轻。 因此, 采用掺合料等质量替代混凝土细集料时, 既能达到大量使用掺合料和实现节能减排、 保护环境的目的, 也能改善混凝土的性能。 对于掺合料等质量替代混凝土细集料后是否会改变混凝土的水化产物、 光谱特性等内容还未见报道, 基于此, 本文选用常见的三种矿物掺合料(粉煤灰、 钢渣和锂渣), 探索掺合料对砂浆水化产物和光谱特性的影响, 并分析三种掺合料之间的差异性, 以期为掺合料的正确选用和大掺量使用提供试验基础。
1.1材料
水泥(C)采用的42.5(P.Ⅰ )基准水泥; 粉煤灰(F)采用火电厂的Ⅰ 级粉煤灰; 钢渣(S)采用宝钢集团的磨细钢渣微粉; 锂渣(L)采用锂盐厂的烘干锂渣。 基准水泥和三种矿物掺合料(锂渣、 粉煤灰和钢渣)的化学成分如表1所示。 拌合用水和养护用水采用实验室自来水, 砂为标准砂。
| 表1 原材料的化学成分 Table 1 Chemical composition of raw materials/% |
水灰比固定为0.50, 水泥:标准砂=450:1 350, 矿物掺合料分别为粉煤灰、 锂渣和钢渣, 分别替代0%, 30%, 50%, 70%和100%的细集料, 成型四种浆体(不含标准砂)试件养护至28 d时进行XRD, TG, SEM和FTIR试验; 成型四种砂浆试件养护至28 d时进行力学性能测试。 水泥净浆/砂浆的编号为C; 水泥-锂渣浆体/砂浆编号L1, L2, L3, L4; 水泥-粉煤灰浆体/砂浆编号F1, F2, F3, F4; 水泥-钢渣浆体/砂浆编号S1, S2, S3, S4。
1.2.1 XRD和TG
成型四种浆体(不含标准砂)试样于10 mL的离心管中, 将盖拧紧后送入养护室中(温度为(20± 1)℃, 湿度≥ 95%)养护。 养护28 d后, 将其破碎、 浸泡在无水乙醇中24 h, 中止水化, 磨细(过筛0.1 mm)备用。 然后分别采用德国布鲁克AXS有限公司SMART APEX Ⅱ 型X射线单晶衍射仪和德国耐驰公司STA449F3型同步热分析仪进行XRD和热重试验。
1.2.2 SEM
将养护到28 d的四种浆体(不含标准砂)试样, 切割、 打磨成直径1 cm厚0.5 cm的小圆饼, 然后采用日本电子光学公司的JSM-5610LV型电镜设备进行电镜扫描测试。
1.2.3 FTIR
将养护到28 d的四种浆体(不含标准砂)试样, 经破碎、 浸泡在无水乙醇中24 h中止水化, 之后将其置于研钵中磨细(过筛0.1 mm)并在65 ℃的烘箱中烘干备用。 将磨细的浆体与烘干磨细的KBr按1:200混合均匀、 研磨并成片, 采用WQF-520型傅里叶红外光谱仪测试其光谱性能。
1.2.4 力学性能
砂浆的力学性能测试主要依据《水泥胶砂强度检验方法(ISO 法)》成型试件, 在标准养护环境中养护28 d后, 分别采用杭州鑫高科技有限公司生产的EPC-70型自动抗折仪和YAW-300B型微机控制电液式水泥压力试验机测试砂浆的抗折强度和抗压强度。
1.2.5 数据处理
试验数据通过Excel2010和Origin9.1软件进行计算和绘图, 并通过Origin9.1软件对浆体吸收峰的相对强度进行分析。
掺合料替代水泥后, 主要水化产物为水化硅酸钙凝胶(CSH凝胶)、 氢氧化钙(CH)、 少量的钙矾石(AFt)和未水化的颗粒等, 但不会改变水化产物的种类。 粉煤灰、 钢渣和锂渣等质量替代细集料后的XRD图谱如图1所示。 在各组水泥-锂渣浆体的XRD图谱中, 水化产物主要为CH、 未水化的颗粒(Al2O3, SiO2和Li2O· Al2O3· SiO2)和CaCO3, 其中CaCO3主要是在研磨浆体过程中被碳化而产生。 由于AFt的衍射峰相对较弱, 而CSH凝胶在XRD无法测出, 因此均未在XRD图谱中标出。 在各组粉煤灰浆体中, 水泥-粉煤灰浆体的水化产物主要有CSH凝胶、 CH、 水化颗粒Al2O3和SiO2, Ca1.56SiO3.5· xH2O。 水泥-钢渣浆体的水化产物主要有CSH凝胶、 CH、 未水化颗粒Al2O3, SiO2和RO phase等。 对比这四种浆体不难发现, 浆体中的水化产物主要是CSH凝胶、 CH、 未水化颗粒。 水泥-锂渣浆体中的未水化颗粒主要是SiO2和Al2O3; 水泥-粉煤灰浆体和水泥-钢渣浆体中则以SiO2和CaO为主, 矿物掺合料的替代率越大, 未水化颗粒的比例就越大。 除此之外, 水泥-钢渣浆体和水泥-锂渣浆体分别含有少量的RO phase和CaCO3, 在水泥-粉煤灰浆体却未发现这一现象。
CH的含量大小是表征水泥程度的主要参数, 也能表征复合胶凝材料中矿物的反应情况, 根据TG测试结果中400~550 ℃的吸热峰对Ca(OH)2的含量进行定量计算, 水泥浆体在养护28 d时CH的含量为6.12%, 其余的计算结果如图2所示。
| 图2 锂渣、 粉煤灰和钢渣作为细集料时浆体的氢氧化钙含量Fig.2 The content of CH in paste with lithium slag, fly ash and steel slag as fine aggregate |
在水泥-锂渣浆体中, 各组浆体中CH的含量随着锂渣替代率从30%增加至100%时呈线性增长, 相关系数为R2=0.882 0; 在水泥-粉煤灰浆体和水泥-钢渣浆体中, 水化产物CH的含量随替代率从30%增加至100%时呈线性降低, 相关系数分别为R2=0.956 2和R2=0.924 5。 其中, 水泥-钢渣浆体中CH的含量明显高于水泥-粉煤灰浆体和水泥-锂渣浆体, 这主要源于钢渣粉中含有能发生自身水化反应的CaO, 尤其在碱性环境CH的激发尤为凸出。 替代率在70%以内时, 水泥-粉煤灰浆体中CH的含量明显高于水泥-锂渣浆体; 替代率高于70%时, 出现了相反的结果。 这主要与锂渣和粉煤灰的活性有关, 锂渣的活性相对较小, 但优于粉煤灰。 由于锂渣和粉煤灰均能参与二次反应, 消耗了水泥中CH的含量, 但是锂渣的活性比粉煤灰高, 因此, 水泥-锂渣浆体中CH消耗量较多, 故出现了替代率在70%以内时, 水泥-粉煤灰浆体中CH的含量高于水泥-锂渣浆体的结果。 替代率到达100%时, 锂渣的掺入分散了水泥颗粒, 这促使水泥的水化反应; 除此之外, 锂渣在自然状态的吸水率高达15%, 这能减少浆体水分的蒸发, 增加了水泥与水接触的水化面积, 水泥的水化相对充分。 粉煤灰的活性虽比锂渣差, 但100%细集料被替代后, 粉煤灰的活性成分增多, 二次反应消耗的CH较多, 因此, 出现了替代率到达100%时, 水泥-锂渣浆体中CH的含量高于水泥-粉煤灰浆体的现象。
FTIR是分析水泥浆体光谱特性的主要方法, 结果如图3所示, 四种浆体的主要特征峰为3 467, 3 438, 2 923, 2 348, 1 638, 1 429, 1 111, 1 000, 768, 696和462 cm-1, 但其特征峰的峰强有所不同。 这也进一步说明锂渣、 粉煤灰、 钢渣均未改变浆体水化产物的种类, 仅是其含量的大小发生了改变。 从波数3 467和3 438 cm-1的特征峰强可知, 水化产物CSH的含量随替代率的增加而增大, CH的含量却呈现出相反的趋势。 这主要是源于矿物掺合料均具有一定的活性, 发生二次反应消耗CH形成CSH, 因此, 波数3 467和3 438 cm-1特征峰的变化趋势较为明显。 波数3 438 cm-1的特征峰主要由浆体中水化产物CSH所含的O— H引起, 在四种浆体中的变化都较显著; 纯水泥、 水泥-锂渣、 水泥-钢渣浆体的吸附水特征峰(2 923 cm-1)的变化不明显, 锂渣的替代率越大, 其特征峰越明显, 这主要是锂渣本身的吸湿性强所引起。 波数2 348 cm-1的特征峰峰强变化在水泥-粉煤灰浆体中最小, 在水泥-锂渣浆体和水泥-钢渣浆体中都较显著, 这主要由于锂渣产生于Li2CO3的生产过程。 另外, CH可能被空气中的CO2碳化, 使水泥-锂渣和水泥-钢渣浆体中波数2 348 cm-1的特征峰增强。 波数1 429 cm-1的特征峰在水泥-钢渣浆体中较强, 在水泥-锂渣浆体和水泥-粉煤灰浆体中的强度相对较弱, 其余峰强变化规律相似。 综上发现, 粉煤灰、 锂渣、 钢渣作为砂浆细集料时, 浆体中的水化产物主要为CH, CSH和AFt, 但其含量不同, 对砂浆力学性能的影响也不相同。
为了明确四种浆体中各官能团结构的差异性, 通过Origin9.1软件计算四种浆体吸收峰的相对强度, 拟合曲线如图4所示。 水泥-锂渣、 水泥-粉煤灰和水泥-钢渣浆体在波数为3 647 cm-1处的特征峰相对强度随着替代率的增加呈线性降低, 相关系数分别为0.853 9, 0.630 3和0.928 3。 这主要是矿物掺合料具有一定的活性, 发生二次反应后消耗了CH; 另外, 掺合料吸收了拌合用水阻碍了水泥的水化, 进而降低CH的含量。 三种浆体在波数3 438 cm-1处的变化规律不同, 水泥-锂渣浆体的特征峰相对强度随着替代率的增加呈线性增加, 相关系数为0.911 0。 水泥-粉煤灰和水泥-钢渣浆体的特征峰相对强度随着替代率的增加呈线性降低, 相关系数分别为0.858 6和0.950 7。 综合波数为3 647和3 438 cm-1的研究结果表明, 锂渣、 粉煤灰和钢渣在浆体中主要起微集料填充的作用, 但锂渣还发挥着火山灰效应。 在波数为1 429 cm-1处, 三种浆体AFt特征峰的相对强度随着替代率的增加呈线性增加, 相关系数(锂渣、 粉煤灰和钢渣)分别为0.858 6, 0.827 6和0.843 5, 以水泥-钢渣浆体的增加趋势较为明显, 水泥-锂渣浆体次之, 水泥-粉煤灰浆体相对较小。 在指纹区, 水泥-锂渣浆体在波数为1 111 cm-1的特征峰相对强度随着替代率的增加呈线性增加, 其余两种含掺合料的浆体却呈现降低的趋势, 这也进一步表明锂渣的掺入有利于AFt的形成, 提高其早期的力学性能。 波数676和462 cm-1由O— Si— O振动引起, 在三种含掺合料的浆体中都呈线性降低的趋势, 这表明了掺合料中的活性SiO2已经参与二次水化反应, 进而降低其含量。
研究发现, 矿物掺合料和掺量不同, 浆体水化产物的含量不同, 微观形貌的结果如图5所示。 纯水泥浆体中水化产物CSH凝胶和CH晶体的形貌明显。 掺合料替代细集料后, 典型的六方体片状CH晶体已消失, 含量也不断降低。 锂渣替代细集料后, 水化形成了“ 花瓣状” 高硅钙比的CSH, 说明锂渣能发挥火山灰活性, 消耗了一定量的CH, 当然也有一定量非活性颗粒起着填充作用。 粉煤灰替代细集料后, 大部分粉煤灰颗粒仅起着填充作用, 少部分颗粒表面发生“ 蚀刻” 现象, 因此, 粉煤灰颗粒中只有少数颗粒具有火山灰活性。 另外, 在水泥-粉煤灰浆体中也未发现典型的CH晶体和CSH凝胶。 钢渣颗粒形状不规则, 且活性较差, 绝大部分颗粒仅起着填充作用, 但是能在浆体孔隙中观测到典型的族状高硅钙比CSH凝胶。 综合上述和矿物掺合料替代水泥[12, 13, 14]的研究结果不难发现, 不管是矿物掺合料替代水泥还是细集料, 都在浆体中发挥着火山灰活性和填充作用。
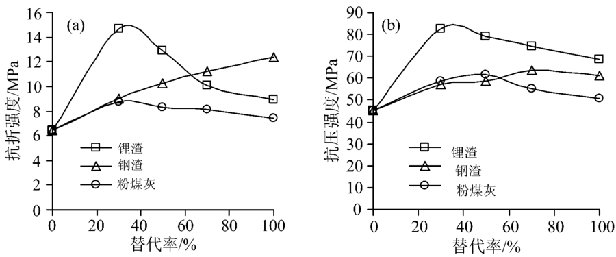
抗折强度和抗压强度是水泥砂浆强度评定的重要参数, 三种掺合料替代砂后的抗折强度和抗压强度如图6所示。 水泥-锂渣砂浆和水泥-粉煤灰砂浆的抗折强度随替代率从30%增加至100%时呈降低的趋势, 替代率为30%时最大(分别为14.70和8.72 MPa), 比水泥砂浆高127.55%和34.98%, 替代率到达100%时, 水泥-锂渣砂浆和水泥-粉煤灰砂浆的抗折强度均高于纯水泥砂浆(分别为37.77%和14.71%)。 水泥-钢渣砂浆的抗折强度随替代率从30%增加至100%时呈增加的趋势(从26.71%增加至34.88%), 且均高于纯水泥砂浆。 替代率在50%以内时, 抗折强度的大小排序为: 水泥-锂渣砂浆> 水泥-钢渣砂浆> 水泥-粉煤灰砂浆; 替代率超过50%时, 抗折强度的排序为: 水泥-钢渣砂浆> 水泥-锂渣砂浆> 水泥-粉煤灰砂浆。 这种现象主要源于钢渣中Fe2O3的含量[15, 16]比锂渣、 粉煤灰高, 因此后期抗折强度呈增加的趋势; 锂渣含有一定量的SO3, 形成的AFt能提高砂浆早期的抗折强度。
水泥-锂渣砂浆、 水泥-粉煤灰砂浆和水泥-钢渣砂浆的抗压强度随锂渣替代率从0%增加至100%时呈先增加后降低的趋势, 锂渣替代率为30%时达到最大(82.7 MPa); 粉煤灰替代率为50%时达到最大(61.7 MPa); 钢渣替代率为70%时其抗压强度达到最大(63.8 MPa)。 在各替代率下, 三种含掺合料砂浆的抗压强度均高于纯水泥砂浆。 替代率在50%以内时, 砂浆抗压强度的排序为: 水泥-锂渣砂浆> 水泥-粉煤灰砂浆> 水泥-钢渣砂浆; 替代率超过50%时, 砂浆抗压强度的排序为: 水泥-锂渣砂浆> 水泥-钢渣砂浆> 水泥-粉煤灰砂浆。 发生这一现象主要与锂渣、 粉煤灰、 钢渣本身的化学成分和活性有关, 文献[17]研究发现, 锂渣的活性> 粉煤灰的活性> 钢渣的活性。 但是钢渣在Ca(OH)2的激发下能发生自身水化提高其活性, 因此, 替代率高时, 水泥-钢渣砂浆的抗压强度高于水泥-粉煤灰砂浆。
矿物掺合料替代砂浆中细集料后, 水化产物主要为CSH凝胶、 CH、 少量的AFt和未水化的颗粒, 其中水泥-锂渣浆体、 水泥-粉煤灰浆体、 水泥-钢渣浆体中的未水化颗粒主要以Al2O3, SiO2, Li2O· Al2O3· SiO2和Al2O3, SiO2, Ca1.56SiO3.5· xH2O和Al2O3, SiO2和RO phase为主, 但水泥-锂渣浆体中还含有一定量的CaSO4· H2O。
锂渣、 粉煤灰和钢渣替代细集料时, 水泥-钢渣浆体中CH的含量明显高于水泥-粉煤灰浆体和水泥-锂渣浆体; 替代率在70%以内时, 水泥-粉煤灰浆体中CH的含量明显高于水泥-锂渣浆体; 替代率高于70%时, 出现了相反的结果。 四种浆体的主要特征峰为3 467, 3 438, 2 923, 2 348, 1 638, 1 429, 1 111, 1 000, 768, 696和462 cm-1, 但其峰强有所不同。 综合上述的研究结果不难发现, 不管是矿物掺合料替代水泥还是细集料, 都在浆体中发挥着火山灰活性和填充作用。
矿物掺合料替代砂浆中细集料后, 含三种100%矿物掺合料砂浆的抗折强度和抗压强度均高于纯水泥砂浆。 替代率在50%以内时, 抗折强度的大小排序为: 水泥-锂渣砂浆> 水泥-钢渣砂浆> 水泥-粉煤灰砂浆, 砂浆抗压强度的排序为: 水泥-锂渣砂浆> 水泥-粉煤灰砂浆> 水泥-钢渣砂浆; 替代率超过50%时, 抗折强度的排序为: 水泥-钢渣砂浆> 水泥-锂渣砂浆> 水泥-粉煤灰砂浆, 砂浆抗压强度的排序为: 水泥-锂渣砂浆> 水泥-钢渣砂浆> 水泥-粉煤灰砂浆。
The authors have declared that no competing interests exist.
| [1] |
|
| [2] |
|
| [3] |
|
| [4] |
|
| [5] |
|
| [6] |
|
| [7] |
|
| [8] |
|
| [9] |
|
| [10] |
|
| [11] |
|
| [12] |
|
| [13] |
|
| [14] |
|
| [15] |
|
| [16] |
|
| [17] |
|

