基于表面增强拉曼光谱技术的金表面耐腐蚀性分析
钟航, 徐劲松, 陶然, 杜晓清, 陈钧*, 廖俊生*
中国工程物理研究院表面物理与化学重点实验室, 四川 绵阳 621908
*通讯联系人 e-mail: junchen76@163.com; jshliao711@163.com

作者简介: 钟 航, 1992年生, 中国工程物理研究院表面物理与化学重点实验室硕士研究生 e-mail: 597766503@qq.com

摘要

金属表面耐腐蚀性能与其微观结构密切相关。 以金为分析对象, 采用不同粒径氧化铝抛光粉抛光处理金片表面, 经扫描电镜和原子力显微镜观察, 表明金片表面具备与实际工件类似的微观结构, 在此基础上, 研究金片表面微观划痕结构对表面增强拉曼散射(SERS)以及耐腐蚀性能的影响。 以罗丹明B为探针分子, 对不同特征尺寸的微观划痕进行SERS分析, 获得了罗丹明B的SERS信号强度随划痕平均特征尺寸的变化规律。 通过改变拉曼激发光偏振方向与划痕方向的夹角大小, 发现SERS信号主要归因于激发光与划痕相互作用产生的横向表面等离激元。 划痕平均特征尺寸在50 nm附近时, 横向表面等离激元最强, 之后随着划痕平均特征尺寸增加, 横向表面等离激元逐渐变弱。 另一方面, 对具有不同特征尺寸微观划痕的金片进行电化学极化测试, 获得了各样品的自腐蚀电位, 发现金片的自腐蚀电位随着划痕平均特征尺寸增大而降低。 结果表明, 当划痕平均特征尺寸大于50 nm, 金表面的SERS信号与自腐蚀电位间存在良好的线性对应关系, 这为SERS技术用于工件耐蚀性分析提供了依据。 通过在工件表面滴涂探针分子并使用便携式拉曼光谱仪测量有望可以对工件耐蚀性进行现场快速预判。

关键词: 表面增强拉曼光谱; 金属腐蚀; 抛光; 电化学极化
中图分类号:O657.3 文献标识码:A
Corrosion Resistance of Gold Surface Investigated by Surface Enhanced Raman Spectroscopy
ZHONG Hang, XU Jin-song, TAO Ran, DU Xiao-qing, CHEN Jun*, LIAO Jun-sheng*
Science and Technology on Surface Physics and Chemistry Laboratory, China Academy of Engineering Physics, Mianyang 621908, China
Abstract

The corrosion resistance of metals is closely related to their surface microstructure. This work focuses on the surfaces of gold plates which were prepared through a polishing process with different sizes of α-Al2O3. With SEM and AFM characterizations, the surface microstructures of the gold plates are distinct, indicating that the polished gold plates have surface microstructures similar to those of real work-pieces. The effects of the gold surface scratches on surface enhanced Raman scattering (SERS) and corrosion resistance were investigated. SERS on the gold surface scratches with different average feature sizes were tested using Rhodamine B (RhB) as a probe molecule. A relationship between the SERS intensity of the adsorbed Rhodamine B and the average feature size of surface scratch was obtained. By changing the angle between the polarization direction of Raman laser and the direction of scratches, it is found that the SERS signals are mainly ascribed to the transverse plasmon generated from interaction between incident light and scratches. The transverse plasmon intensity reached the maximum when the average feature size of the surface scratches is close to 50 nm. With the increase of the average feature sizes, the transverse plasmon intensity shows a gradual decrease. On the other hand, electrochemical polarization tests of the gold plates with different sizes scratches were measured. The free corrosion potential of samples is obtained. The free corrosion potential of gold plates decrease with increasing the average feature sizes. It is found that, when the average feature size of the surface scratch is more than 50 nm, a ideal coherence exists between the SERS intensity and the free corrosion potential for the gold plates. These results suggest that SERS technique could be applied for the corrosion resistance analysis of the work-pieces. By the means of smearing probe molecules and using a handheld Raman spectrometer, quick analysis of the work-pieces corrosion resistance is proven to be promising.

Key words: Surface enhanced Raman spectroscopy; Metal corrosion; Polishing; Electrochemical polarization
引言

金属材料是应用最为广泛和最为重要的工程材料, 现代社会在方方面面都离不开金属材料的使用, 但金属材料及其制品会受到各种不同形式的破坏, 腐蚀就是其常见的破坏形式之一。 全球每年因腐蚀而报废的金属材料约占当年金属生产量的10%, 各国每年因金属腐蚀造成的经济损失能达到国民生产总值的3%~4%。 除此以外, 金属腐蚀还会严重影响安全, 导致安全事故。 目前, 在金属工件的加工过程中, 绝大部分工件都以磨削加工作为最终工序, 其主要目的是为了产品能达到所要求的精度及表面质量, 但在磨削加工过程中, 纳米磨粒不可避免地会在产品表面造成微观划痕、 凹陷和颗粒残余等缺陷。 研究表明, 金属工件的耐蚀性在很大程度上取决于表面质量[1], 然而使用纳米尺度显微成像手段对工件进行现场检测并不实际。

近些年, 表面增强拉曼光谱(SERS)由于其高灵敏度以及在单分子探测上的应用而受到了越来越多的关注[2, 3]。 SERS在多个领域均有应用, 如生物医学、 分析、 环境保护、 以及传感器等等[4, 5, 6]。 表面增强拉曼散射可以极大的增强吸附在纳米结构贵金属表面的分子的拉曼信号[7], 拉曼散射增强机制与激发光辐照产生的局域表面等离激元共振(LSPR)密切相关[8, 9]。 贵金属(如: 金、 银、 铂、 钯、 铜等)的LSPR受到多种因素影响, 包括金属纳米结构的尺寸、 形状、 表面粗糙度以及激发光波长等因素[10, 11]。 因为增强拉曼效应与金属表面微结构有关, 设想通过在工件表面滴涂探针分子后便可以利用光纤探头或者采用手持拉曼光谱仪用于现场检测, 所以金属的SERS可为金属表面耐蚀性分析提供一种方便、 快捷的手段。

由于金具有较强的SERS效应, 本研究选其作为模型金属, 通过对金片进行单向机械抛光, 获得具有与实际工件类似表面微观结构样品, 并对样品进行探针分子的SERS测量和电化学极化曲线测定, 首次探讨了金片样品的表面增强拉曼效应与其耐蚀性之间的关联规律。

1 实验部分
1.1 材料

罗丹明B、 无水乙醇以及氯化钠购买自国药集团化学试剂有限公司。 金刚石抛光剂购买自上海川禾实业发展有限公司。 α -氧化铝抛光粉购买自宣城晶瑞新材料有限公司。 1 cm× 1 cm金片(纯度为99.99%)购买自北京翠铂林有色金属技术开发中心有限公司。 实验用水为二次去离子水。

1.2 金片表面抛光处理

为了获得具有不同表面粗糙度的金片, 首先使用1 200, 2 000以及5 000目的碳化硅砂纸依次进行打磨, 借此抹除掉金片表面的杂质以及原有的形貌, 水洗后使用金刚石抛光剂对金片进行抛光, 使金片获得足够平整的表面, 最后使用不同粒径的α -氧化铝配制的抛光剂对金片分别进行精细抛光。 以上的抛光操作均在UNIPOL-1502抛光机(沈阳科晶)上进行的, 转速为150 r· min-1, 抛光时间为3 min。 抛光结束后得到的样品使用去离子水超声清洗。

1.3 表征与测量

1.3.1 扫描电子显微镜(SEM)表征

使用FEI公司Sirion-200型扫描电子显微镜对样品表面进行表征, 获得样品表面形貌特征。

1.3.2 原子力显微(AFM)表征

使用日本精工电子有限公司的SPI3800N-SPA300HV原子力显微镜对样品表面进行表征以获得样品表面微观结构, 扫描模式为轻敲模式, 扫描选择范围为2 μ m× 2 μ m, 总共进行256次线扫, 每条线扫描256个点, 扫描速度为1 Hz。

1.3.3 SERS分析

将金片浸泡在浓度为10-5 mol· L-1的罗丹明B水溶液中4 h, 使金片表面充分吸附罗丹明B分子, 随后将金片取出用水冲洗多次, 去除掉过量及残留的罗丹明B溶液。 金片在室温环境中干燥后便进行拉曼检测。 拉曼检测使用的激发光为532 nm激光, 到达样品表面的功率约为1 mW, 物镜放大倍数为50× , 激光光斑直径约为1 μ m, 扫描波长范围为638~1 769 cm-1, 采集时间为30 s两次。 针对金片抛光后表面的形貌特征, 通过旋转金片, 使得其表面划痕与激光偏振方向依次成0° , 45° 和90° 进行SERS测量。

1.3.4 电化学极化曲线测量

以银-氯化银电极为参比电极, 铂电极为对电极, 质量分数为3.5%氯化钠溶液为电解质溶液。 将抛光后的金片使用胶带密封, 并露出10 mm× 5 mm的工作面积。 将金片浸泡在氯化钠溶液中, 采用上海辰华CHI660B电化学仪测量其开路电位, 电位稳定至上下幅度不超过1 mV, 以此数值为中心± 0.35 V扫描Tafel曲线, 较小值为初始扫描电位, 较大值为终止扫描电位, 扫描速度为1 mV· s-1。 根据测量结果得出不同金片样品的自腐蚀电位。

2 结果与讨论

图1中(a)和(b)为500 nm氧化铝抛光剂抛光后金片样品表面的SEM图, 可以看出其具有与实际工件表面类似的微观结构: 大量平行分布的划痕, 以及少数纳米孔洞和纳米颗粒。 纳米孔洞可能是由于氧化铝颗粒嵌入金的表面后再脱落造成的, 而纳米颗粒则可能是抛光过程中磨屑的堆积造成的。 为获得金片样品表面精细的几何形貌, 使用AFM对样品进行表征, 各个样品的表面形貌如图1所示, 显示出各个样品表面划痕凹槽的尺寸有明显的不同。

图1 (a)5 000和(b)40 000倍下0.5 μ m粒径α -Al2O3抛光剂抛光后金片表面的扫描电镜图与(c) 0.05, (d) 0.1, (e) 0.3, (f) 0.5, (g) 1, (h) 1.5, (i) 2, (j) 2.5和(k) 3 μ m粒径α -Al2O3抛光剂抛光后金片表面的原子力显微形貌图Fig.1 SEM images of the gold plates polished by 0.5 μ m α -Al2O3 powder after magnifying (a) 5 000 times and (b) 40 000 times and topographic AFM images of the gold plates polished by (c) 0.05, (d) 0.1, (e) 0.3, (f) 0.5, (g) 1, (h) 1.5, (i) 2, (j) 2.5, and (k) 3 μ m α -Al2O3 powder

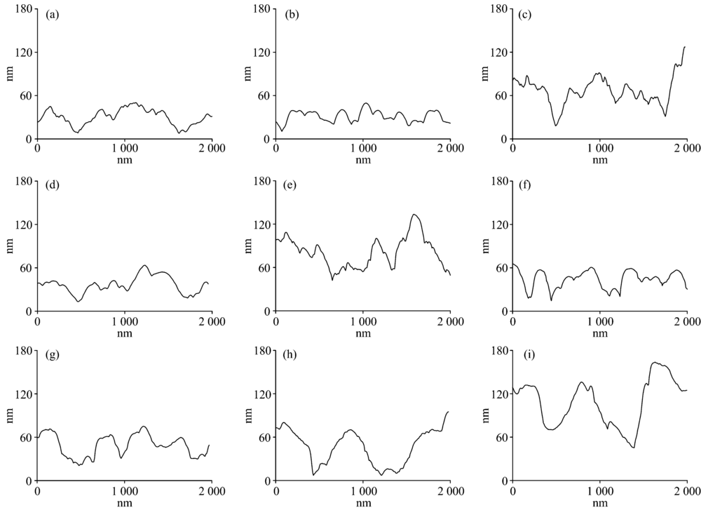
图2 (a) 0.05, (b) 0.1, (c) 0.3, (d) 0.5, (e) 1, (f) 1.5, (g) 2, (h) 2.5和(i) 3 μ m粒径α -Al2O3抛光剂抛光后金片表面的原子力线扫图形Fig.2 Line scan AFM of the gold plates polished by (a) 0.05, (b) 0.1, (c) 0.3, (d) 0.5, (e) 1, (f) 1.5, (g) 2, (h) 2.5, and (i) 3 μ m α -Al2O3 powder

从AFM面扫图像中可以获得与划痕垂直的截面线扫图形。 如图2所示, 可以看出: 随着使用抛光剂粒径的增加, 划痕凹槽的宽度和深度都随之增加。 每个样品随机选取了12处位置并获得了其线扫图形, 统计了线扫图形中划痕凸起部分的截面积, 并计算了其平均特征尺寸, 特征尺寸为面积与划痕截面积相等时的圆对应的直径长度。 其与抛光剂粒径的关系如图3所示。 图中直线为各点最小二乘拟合结果, 拟合优度为0.806, 显著性P值为0.000 6, 可以看出划痕的平均特征尺寸与使用的抛光剂粒径基本呈线性关系。

图3 划痕平均特征尺寸与样品使用抛光剂粒径关系图Fig.3 The average feature size vs.thepolishing-slurry particle size

据报道, 罗丹明B是SERS分析普遍使用的探针分子[12, 13]。 图4是500 nm粒径抛光剂抛光后金片表面罗丹明B的SERS图谱。 图内分别给出了激光偏振方向与划痕方向夹角为90° , 45° 和0° 时的拉曼信号, 同时给出了激光偏振方向与划痕间夹角为90° 与0° 时的拉曼信号之差。 其中位于1 198 cm-1的谱峰来自于C— C桥键伸缩振动; 1 360, 1 512和1 649 cm-1处的谱峰则是来自于芳香烃上C=C伸缩振动[14]。 该图中所有谱峰的强度都紧密依赖着金片表面划痕方向与激光偏振方向的夹角, 谱峰随着角度从0° ~90° 明显增强。 其他样品上罗丹明B的SERS图谱表现出类似的情况, 这一结果证明罗丹明B的拉曼增强效应与划痕密切相关。

图4 500 nm α -Al2O3抛光后金片表面吸附罗丹明B的偏振相关SERS图谱
为清楚显示, 谱图已经在纵坐标方向平移处理
Fig.4 Polarization-dependent SERS of RhB adsorbed on the gold plate which is polished by 500 nm α -Al2O3 powder (sample 4)
For clarity, these spectra are offset along the y axis

当划痕方向与激光偏振方向夹角为90° 时, 划痕上横向表面等离激元与入射光耦合, 产生强烈的表面局域电磁场与拉曼信号。 随着夹角变小, 与入射光耦合而产生的局域表面等离激元共振强度变弱, 从而导致拉曼强度降低。 当夹角变为0° 时, 划痕上横向表面等离激元与入射光间的耦合几乎为零, 这是由于入射光子与传导表面等离激元间动量失配造成的[15], 此时不应产生SERS效应, 但实际上观察到了明显的拉曼信号, 这是由于金片表面的所有划痕并不是理想平行的, 且抛光时产生的磨屑也可能产生一定的SERS效应, 此外, 对照实验表明在532 nm激光激发下罗丹明B存在较弱的共振拉曼效应。 因此, 增强拉曼效应的来源主要由三部分组成: 一是入射光与划痕相互作用产生的横向表面等离激元的SERS效应; 二是表面纳米颗粒产生的SERS效应; 三是罗丹明B分子的共振拉曼效应。

由于磨屑纳米颗粒的表面等离激元强度以及随机吸附的罗丹明B分子的共振拉曼信号与激光偏振无关。 因此, 以激光偏振方向与划痕方向垂直时的拉曼强度减去与划痕方向平行时的拉曼强度作为来自于微观划痕产生的增强拉曼效应, 借此消除随机划痕、 磨屑以及本底罗丹明B的拉曼响应对增强拉曼信号的贡献。 如图4所示。

Sscrath=S90°-S0°

式中, Sscrath为高度平行的划痕产生的SERS光谱。 根据这一方法, 我们获得了各个样品来自于表面划痕产生的SERS光谱, 如图5所示, 当样品使用50 nm粒径抛光剂时, 有着相对较低的拉曼信号, 说明该样品拉曼增强效应较弱。 随着样品使用抛光剂粒径的增大, 拉曼信号逐渐增强, 而在样品使用抛光剂粒径大于500 nm以后, 拉曼信号又随着使用抛光剂的粒径增大而减小。

为了探究SERS信号与划痕的平均特征尺寸间的关系, 以各样品Sscrath中1 649 cm-1处谱峰为代表, 考察谱峰强度与划痕平均特征尺寸之间的对应关系。 如图6(a)所示, 图中直线为各点最小二乘拟合的结果, 拟合优度分别为0.672与0.795, 显著性P值分别为0.028与0.027, 随着平均特征尺寸的增加, 划痕上的SERS信号呈现出“ 山峰” 形状, 在平均特征尺寸为46 nm附近时SERS信号达到最大值。 同时对比了各样品1 649 cm-1处(S90° -S)/(S45° -S)峰强的比值, 如图6(b)所示, 发现所有比值均接近同一水平, 这一结果进一步证明了罗丹明B的拉曼增强效应与划痕密切相关[15, 16]

AFM结果显示各个样品的表面积几乎相等, 因此样品间SERS信号的差异是起因于划痕特征尺寸的不同, 而不是样品表面积的不同。 表面增强拉曼散射与纳米结构金属在光照下产生的表面等离激元密切相关。 表面等离激元激发所需的光照频率取决于纳米结构的形状与尺寸。 当表面等离激元激发时, 入射光的吸收增强[17]。 文献报道, 尺寸为50 nm左右的金纳米颗粒在530 nm波长附近具有最大的吸收[18, 19]。 这一尺寸也与本实验中最强SERS效应时的平均特征尺寸吻合。

图5 不同粒径α -Al2O3抛光金片后金片表面划痕产生的罗丹明B SERS图谱
为清楚显示, 谱图已经在纵坐标方向平移处理
Fig.5 Surface scratch induced SERS of RhB absorbed on the gold plates which are polished by α -Al2O3 powders of different sizes
For clarity, these spectra are offset along the y axis

图6 (a) Sscratch中1 649 cm-1处峰强与划痕平均特征尺寸关系图; (b) 1 649 cm-1处(S90° -S)/(S45° -S)比值与划痕平均特征尺寸关系图Fig.6 (a) The SERS intensity of the 1 649 cm-1band vs. the average feature size; (b) (S90° -S)/(S45° -S) of the 1 649 cm-1band vs. the average feature size

为了对比各个样品间的耐蚀性差异, 测量了样品在氯化钠溶液中的极化曲线, 通过样品间自腐蚀电位的区别来研究其耐蚀性能的差异。 以划痕尺寸差异较大的4组样品为例, 其极化曲线如图7所示, 可以看出, 随着使用抛光剂粒径的增加, 自腐蚀电位略微正移, 说明其耐腐蚀性能略微增强。

为了较好的比对各样品间自腐蚀电位的差异, 每种样品制备了三个, 并测试了其极化曲线, 统计了各种样品自腐蚀电位的平均值, 样品自腐蚀电位与样品平均特征直径的关系如图8所示。 图中直线为各点数据最小二乘拟合的结果, 拟合优度为0.766, 显著性P值为0.001, 可以看出随着样品表面划痕平均特征直径降低, 自腐蚀电位逐渐升高。

图7 具有不同尺寸划痕的金片在3.5 Wt.%氯化钠溶液中的动极化曲线Fig.7 Potentiodynamicpolarization curves of the gold plates with different scratches, tested in 3.5 Wt.%NaCl aqueous solution

图8 划痕平均特征尺寸与金片自腐蚀电位关系图Fig.8 The relationship between the average feature size of scratches and Ecorr of the gold plates

为了直观的看出拉曼信号强度与自腐蚀电位间的关系, 我们将其放入一个图中, 如图9所示, 在图的右半部分, 拉曼信号强度与自腐蚀电位的走势是保持一致的, 因此在一定范围内, 通过拉曼测试可以快速的判断出金属的耐蚀性。 例如, 在实际工件的现场检测中, 可以先在工件待检测部位滴涂一定浓度探针分子, 随后利用便携式拉曼谱仪检测表面增强拉曼信号, 通过拉曼信号强度获知工件表面的耐蚀性能。

图9 金片自腐蚀电位和SERS强度与划痕平均特征尺寸关系图Fig.9 The Ecorr and SERS intensity vs. the average feature size

3 结 论

通过α -Al2O3抛光粉机械抛光获得了表面具有不同尺寸微观划痕的金片, 以罗丹明B为探针分子测量了不同尺寸划痕的表面增强拉曼效应, 并测试了各个样品的极化曲线。 结果表明当划痕平均特征尺寸大于50 nm时, 表面增强拉曼信号与自腐蚀电位存在良好的线性对应关系, 通过拉曼信号可以间接反映出金片表面的耐蚀性。 研究表明表面增强拉曼光谱手段可用于金属的表面耐蚀性分析, 结合便携式拉曼光谱仪有望对工件耐蚀性进行现场快速检测。

The authors have declared that no competing interests exist.

参考文献
[1] Walter R, Kannan M B. Materials & Design, 2011, 32(4): 2350. [本文引用:1]
[2] Chen H Y, Lin M H, Wang C Y, et al. J. Am. Chem. Soc. , 2015, 137(42): 13698. [本文引用:1]
[3] Sharma B, Frontiera R R, Henry A, et al. Materials Today, 2012, 15(1-2): 16. [本文引用:1]
[4] Bantz K C, Meyer A F, Wittenberg N J, et al. Phys. Chem. Chem. Phys. , 2011, 13: 11551. [本文引用:1]
[5] YU Qing-bo, HU Kun, WANG Cui-ping, et al(于清波, 胡坤, 王翠萍, ). Spectroscopy and Spectral Analysis(光谱学与光谱分析), 2017, 37(6): 1987. [本文引用:1]
[6] Schlücker S. Angew. Chem. Int. Ed. , 2014, 53: 2. [本文引用:1]
[7] Willets K A. Chem. Soc. Rev. , 2014, 43(11): 3854. [本文引用:1]
[8] Tong L, Zhu T, Liu Z, Chem. Soc. Rev. , 2011, 40: 1296. [本文引用:1]
[9] Ding S Y, You E M, Tian Z Q, et al. Chemical Society Reviews, 2017, 46(13): 4042. [本文引用:1]
[10] Mayer K M, Hafner J H. Chem. Rev. , 2011, 111(6): 3828. [本文引用:1]
[11] Mirsimon B, Morlafolch J, Gisbertquilis P, et al. Journal of Optics, 2015, 17(11): 114012. [本文引用:1]
[12] Chen S, Li X, Zhao Y, et al. Carbon, 2015, 81(1): 767. [本文引用:1]
[13] Shen J, Zhu Y, Yang X, et al. Langmuir, 2013, 19(2): 690. [本文引用:1]
[14] Nakao H. Analytical Sciences, 2014, 30(1): 151. [本文引用:1]
[15] Cui Y, Phang I Y, Hegde R S, et al. Acs Photonics, 2014, 1(7): 631. [本文引用:2]
[16] Zhou W, Hu A, Bai S, et al. RSC Adv. , 2015, 5(49): 39103. [本文引用:1]
[17] Bastús N G, Piella J, Puntes V. Langmuir, 2015, 32(1): 290. [本文引用:1]
[18] Zhang P N, Li Y J, Wang D Y, et al. Particle & Particle Systems Characterization, 2016, 33: 924. [本文引用:1]
[19] Zhang Y J. Plasmonics, 2011, 6: 393. [本文引用:1]