作者简介: 王 飞, 1986年生, 天津大学材料科学与工程学院博士研究生 e-mail: wangfei2012@tju.edu.cn
净辐射系数是数值模拟中表征等离子体辐射属性最常用的参数。 考虑了线谱、 连续谱和分子带状谱等多种辐射机制, 计算了3~25 kK不同Fe含量下[82%Ar-18%CO2]-Fe等离子体的净辐射系数, 为GMAW电弧(82%Ar-18%CO2保护气, 低合金钢焊丝)的数值模拟提供了完整的辐射属性数据。 此外, 通过分析发现, 当Fe蒸汽加入到82%Ar-18%CO2混合物中, 即使Fe含量极低, 等离子体净辐射系数也会显著增大。 同时, 由于Fe的加入, 原本辐射贡献率较高的分子带状谱和连续谱辐射相对线谱辐射可忽略不计。
Net emission coefficient (NEC) is the most implemented method in the numerical models developed for thermal plasma. This paper is devoted to the calculation of NECs for [82%Ar-18%CO2]-Fe plasmas with different iron contents between 3 and 25 kK. By considering various radiative mechanisms (spectral lines, continuum and molecular bands), we developed a complet database of radiative proerty for the modelling of GMAW arcs (with 82%Ar-18%CO2 shielding gas and a steel wire). Also, it was found that the presence of iron vapour in the plasmas (even with very low content) can greatly improve the NEC and make the contribution of molecular bands and continuum, which are considerable in the NEC of 82%Ar-18%CO2, negligible.
熔化极气体保护焊(GMAW)电弧是一种典型的热等离子体, 广泛用于金属构件连接[1]。 在焊丝和工件之间, GMAW保护气体(如纯Ar或Ar-CO2混合气)产生强烈而持久的电弧放电现象, 并熔化焊丝和工件以实现金属连接。 相对于纯Ar, 一定摩尔配比的Ar-CO2混合气(典型配比如82%Ar-18%CO2)在电弧稳定性和焊缝成形方面表现更好, 在碳钢和低合金钢的焊接中应用也更广[2]。 在电弧的作用下, 部分熔化金属会进一步汽化并进入电弧, 金属蒸汽在电弧中的浓度可高达50%[3], 因此GMAW电弧可以看作是保护气体和金属蒸汽的混合物[4]。
数值模拟是电弧研究的重要手段。 目前, GMAW焊接电弧模拟集中在纯Ar为保护气的Ar-Fe电弧[5, 6, 7], 而关于以Ar-CO2为保护气的Ar-CO2-Fe电弧的模拟未见报道。 这与Ar-CO2-Fe等离子体属性(包括辐射属性)数据缺失有关。 在数值模拟中, 净辐射系数ε N是表征等离子体辐射属性最常用的一个参数, 辐射源项∇qrad等于4π εN[8]。 此前, 我们计算过Ar-Fe, Ar-Cu, Ar-Al等焊接等离子体的净辐射系数[9], 文献中查到一些纯气体及某些混合物的净辐射系数, 如Ar[10], CO2[11], Fe[12], CO2-Cu[13], Ar-H2-Fe[14], CO2-N2-Cu[15]等。 但是, Ar-CO2-Fe等离子体的辐射属性数据未找到。
为了给GMAW电弧(摩尔比例为82%Ar-18%CO2保护气和低合金钢焊丝)的数值模拟提供了完整的辐射属性数据, 考虑了等离子体辐射的各种机制(原子线谱、 连续谱和分子带状谱), 计算了3~25 kK内不同Fe含量下[82%Ar-18%CO2]-Fe等离子体的净辐射系数(Ar-CO2-Fe混合物中Ar, CO2和Fe的比例均为摩尔比例)。 除此之外, 还特别关注了Fe的加入对82%Ar-18%CO2等离子体净辐射系数的影响以及各种辐射机制在等离子体辐射中的贡献。
尽管有很多方法可以表征等离子体辐射属性, 如局部特征法、 离散坐标法、 k分布法、 PN近似法, 净辐射系数法是数值模拟中应用最多的一种方法[8]。 等离子体被假定为一个半径为Rp的等温、 均质球体, 净辐射系数ε N是从球心处释放的单位体积能量与从球体其他位置释放并经过吸收后到达球心的单位体积能量的差值, 它可以表示为[16]
其中, λ 是波长, Bλ 是普朗克函数, K'λ (T)是温度T时的单色光吸收系数, 根据Kirchhoff定律, 单色光辐射系数ε λ (T)=Bλ (T)K'λ (T)[9]。 本文中波长范围为33~2 500 nm, 因为此范围之外辐射极小, 可忽略不计[17]。
由于等离子体的自吸收作用, ε N会随着等离子半径Rp的增加而减小[8]。 当Rp=0 mm时, 意味着该等离子体是光学薄的(无自吸收)。 通常, 等离子体的强烈吸收(或ε N的快速减小)发生在Rp=1 mm的范围内, 当超过该范围, 吸收作用减弱, ε N的变化较小[8]。 对于焊接电弧, 其强辐射高温区域一般要大于此范围, 因此净辐射系数可以比较准确地表征该区域的辐射属性, 并在数值模拟中得到满意的结果[5, 6]。
等离子体的辐射强烈依赖于其成分, 因此在计算净辐射系数之前需要先求出等离子体的平衡成分。 该计算基于局部热力学平衡假设, 这对于GMAW电弧是可以接受的[9]。 本文考虑了[82%Ar-18%CO2]-Fe等离子体中26种可能存在的粒子, 见表1。 计算需要求解守恒方程(包括原子守恒、 电中性、 粒子数守恒)和化学方程[10]。 此外, 计算中还考虑了压力修正: Virial低温修正[18]和Debye-Hü ckel高温修正[10]。 具体可参见文献[9]。
| 表1 [82%Ar-18%CO2]-Fe等离子的粒子种类 Table 1 Chemical species for [82%Ar-18%CO2]-Fe plasmas |
以95%[82%Ar-18%CO2]-5%Fe等离子体(摩尔比例)为例。 图1给出了常压下该等离子体在3~25 kK范围内的平衡成分。 T=3 kK时, 等离子体主要由Ar, Fe原子和CO, CO2, O2和FeO分子组成, 其他粒子数量较少, 可忽略不计。 随着温度升高, 上述分子逐渐解离, Fe原子由于电离能较低开始电离。 T=9 kK时, 等离子体的主要粒子为Ar, C, O原子和Fe+离子以及e-。 温度继续升高时, C, O和Ar等原子陆续电离。 在17 kK以上, 原子全部电离。
| 图1 常压下95%[82%Ar-18%CO2]-5%Fe等离子(摩尔比例)的平衡成分Fig.1 Equilibrium composition of a 95% [82%Ar-18%CO2]-5% Fe plasma(molar proportion)at atmosphere pressure |
净辐射系数计算需要详细考虑等离子体的各种辐射机制, 以获得单色光吸收系数K'λ 或辐射系数ε λ [式(1)]。 如1.2所述, 等离子体中既有原子、 离子, 也有CO, CO2等分子, 所以本文考虑了原子线谱、 原子连续谱(复合辐射、 轫致辐射)、 分子连续谱和分子带状谱等辐射机制。
1.3.1 原子线谱
当原子或离子中的自由电子从较高的激发态跃迁到基态时, 产生一定波长的线谱辐射。 为了计算原子线谱, 我们分别考虑了C, O, Ar和Fe原子及离子中6 672, 6 217, 9 404和94 920条线谱。 谱线特征(能级、 量子数、 跃迁概率、 振子强度)取自美国NIST原子光谱数据库[19]。 线谱的单色光辐射系数
其中, Aij是从i能级到j能级的跃迁概率, λ ij是线谱中心波长, N(T)是粒子数密度, h是普朗克常量, c是光速,
1.3.2 原子连续谱
复合辐射: 当电子与离子碰撞并发生复合时, 复合能量以光子形式释放, 产生的辐射称为复合辐射。 该过程的单色光的辐射系数为[9]

其中 
轫致辐射: 高速运动的电子在碰撞(尤指库仑散射)过程中骤然减速产生的辐射。 电子-离子相互作用以及电子-原子相互作用产生的单色光的辐射系数分别为[9]

其中C3=
1.3.3 分子连续谱
从高温区释放的辐射经过周围低温区时受到较强的吸收作用(尤其在紫外线区域), 对于这些的低温区来说分子连续谱十分重要的。 我们计算了光致解离和光致电离过程中的分子连续谱辐射, 其单色光辐射系数为[15]
其中,
1.3.4 分子带状谱
在低温时, 分子带状谱辐射是等离子体辐射的重要来源[8], 因此我们考虑了等离子中CO2, CO, O2等分子的带状谱辐射, 其中CO, O2的带状谱的计算参考了在CO2-Cu辐射属性计算中的方法[13], CO2的计算利用了Tashkun和Perevalov提供的CDSD-4000数据库[21]。
在考虑了各种辐射机制后, 计算了不同Fe含量下[82%Ar-18%CO2]-Fe等离子体的净辐射系数。 为了获得净辐射系数ε N, 首先需要得出单色光辐射系数ε λ 。 以82%Ar-18%CO2和95%[82%Ar-18%CO2]-5%(摩尔比例)为例, 图2(a)和(b)给出它们在10 kK时波长在33~2 500 nm范围内的单色光辐射系数。 如图2所示, 在此温度下等离子体辐射中既有线谱也有连续谱, 同时, 铁的加入会极大地增加线谱辐射(特别是在1 000 nm以下)。
图3为3~25 kK内82%Ar-18%CO2在不同的等离子体半径Rp时的净辐射系数。 如图所示, 当Rp=0 mm时(无吸收作用), 净辐射系数随着温度升高先减小, 超过4 kK之后逐渐增大。 根据我们此前对纯CO2的研究, 在7.5 kK以下, 分子辐射是主要的辐射机制, 其中在4 kK以下CO2分子辐射贡献最大, 在4~5 kK内CO IR辐射贡献最大, 在更高的温度时4th CO辐射的占比最大[13]。 对于82%Ar-18%CO2, 在低温时辐射来源为CO2气体, Ar产生辐射极少。 在3~4 kK由于CO2分子大量解离(见1.2节图1), CO2分子辐射以及净辐射系数逐渐降低。 当温度大于4 kK时, CO辐射开始起作用, 净辐射系数增大。 当温度大于7.5 kK, 辐射能力更强的线谱和连续谱开始起作用, 净辐射系数进一步增大。
| 图3 0.1 MPa下82%Ar-18%CO2等离子体(摩尔比例) 的净辐射系数ε N随Rp的变化Fig.3 Influence of the Rp parameter on the NEC for the 82%Ar-18%CO2 plasma(malar proportions)at 0.1 MPa |
从图中还可以看到, 净辐射系数ε N随着等离子体半径Rp的增加而减小, 特别是在Rp=1 mm以内区域。 这与等离子中存在大量强辐射的原子线谱有关。 根据Kirchhoff定律, 当辐射系数ε λ 值较大时, 吸收系数K'λ 值也会较大, 这会导致ε N的吸收项exp(-K'λ (T)Rp)以及ε N值的快速减小, 特别是在Rp< 1 mm时。 相似的现象也出现在其他等离子体中, 如纯Ar[10], Ar-Fe[9]。 但是需要注意的是, 在低温时(如T< 7.5 kK), 辐射强度较弱的分子谱是主要辐射, 其自吸收作用较弱, ε N随Rp变化不大。
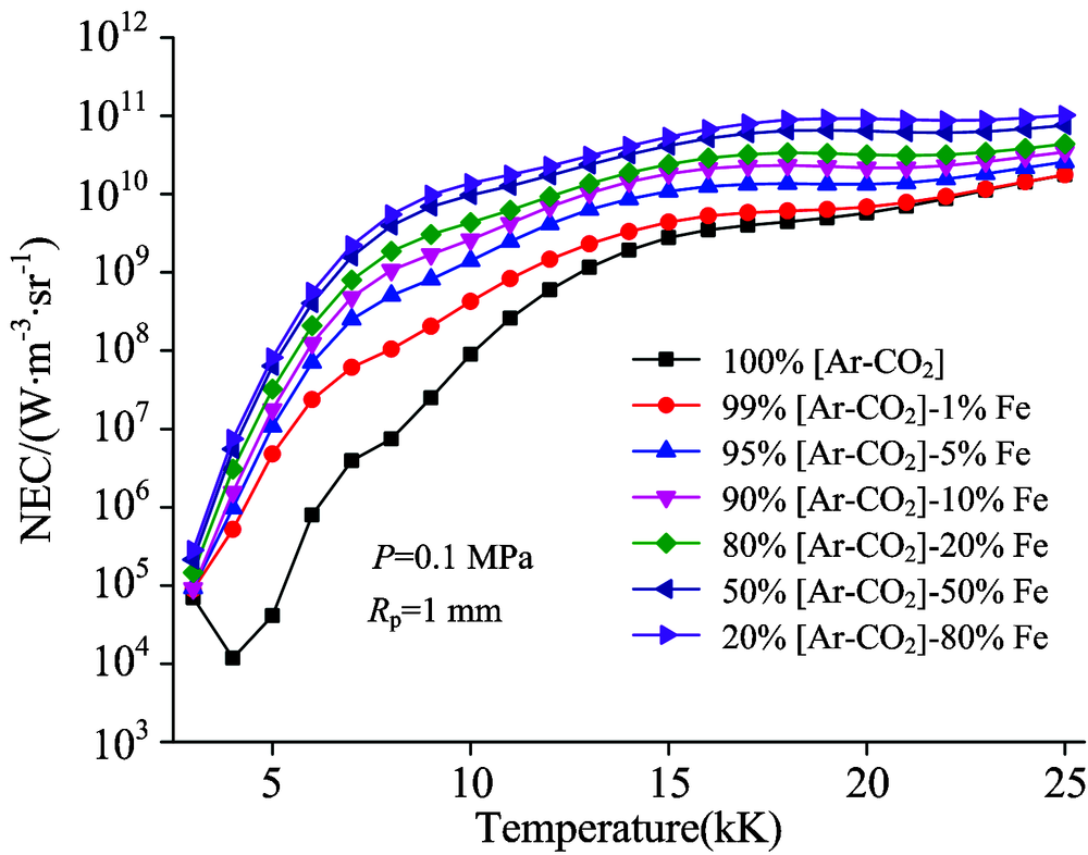
图4为[82%Ar-18%CO2]-Fe等离子体在不同Fe摩尔含量时的净辐射系数。 如图4所示, Fe蒸汽的存在会使等离子体辐射系数显著提升, 即使Fe浓度较低。 例如, 在10 kK, Rp=1 mm时, 82%Ar-18%CO2的净辐射系数为8.98× 107 W· m-3· sr-1, 而当其中存在5%的Fe时, 其辐射系数为1.41× 109 W· m-3· sr-1, 增大了约15.7倍。 这主要是由于Fe谱线众多且谱线强度较大所致。 我们在之前在Ar-Fe等离子体的研究中也发现Fe对等离子体辐射的促进作用[9]。
| 图4 0.1 MPa下金属蒸汽对Rp=1 mm的[82%Ar-18%CO2]-Fe等离子体净辐射系数的影响Fig.4 Influence of the iron vapour on the NEC for Rp=1 mm and [82%Ar-18%CO2]-Fe plasmas at 0.1 MPa |
近几年, 许多研究者发现MIG电弧(Ar-Fe等离子体)中在Fe蒸汽富集区域的等离子温度都较低[4, 22], 如Rouffet等[22]测量脉冲MIG电弧发现, 电弧中心区(Fe蒸汽含量约为60%)的等离子体温度约为8 kK, 而在附近不含金属蒸汽的区域温度可达到13 kK。 但是, 目前人们对以Ar-CO2为保护气的MAG电弧研究较少, 本文可以为研究Fe蒸汽对MAG电弧的影响提供一定的帮助。
为了进一步说明各种辐射机制的作用, 以82%Ar-18%CO2和95%[82%Ar-18%CO2]-5%Fe等离子体为例, 计算了线谱、 连续谱(原子连续谱、 分子连续谱)和分子带状谱在辐射中的占比, 见图5。 如图所示, 对于82%Ar-18%CO2等离子体, 在7.5 kK以下, 分子带状谱是辐射最大的贡献者, 如T=5 kK时其占比接近100%。 在7.5 kK以上, 线谱在辐射中贡献最大, 但连续谱也占有较大比例, 特别是在16 kK时其占比达到为40%, 分子带状谱的贡献可忽略。 对于95%[82%Ar-18%CO2]-5%Fe等离子体, 在4 kK以上, 线谱成为辐射的主要贡献者, 其占比超过90%, 而连续谱和分子带状谱的贡献小于10%。 这是由于少量的金属蒸汽的加入, 即可产生强烈的线谱辐射, 从而极大地减弱了其他辐射(连续谱、 分子带状谱)的贡献。
(1)考虑了原子线谱、 原子连续谱、 分子连续谱和分子带状谱等多种辐射机制, 计算了3~25 kK不同Fe含量下[82%Ar-18%CO2]-Fe等离子体的净辐射系数, 为GMAW电弧(82%Ar-18%CO2保护气, 低合金钢焊丝)数值模拟提供完整的辐射属性数据库(见表2)。
| 表2 Rp=1 mm时[82%Ar-18%CO2]-Fe等离子体的净辐射系数(摩尔比例, W· m-3· sr-1) Table 2 NECs for [82%Ar-18%CO2]-Fe plasmas at Rp=1 mm (mole proportions, W· m-3· sr-1) |
(2)对于82%Ar-18%CO2等离子体, 净辐射系数随温度先减小后增大, 在7.5 kK以下分子带状谱是主要的辐射贡献者, 在7.5 kK以上原子线谱贡献最大, 但连续谱也有一定占比, 如16.5 kK时连续谱的占比达到40%。
(3)当Fe蒸汽进入82%Ar-18%CO2后, 即使Fe含量较低(如5%Fe), 等离子体净辐射系数会显著增大, 同时原子线谱在辐射中占绝大部分。
尽管计算了[82%Ar-18%CO2]-Fe等离子体的辐射属性(净辐射系数), 但是为了实现GMAW电弧模拟还需要知道等离子体的热力学属性(密度、 比热容)和输运系数(粘度、 电导率、 热导率、 扩散系数)等数据。 由于在实验室条件下难以获得完全均质、 等温的等离子体, 因此计算是获得上述属性的唯一途径。 在未来的研究中, 我们将致力于这些等离子体属性的计算。
The authors have declared that no competing interests exist.
| [1] |
|
| [2] |
|
| [3] |
|
| [4] |
|
| [5] |
|
| [6] |
|
| [7] |
|
| [8] |
|
| [9] |
|
| [10] |
|
| [11] |
|
| [12] |
|
| [13] |
|
| [14] |
|
| [15] |
|
| [16] |
|
| [17] |
|
| [18] |
|
| [19] |
|
| [20] |
|
| [21] |
|
| [22] |
|

