作者简介: 许 昆, 1995年生, 北京化工大学材料科学与工程学院硕士研究生 e-mail: 2016210150@buct.edu.cn
胶矾水是中国传统书画修复和装裱材料, 但过量使用明矾会引起宣纸不同程度的酸化。 为了解胶矾水中明矾对宣纸中不同成分的影响, 明确传统胶矾水中明矾用量范围, 减少其对宣纸的危害, 采用傅里叶变换衰减全反射红外光谱(ATR-FTIR)和X射线衍射(XRD)研究了明矾对宣纸中纤维素和碳酸钙的影响, 并将傅里叶退卷积和二阶导曲线拟合的方法引入研究明矾对宣纸中明胶蛋白质二级结构的影响。 XRD和ATR-FTIR结果表明明矾会不同程度溶解纸张中的结晶纤维素、 非结晶纤维素和CaCO3(生成CaSO4), 在明矾浓度超过5 Wt%后成分变化最剧烈。 傅里叶退卷积和二阶导曲线拟合结果表明明矾会使宣纸中明胶蛋白质二级结构改变, 使α-螺旋结构、 β-转向结构和γ-随机结构向β-折叠结构转变。 在明矾浓度超过5 Wt%后, 蛋白质二级结构发生剧烈变化。 研究得出了明矾对宣纸中不同成分的影响, 在最小干预的文物保护原则基础上给出了明矾用量范围, 为纸质文物中蛋白质二级结构研究引入了一种新方法, 扩大了ATR-FTIR在纸质文物中的研究和应用范围。
Alum gelatin solution is the traditional Chinese materials for paper relics, but excessive use of alum will cause XUAN paper to varying degrees of acidification. In order to understand the effects of alum in alum gelatin solution on different ingredients in XUAN paper, the effect of alum on cellulose, calcium carbonate and gelatin in Xuan paper was studied. The effect of alum on celluloseand calcium carbonate in XUAN paper was studied by attenuated total reflectance Fourier transfer infrared (ATR-FTIR) spectroscopy and X-ray diffraction(XRD). For the first time, the effect of alum on gelatin in Xuan paper was studied by Fourier self-deconvolution and curve-fitting techniques. XRD and ATR-FTIR results showed that the alum dissolved cellulose and calcium carbonate in the paper and produced calcium sulfate. When the concentration of alum exceeded 5 Wt%, the composition changed the most violently; Fourier self-deconvolution and curve-fitting results showed that alum would change the secondary structure of gelatin protein on XUAN paper, α-helix, β-turn and γ-random structures were transformed into β-sheet structures. When the concentration of alum exceeded 5 Wt%, the secondary protein structure changed the most violently. In this paper, the effect of alum on different ingredients in Xuan paper was expounded, and the dosage range of alum was given on the basis of minimum interference principle. In addition, a new method has been introduced to study the secondary structure of protein in paper relics, and the application range of ATR-FTIR in paper relics has been expanded.
宣纸有着“ 纸寿千年” 的美誉, 是众多的文书典籍、 佛教经文和书画珍品的艺术载体。 胶矾水是我国传统书画修复和装裱中一种极其重要的原料, 它能提高宣纸的力学性能和抗水性, 并且起到固色等作用。 不同文献中胶矾水原料配比差异较大, 其中明胶含量为1~4 Wt%, 明矾含量为0.35~8 Wt%, 而且实际应用中会根据实际情况调整原料配比。 但胶矾水中明矾会引起宣纸酸化, 随着明矾用量增加宣纸酸化程度会有不同程度的增加, 了解明矾对宣纸的危害是合理运用胶矾水的重要前提。
ATR-FTIR具有无损快速的检测特点, 广泛运用在文物保护和考古领域。 ATR-FTIR可用于分析文物中有机和无机成分[1], 对于部分不能确定的无机物可以利用XRD辅助鉴定; 结合傅里叶退卷积和二阶导分峰拟合可研究文物中蛋白质二级结构的变化。 胶矾水中明矾是引起宣纸酸化的主要原因, 胶矾水对宣纸力学性能、 耐久性和光学性能影响研究较多, 但运用ATR-FTIR和XRD从分子角度研究胶矾水中明矾对宣纸中纤维素、 CaCO3和明胶影响的研究较少, 运用傅里叶退卷积研究宣纸中明胶蛋白质二级结构改变更是鲜有报道, 但这些成分直接影响到宣纸的基本性能和耐久性。
运用ATR-FTIR和XRD技术, 通过分析宣纸红外光谱和X射线衍射谱的变化, 得到了宣纸中碳酸钙成分的变化; 结合傅里叶退卷积和二阶导分峰拟合研究了宣纸中明胶蛋白质二级结构的变化, 为胶矾水的合理使用提供理论依据。
Alpha傅里叶红外光谱仪(德国Bruker公司)。 D8 ADVANCE X射线衍射仪(德国Bruker公司)。 电子天平(上海恒平科学仪器有限公司), 超声波清洗器(昆山市超声仪器有限公司)。 汪六吉四尺单宣纸、 明矾[KAl(SO4)2· 12H2O], 北京大森国画材料有限公司。 明胶, 北京东信文化发展有限公司。
准确称取15.000 0 g明胶溶解在250 mL去离子水中, 在60 ℃下溶解得到明胶溶液, 将明胶溶液平均随机分为5组。 准确称取1.000 0, 3.000 0, 5.000 0, 7.000 0和10.000 0 g明矾分别溶解在50 mL去离子水中得到五组明矾溶液。 将一组明矾溶液倒入一组明胶溶液中, 于超声波清洗器中超声混合20 min, 冷却至室温后得到明胶浓度固定为3 Wt%, 配制明矾浓度分别为1 Wt%, 3 Wt%, 5 Wt%, 7 Wt%和10 Wt%的五组胶矾水溶液。 将5组胶矾水溶液分别采用相同刷子和方法涂刷在30 cm× 3 cm宣纸上, 刷子宽度略大于纸张宽度, 每张宣纸涂刷两次大约消耗2 mL胶矾水, 自然干燥一天后得到施胶宣纸。 不进行胶矾水处理的宣纸作为空白组。
将施胶及未施胶的宣纸样品剪碎成粉末, 直到粉末的粒径小于10 μ m。 X射线衍射仪扫描范围10° ~80° , 扫描速度2° · min-1, Cu靶辐射, 管压为40 kV, 管流为40 mA。
取施胶及未施胶宣纸置于ATR附件上扫描, 光谱范围4 000~600 cm-1, 分辨率为4 cm-1, 扫描累加次数32。 用OMNIC 8.2对待测样品的红外光谱进行归一化处理以消除样品用量对红外光谱强度的影响。 获得五组施胶后宣纸和一组空白宣纸的红外光谱。
用差谱法对施胶宣纸和空白宣纸红外谱图的酰胺Ⅰ 带进行差减处理消除宣纸吸收峰对酰胺Ⅰ 带的干扰, 用OMNIC 8.2软件对红外光谱进行去卷积处理, 半峰宽为10 cm-1, 强化因子为2.0。 用Peak fit v4.12对去卷积光谱进行二阶导分峰拟合。
图1是胶矾水处理前后宣纸的红外谱图, 图2是图1的局部放大图。 红外谱图都经归一化处理消除样品量对红外光谱的影响, 以便于比较不同吸收峰的相对强度。 谱图中900~1 200 cm-1的系列吸收峰是纸张中纤维素的特征峰[2]。 1 315 cm-1吸收峰对应结晶纤维素, 1 333 cm-1吸收峰对应非结晶纤维素[3]。 1 106和666 cm-1两个吸收峰与CaSO4中S
纸张中CaCO3来自宣纸制备中“ 碱煮” 工艺[7], 能提高纸张的耐久性。 图2显示随着明矾浓度增加, CaCO3吸收峰的强度下降, 说明明矾会溶解纸张中的CaCO3, XRD结果中加入胶矾水后CaCO3相对于纤维素的衍射峰强度明显下降, 也辅助验证了明矾会溶解纸张中的CaCO3。 这是由于明矾中Al3+水解产生Al(OH)2+[8]和H+使溶液显酸性, 反应式如式(1), 随着明矾用量增加, 胶矾水的酸性增强。 CaCO3在酸性、 含S
KAl(SO4)2· 12H2O+H2O→ K++Al(OH)2++2S
CaCO3+2H++S
根据CaCO3、 结晶纤维素、 非结晶纤维素和CaSO4分别在1 426, 1 333, 1 315和666 cm-1处红外吸收峰强度变化作图4, 可见随着明矾含量的增加, CaCO3、 结晶纤维素和不定形纤维素吸收峰相对强度逐渐减弱, CaSO4吸收峰相对强度逐渐增加。 说明明矾会溶解宣纸中的CaCO3、 结晶纤维素和不定形纤维素。 在明矾浓度由5 Wt%增加到7 Wt%时, CaCO3吸收峰强度变化增大, 继续增加明矾量, CaCO3吸收峰强度变化减小。 说明明矾浓度达到5 Wt%~7 Wt%之间时, 就能消耗掉纸张中大量CaCO3, 明显改变宣纸中原有成分, 建议胶矾水中明矾浓度不超过5 Wt%。
图5是宣纸在不同明矾浓度的胶矾水作用下明胶中酰胺Ⅰ '带C=O和酰胺Ⅱ '带N— H的红外光谱, 通过谱图差减消除了宣纸吸收峰对蛋白质吸收峰的干扰。 1 640 cm-1吸收峰对应酰胺Ⅰ '带中C=O对称伸缩振动, 随着胶矾水中明矾含量增加, 酰胺Ⅰ '带吸收峰逐渐向1 620 cm-1低波数位移, 吸收峰形状也发生改变[9]。 明矾浓度在5 Wt%以下时, 酰胺Ⅰ ’ 带的红外光谱各浓度间有较大的相似性, 当明矾浓度由5wt%增加到7 Wt%时, 在1 681, 1 633和1 620 cm-1处吸收峰的形状发生明显改变, 吸收峰的相对强度也明显增加, 说明此时蛋白质二级结构发生了明显改变。
| Fig.5 ATR-FTIR spectra of gelatin amide Ⅰ ' region and amide Ⅱ ' region on XUAN paper'> | 图5 宣纸上明胶酰胺Ⅰ '带和酰胺Ⅱ '带ATR-FTIR光谱Fig.5 ATR-FTIR spectra of gelatin amide Ⅰ ' region and amide Ⅱ ' region on XUAN paper |
水溶液中明矾水解产生Al(OH)2+, 水解产物与明胶蛋白质肽键氨基上的N和羰基上的O结合形成五元环结构[8], 反应机制如图6。 α -螺旋结构依靠蛋白质主链内的肽键上仲氨基N— H上H和羰基C=O上的O形成的氢键维持, Al(OH)2+会取代仲氨基N— H上H, 破坏蛋白质中的氢键, 使蛋白质的螺旋结构打开, 改变了蛋白质的二级结构。
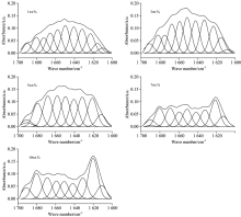
蛋白质的二级结构与酰胺Ⅰ '带的振动频率密切相关, 其中β -转角结构位于1 679~1 661 cm-1, α -螺旋结构位于1 660~1 651 cm-1, γ -随机结构位于1 650~1 640 cm-1, β -折叠结构位于1 639~1 600和1 680~1 700 cm-1[10, 11]。 图5说明明矾会增加明胶中β -折叠结构的相对含量。 对退卷积谱图进行二阶导退卷积处理进一步了解蛋白质二级结构的变化, 图7是宣纸上明胶酰胺Ⅰ '带的原始谱图、 拟合计算谱图及拟合各子谱。 对拟合后蛋白质二级结构通过曲线拟合的方法进行定量分析, 图8是用不同浓度明矾的胶矾水处理后明胶的二级结构相对含量变化, 可见, 随着明矾浓度增加, α -螺旋结构由24.41%减少到14.20%, 随机结构由11.98%减少到6.42%, β -折叠结构由46.92%增加到64.83%, β -转角结构由16.69%减小到14.54%。 说明随着明矾用量增加, 蛋白质二级结构中α -螺旋结构被破坏, 使α -螺旋结构的相对含量减少, β -折叠结构相对含量增加[12]。 在明矾浓度为由5 Wt%增加到7 Wt%时, 明胶蛋白质主链上Al含量累积超过临界值, 使α -螺旋结构的相对含量显著减少, β -折叠结构相对含量显著增加, 此时明胶的蛋白质结构已经发生了不可逆转的改变。
| 图7 宣纸上明胶蛋白退卷积拟合后ATR-FTIR谱图Fig.7 Deconvolved and curve fitted ATR-FTIR spectra of amide Ⅰ ' regions of XUAN paper |
传统胶矾水中明矾会对宣纸中纤维素、 碳酸钙和明胶产生不同的影响, 包括成分和结构的变化。 运用ATR-FTIR和XRD研究了明矾对纤维素和碳酸钙的影响, 运用傅里叶退卷积和二阶导分峰拟合研究了明矾对明胶蛋白质二级结构的影响。 研究表明胶矾水会溶解碳酸钙生成硫酸钙, 破坏宣纸纤维素的结构, 其中的Al(OH)2+与明胶蛋白质主链发生作用, 改变明胶蛋白质的二级结构, 促进蛋白质中α -螺旋结构向β -折叠结构转化。 随着胶矾水中明矾浓度增加, 宣纸中各成分的变化也越大, 在所研究的浓度范围内, 在明矾浓度超过5 Wt%后, 变化最明显。 本研究将分子光谱无损分析技术应用在文物保护中, 阐述了胶矾水中明矾对宣纸的影响, 为合理应用胶矾水提供了理论基础, 扩大了ATR-FTIR在纸质文物中的应用范围。
The authors have declared that no competing interests exist.
| [1] |
|
| [2] |
|
| [3] |
|
| [4] |
|
| [5] |
|
| [6] |
|
| [7] |
|
| [8] |
|
| [9] |
|
| [10] |
|
| [11] |
|
| [12] |
|

