作者简介: 王小平, 1991年生, 新疆大学资源与环境科学学院硕士研究生 e-mail: wxp4911@163.com
如何快速获取干旱区地表水盐分含量是干旱区绿洲地表水有效管理的关键问题。 研究以艾比湖流域为研究区, 三维荧光光谱技术为诊断手段, 利用荧光激发发射矩阵(EEM)结合平行因子分析(PARAFAC)法, 提取艾比湖流域地表水水体荧光组分, 构建干旱区地表水三维荧光光谱指数。 通过线性回归方法, 建立基于三维荧光光谱技术的地表水盐分含量的诊断模型。 结果表明: (1)艾比湖流域地表水溶解性有机质含有四种荧光组分即: 微生物腐殖质(C1), 腐殖酸等有机物质(C2, C4), 蛋白质类有机物质(C3)。 (2)通过三维荧光指数分析发现, 流域地表水有机污染类型为“陆源型”, 受人类干扰比较严重, 水体有机污染差异较大, 且三维荧光指数、 荧光组分分别与地表水水体含盐量呈显著相关性, W2, W4, W7, F355, HIX和BIX与水体盐分含量的关系显著, 0.516< r<0.915, 其中HIX与水体盐分含量呈明显负相关, 相关系数 r为-0.57。 (3)利用三维荧光指数和荧光组分建立水体盐分估算模型, 模型拟合系数大于0.7, 模型验证精度符合统计学要求, 估算模型的RPD值均大于1.4, 模型估算能力较强。 因此, 基于三维荧光光谱技术实现艾比湖流域地表水水体含盐量诊断研究是可行的。 该研究不仅探讨了干旱区艾比湖流域地表水三维荧光的特点, 而且将为三维荧光应用于干旱中亚地区地表水有机污染监测提供一定的科学依据。
How to make the water quality monitoring under the influence of high levels of salt, is the key to the effective management of water quality in oases in arid areas. The author takes Ebinur lake watershed as the study area, combining three-dimensional fluorescence excitation-emission matrices (3-DEEM) with parallel factor analysis (PARAFAC), extracting three -dimensional fluorescent components of surface water in Ebinur lake watershed, constructing the index of three-dimensional fluorescence spectrum, which is fit surface water in arid area, using linear regression were establishing diagnosis model of water salt content based on the technique of three-dimensional fluorescence spectrum. The results showed that: (1) The four fluorescence components were successfully extrapolated by the parallel factor analysis modeling from the fluorescence EEM data including microbial humic-like (Component 1), terrestrial humic-like organic substances (Component 2, Component 4), and protein-like organic substances (Component 3); (2) Three-dimensional fluorescence index analysis showed that terrigenous organic pollution was the main organic pollution type in the watershed. This study indicates that the watershed is subject to human disturbance, gives the large variation of organic pollution in the water body, and the correlation between three-dimensional fluorescence index, fluorescent components and water salt content is significant; There is a significant relationship between W2, W4, W7, F355, HIX, BIX and salt water content. The correlation coefficients r in the range of 0.516 and 0.915, is a negative relationship between BIX and water salt content, and the correlation coefficient r is -0.57. (3) The application of three-dimensional fluorescence index and fluorescence component to establish salt water content produced a model fitting coefficient ( r) that is greater than 0.7 and residual predictive deviation (RPD) that is greater than 1.4, the model has a high predictive ability, which demonstrated that the accuracy of the model was in line with monitoring requirements in practice. Therefore, based on the three dimensional fluorescence spectrum technology, the realization of Ebinur Lake Watershed surface water salinity diagnosis research is effective. This study not only explores the three-dimensional fluorescence characteristics of the surface water of the Ebinur Lake Watershed, but may also be applied to three-dimensional fluorescence extraction of other surface waters in arid regions of Central Asia.
在干旱地区, 水是社会经济发展的最大制约因子, 是人类的依存基础, 无论是地表水还是地下水, 高盐分含量是干旱区水资源的典型特征。 干旱区的植物、 地表水和地下水都受到了高盐分含量的影响, 在进行干旱区地表水监测时, 必须考虑高盐分含量的影响, 因此, 如何快速的获取水体盐分含量是干旱区河流水质有效管理的关键问题[1]。
河流对流域土地集约利用和不同污染源的快速反应, 导致水质的恶化可能会加快, 直接或间接威胁到人类健康和水生生态系统安全。 在高含盐量影响下, 传统的水质监测手段监测精度受到一定影响[2]。 如, BOD5的测量, 高盐度有毒物质的存在可能会影响生化氧化, 造成分析误差。 重铬酸钾为COD测试的典型的氧化剂, 在高盐度的影响下也不能完全分解样品中的有机物, 从而涉及对分子结构的影响[3]。 因此, 有必要开发更快速和可靠的监测技术来取代传统的水质监测手段。
近年来, 荧光光谱已作为有机污染的有效的光学监测技术, 光学传感器检测水质有机污染受到高盐分含量的影响较小, 而且可以进一步研究盐分含量对水体成分的影响[4]。 特别是EEM光谱可以捕获在宽范围内激发和发射波长的各种荧光成分[5]。 诸多提取荧光组分的方法中, 平行因子模型(PARAFAC)被众多学者认可且被广泛应用, 因为该方法能够有效的分离荧光组分, 通过荧光组分可实现被监测物质的定量与半定量表征[6]。 PARAFAC还可用于分离重叠荧光团, 检测更微小的光谱变化[7], 因此, 荧光技术的优势弥补了传统监测手段在高含盐量影响下对水质监测的缺陷。
本研究以艾比湖流域为研究区, 利用三维荧光技术, 旨在探讨水体含盐量与水体荧光光谱之间的关系, 首先研究干旱区艾比湖流域不同河区的盐分分布特性; 其次通过PARAFAC法提取高盐分影响下的水体三维荧组分, 构建干旱区荧光光谱指数。 最后, 建立基于三维荧光光谱技术的地表水水体盐分含量的诊断模型。 该研究以期对干旱区高盐含量下河流水质污染监测提供新思路, 进一步为中亚地区地表水水环境监测提供一定的科学依据。
艾比湖流域位于新疆西部, 44° 05'— 45° 08'N, 82° 35'— 83° 16'E之间, 随着全球变暖, 流域土壤盐渍化加剧, 生态环境日趋恶化。 艾比湖流域主要包括博尔塔拉河 (Ⅰ )、 精河 (Ⅱ )、 奎屯— 阿奇克苏河(Ⅲ )和流域西南地区的人工水库(Ⅳ )。 近年来艾比湖流域受人类活动影响加剧, 水环境质量受到严重影响, 水环境逐步恶化[8]。 艾比湖流域示意图如图1。
艾比湖流域是典型的内陆干旱气候, 8月— 10月属于枯水期, 该季节流域地表盐渍化现象最为严重, 研究小组于2016年10月5日— 10日进行水样采集, 流域共采集48个水样, 如图1, 每个样点采集表层(0.5 cm以下)的水体200 mL, 保存在预先处理过的白色聚乙烯塑料瓶中, 现场利用 WTW inoLab@ Multi 3420便携式盐度仪测试水体含盐量, 同时记录采样点环境。 水样低温状态下送回实验室, 过玻璃纤维微孔膜(Whatman GF/F)后扫描水体三维荧光光谱。
研究采用的荧光光谱分析仪是日本生产的Hitachi F-7000高灵敏度的荧光光谱分析仪。 仪器的主要性能参数: 激发光源, 150 W氙弧灯; PMT电压, 700 V; 信噪比> 110; 带通(Band pass), Ex和Em波长间隔为10 nm, 自动响应时间; 扫描光谱进行仪器自动校正。
为确保荧光光谱特性的可比性, 利用超纯水对三维荧光光谱进行空白扣除, 通过扣除λ Em< λ Ex+20 nm的区域, 以消除一级瑞利散射。
通过PARAFAC模型提取每种成分的相对荧光强度(scores), 每种成分的荧光强度(Ii)计算公式如下[9]
式中: Scorei, Exi(λ max) 以及Emi(λ max)分别是指第i种成分的相对荧光强度、 第n种成分激发负载的最大值以及第n种成分发射负载的最大值。 总荧光强度(ITot)和荧光组分占总组分比例(Pi)计算公式如下
荧光指数(fluorescence index, FI) [10]: λ Ex=370 nm时发射波长470 nm与520 nm处荧光强度比值(λ Ex=370 nm, F470/520); FI> 1.9, 表明河流有机污染物自生源特征明显; FI< 1.4, 说明河流有机污染源于外源输入。
自生源指数(autochthonous index, BIX)[10]: λ Ex=310 nm时发射波长380与430 nm处的荧光强度比值(λ Ex= 310 nm, F380/430), BIX值在0.6~0.8之间时, 水体样品中自生源贡献较少; BIX值在0.8~1.0之间时, 水样中溶解性有机质存在新生自生源特征; 而BIX> 1.0时, 表明溶解性有机质具有自生源特征。
腐殖化指数(humification index, HIX)[11]: λ Ex=254 nm时发射波长435~480 nm间区域积分值
Fn(355)为 Ex=355 nm 时, Em在440~470 nm间的最大荧光强度, 代表荧光物质浓度[11], 本研究中由于采集荧光光谱的带通(band pass)Ex和Em均为10 nm, 因此在计算选择Ex=350 nm 时, Em在440~470 nm 间最大荧光强度。
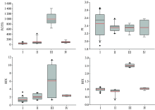
艾比湖流域位于中亚干旱区准噶尔盆地的最低处, 土壤盐渍化严重, 采样期为10月, 气候干旱, 蒸发强烈, 促进了盐分向土壤表层的集聚。 博尔塔拉河是流域水体盐分含量的最低河区, 由于海拔较高, 博尔塔拉河谷土壤盐渍化程度低, 加之高山冰雪融水的汇入, 流域含盐量最低值出现在该河区的最上游, 值为0.17 g· L-1。 精河河谷土壤盐渍化较博尔塔拉河严重, 且盐渍地分布于河道两侧, 因此水体盐分含量高于博尔塔拉河, 最大值出现在精河河口为1.45 g· L-1。 奎屯河河流断流且流经沙漠, 是整个流域水体含盐量最高的河区, 最大值达到4.13 g· L-1。
| 表1 水体盐分数据的统计 Table 1 The statistics of water salt content |
根据PARAFAC模型, 流域地表水共存在4个荧光组分(如图4), 包括微生物腐殖质(C1), 腐殖酸等有机物质(C2, C4), 蛋白质类有机物质(C3)。 组分C2主要反映了短波激发类腐殖质的荧光性质, 组分 C3有4个峰(T3, T4, T5, T6), 属于色氨酸单体的2个荧光峰(T3, T4) 中的短波激发R峰接近, 表明该组分为一个类色氨酸。
| 图2 艾比湖流域地表水水体荧光组分图Fig.2 Contour plots of the four PARAFAC components decomposed from water samples of Ebinur Lake Watershed |
| 表2 艾比湖流域地表水荧光峰组分 Table 2 Peak of the water samples in Ebinur Lake Watershed |
FI值可表征水体腐殖质来源, FI> 1.9以自生源为主, FI< 1.4以陆源输入为主。 艾比湖流域地表水四个河区荧光指数的FI值除精河(入湖口)采样点的值小于1.9外, 流域其他河区水体的FI均大于1.9。 表明流域地表水水体溶解性有机质来源主要以自生源为主。 艾比湖流域阿奇克苏-奎屯河地表水水体溶解性有机质的BIX值大于1, 其他河区水体BIX的值在0.73~1.1之间, 表明水体DOM来源可能受到两种结果的混合影响, 其值更接近于陆源, 表明艾比湖流域地表水陆源输入可能为主要形式, 尤其是艾比湖湿地河流。 HIX反映DOM腐殖质含量或腐殖化程度, 当HIX> 0.8时, 水体DOM具有显著腐殖质特征, 其来源主要以陆源为主。 艾比湖湿地河流水体溶解性有机质的HIX值均大于0.8, 表明陆源为主是艾比湖地表水水体溶解性有机质的主要特征。
荧光组分和荧光光谱指数能定量表征水体水质的含量, 水体盐分含量是水质的重要指数之一, 本研究就通过person’ s相关系数研究三维荧光组分、 指数与地表水水体含盐量的关系研究。 如图3所示: W2, W4, W7, F355, HIX和BIX与水体盐分含量的关系显著, 0.516< r< 0.915, 其中BIX与水体盐分含量呈现明显负相关, 相关系数r为-0.57。
基于相关分析的结果, 构建了艾比湖流域地表水含盐量诊断模型, 结果如图5, 研究可知, 三维荧光组分、 三维荧光光谱指数与水体含盐量之间的拟合效果较好, 因此, 荧光光谱指数, 荧光组分一定程度上可以实现水体含盐量的定量表征。
| 图4 三维荧光光谱指数、 组分与地表水水体盐分含量之间的关系参数统计Fig.4 Statistics parameter of relationship between 3-D fluorescence spectral index, component and water salt content (WSC) |
由表4可知: 估算模型的R2大于0.7, 0.428< RMSE< 0.853, 且模型的相对误差均大于2, 因此, 模型的稳定性较强, 预测能力可靠。 HIX的建模效果最好, RPD为2.627。
| 表4 盐分含量与荧光峰强度之间的关系 Table 4 The relationship between the salt content and the fluorescence peak intensity |
利用16组验证数据诊断模型进行验证, 散点图如图6, 图中1∶ 1线和拟合曲线两条线来衡量和判断模型的稳定性。 当相对分析误差(RPD)小于1.4 时, 模型几乎不可用; 相对分析误差为1.4~2时, 模型只能对样品进行一般估测且精度一般, 相对分析误差在2以上时, 模型具有较好的定量预测能力。 除W7所建立的模型的相对分析误差小于2外, 其他均大于2, 因此, 基于三维荧光光谱技术的地表水水体盐分含量诊断模型的估算能力较强。
| 图6 水体含盐量实测值与预测值的关系Fig.6 The relationship between measured values and estimated values of water salt content |
从干旱区水质监测方法入手, 结合三维荧光光谱尝试性的分析了干旱区特有环境下的典型流域水体高盐度含量的准确监测, 高盐度对水质的影响不仅仅体现在pH值和盐分上, 还体现在水体的有机制成分方面。 如: 高含盐量严重影响水体的溶解性有机质分子结构, 可能导致类蛋白类严重脱水, 失去活性。 因此, 基于三维荧光技术实现水体盐分含量的快速诊断具有应用意义。
水体三维荧光峰、 荧光光谱指数与水体含盐量之间呈现显著相关, R2> 0.5。 这与安莹[16]盐度冲击下的三维荧光光谱解析的研究结果具有一致性。 但是大多数学者和本研究中都使用了平行因子法, 该方法虽然具有许多优点, 但也存在一些不足, 如: 对于物质分子结构变化引起的微小光谱变化检测还存在一定不足。 因此盐分影响的荧光光谱特征可能会影响其溶解性有机质的更小成分, 所以应该寻求一种能提取更细微光谱成分的方法来提取荧光光谱。
地表水水体盐分快速诊断模型的可移植性和不确定性分析。 从时空的角度分析水体含盐量诊断模型的可移植性。 (1)时间上, 本次实验仅限于艾比湖流域枯水期, 旨在明确水体盐分含量与水体荧光光谱之间的关系, 虽然盐分含量具有季节变异性, 但是在同一时期、 同一流域水体的盐分含量也具有极大差异。 因此, 地表水水体盐分含量诊断模型的精度是不受季节限制的, 具有其时间上的可移植性。 (2)空间上, 地表水水体盐分含量主要受水体所在流域环境的影响, 三维荧光谱同样是整个水环境的整合反映, 地表水水体盐分含量诊断模型是基于三维荧光谱与水体含盐量的关系建立的, 在空间上受到试验区域的影响, 其模型的可移植性有待进一步验证, 但是艾比湖流域是中亚干旱区的典型区, 其模型在中亚地区具有一定的可移植性, 更大范围的延伸需要进一步验证。 总之, 地表水含盐量诊断模型在空间上具有不确定性。
利用荧光激发发射矩阵(EEM)及平行因子分析(PARAFAC)法和三维荧光指数, 实现三维荧光光谱技术的水体含盐量快速诊断研究, 主要结论如下:
(1)艾比湖流域地表水水体溶解性有机质含有四种荧光组分即: 微生物腐殖质(C1), 腐殖酸等有机物质(C2, C4), 蛋白质类有机物质(C3)。
(2)通过三维荧光指数分析发现, 流域地表水水体有机污染类型为“ 陆源型” , 受人类干扰比较严重, 水体有机污染差异较大, 且三维荧光指数、 荧光组分分别与地表水水体含盐量之间的相关性显著。
(3)利用三维荧光指数和荧光组分建立水质估算模型, 模型拟合系数大于0.7, 模型验证精度符合统计学要求, 可以利用三维荧光组分和三维荧光指数估算, 因此, 基于三维荧光光谱技术实现艾比湖流域地表水水体含盐量诊断研究是有效的。
The authors have declared that no competing interests exist.
| [1] |
|
| [2] |
|
| [3] |
|
| [4] |
|
| [5] |
|
| [6] |
|
| [7] |
|
| [8] |
|
| [9] |
|
| [10] |
|
| [11] |
|
| [12] |
|
| [13] |
|
| [14] |
|
| [15] |
|
| [16] |
|

