作者简介: 刘喜锋, 1982年生, 华南理工大学广州学院讲师 e-mail: liuxf@gcu.edu.cn
最近在新疆哈密发现了可规模开采的宝石级绿松石矿床。 采用X射线粉晶衍射仪、 激光剥蚀电感耦合等离子体质谱仪、 扫描电子显微镜、 傅里叶变换红外光谱仪、 拉曼光谱仪、 紫外-可见光谱仪等测试方法, 对该地绿松石的化学成分、 矿物组成、 表面微形貌、 红外吸收光谱、 拉曼散射光谱、 紫外-可见吸收光谱等矿物学和光谱学特征进行了系统对比研究。 新疆哈密绿松石的主要化学成分以富Cr (1 617 ppm), V (435 ppm), Ti (428 ppm), 贫Ba (99.9 ppm)为特征, 随着Fe2O3/CuO比值的递减, 绿松石的色调由绿变蓝。 由磷酸根、 羟基和结晶水引起的特征峰出现在该地绿松石的拉曼光谱和红外吸收光谱, 其中磷酸根的振动峰位于1 000~1 200和420~650 cm-1, 羟基的振动峰出现在3 400~3 600 cm-1, 而结晶水引起的振动峰位于3 000~3 300 cm-1。 此外, 该地绿松石的紫外-可见吸收光谱显示, 在600~700和430 nm处分别有由Cu2+和Fe3+引起的吸收峰, 这两处的峰强与绿松石的蓝绿色调之间的关系, 和新疆哈密绿松石成分中Fe2O3/CuO的比值与颜色之间的关系对应一致。
Recently, turquoise from Hami, Xinjiang Provence has been discovered with gem quality and large quantity. In this work, turquoise samples from Hami, Xinjiang were studied with X-ray diffractometer (XRD), laser ablation inductively coupled plasma mass spectrometer (LA-ICP-MS), scanning electronic microscopy (SEM), Fourier transform infrared spectroscopy (FTIR), Raman spectroscopy (Raman), and ultraviolet-visible spectroscopy (UV-Vis) to obtain the mineralogy and spectra characteristics. The chemical composition of turquoise from Hami was characterized by rich Cr (1 617 ppm), V (435 ppm), Ti (428 ppm) and poor Ba (99.9 ppm). And, the color of turquoise gradually changed from green to blue with the decrease of the rate of Fe2O3/CuO. The SEM results showed that the turquoise crystals were mainly needle, columnar and long plate shape with the size of 0.2~3 μm. The infrared and Raman spectra of turquoise were induced by the vibration of phosphate group (located at 1 000~1 200 and 420~650 cm-1), hydroxy group (located at 3 400~3 600 cm-1) and crystal water (located at 3 000~3 300 cm-1). Besides, the UV-Vis spectra of the turquoise samples showed that the absorption peaks at 430 nm and 600~700 nm belonged to the electron transition of Fe3+and Cu2+, respectively.
引 言
世界上出产绿松石的国家主要有美国、 伊朗、 俄罗斯、 中国、 阿富汗以及澳大利亚。 我国作为绿松石的主要产出国之一, 湖北郧县、 陕西白河、 安徽马鞍山、 河南淅川、 青海乌兰和新疆哈密等地都有绿松石产出[1]。 其中, 湖北境内绿松石矿主要分布于郧县、 郧西和竹山, 围岩多为寒武系碳硅板岩[2]; 而陕西境内绿松石矿床主要分布于白河、 安康和平利等县境内, 其中白河月儿潭绿松石矿化赋存于绢云片岩夹层碳质硅板岩中; 河南绿松石分布在大石桥, 产于黄褐色砂质泥岩中[3]; 安徽境内绿松石位于长江中下游南岸的马鞍山地区, 这类矿床的次生硫化物富集带是绿松石的主要发育带[4]。 众多学者采用X射线衍射仪、 电子探针、 扫描电镜、 红外吸收光谱仪、 拉曼光谱仪和紫外-可见光谱仪等研究手段, 分析了不同产地的绿松石在矿物学和光谱学方面的特征[5, 6, 7, 8]。
近期, 新疆哈密发现了含有丰富颜色的绿松石矿床, 该矿床主要位于天区, 绿松石矿带长2 km, EW向展布, 宽50 m, 围岩为寒武系硅质岩, 矿体位于氧化淋滤带。 迄今, 对新疆哈密地区绿松石(简称新疆哈密绿松石)矿床宝石级绿松石的矿物学特征和谱学特征报道甚少。 在前人基础上, 结合物相组成测试、 矿物成分分析、 微形貌观察、 红外光谱、 拉曼光谱和紫外光谱等多种研究手段, 就新疆哈密绿松石的矿物学和光谱学特征进行全面系统论述, 为后续呈色机理研究和开采利用提供参考和依据。
样品全部来自新疆哈密绿松石矿床, 如图1所示, 共9块。 从中选取有代表性的4块不同颜色绿松石样品(HM-T1— HM-T4)进行矿物学和光谱学分析。 其中, HM-T1为黄绿色, HM-T2为蓝绿色, HM-T3为绿蓝色, HM-T4为蓝色。
采用X射线粉晶衍射仪(XRD)对样品的物相组成进行分析, 该测试在中国科学院理化技术研究所完成; 测试仪器名称: 粉晶X射线衍射仪; 仪器型号: D8 Focus (Bruker, Germany); X射线发生器功率: 2.2 kW; Cu靶陶瓷X光管; 扫描方式: θ /2θ 测角仪; 扫描范围: 20° ~89° ; 测角精度: 0.000 1° 。
为了获得比常规电子探针微区分析手段更全面的数据, 采用目前被广泛应用于多种矿物成分测试的全岩分析方法, 即激光剥蚀电感耦合等。 离子体质谱仪(LA-ICP-MS)。 该测试由国家地质测试中心完成; 测试仪器名称: 激光剥蚀电感耦合等离子质谱仪; 仪器型号: PE300D。
表面微形貌观察由中国科学院理化技术研究所的扫描电子显微镜(SEM)实现。 测试仪器名称: 场发射枪扫描电子显微镜; 仪器型号: S-4300 (Hitachi, Japan)。
采用傅里叶变换红外光谱仪(FTIR)获得了样品的红外吸收光谱, 测试在中国科学院理化技术研究所完成; 傅里叶变化红外光谱仪型号: Excalibur 3100 (Varian, America); 测试范围: 400~1 200 cm-1; 分辨率0.20 cm-1; 叠加次数: 64。
拉曼散射光谱由中国科学院理化技术研究所的显微共聚焦激光拉曼光谱仪获得; 仪器型号: inVia-Reflex (Renishaw, England); 激发波长: 532 nm; 测试范围: 100~1 400 cm-1; 激光强度10%; 扫描时间: 30 s; 叠加次数: 3。
紫外-可见光吸收光谱测试, 采用中国科学院理化技术研究所的Cary 5000 (Varian, America)紫外-可见近红外分光光度计(UV-Vis)。
X射线粉晶衍射(XRD)测试得到的新疆哈密绿松石样品的物相组成特征如图2所示。 在24° ~31° 选取了6个特征衍射峰, 于表1中列出了绿松石标准谱(JCPDF 50-1655)与样品的峰位对照[9]。 Jade软件分析发现, 新疆哈密绿松石样品衍射图谱中衍射峰的位置与标准绿松石衍射谱几乎一致, 具备非常高的拟合度, 表明其主要矿物成分是绿松石, 且纯度较高。
| 表1 新疆哈密绿松石样品粉晶衍射部分特征峰(2θ ) Table 1 Characteristic diffraction peaks of turquoises from Hami, Xinjiang (2θ ) |
绿松石晶体化学式为Cu(Al, Fe)6[PO4]4(OH)8· 4H2O, 晶体结构中的Al3+可部分被Fe3+完全类质同象代替, 富铝端元称绿松石, 富铁端元称磷铜铁矿; Cu2+可被Zn2+作不完全类质同象替代[10]。 新疆哈密绿松石成分测试结果和其他不同产地绿松石成分见表2。
| 表2 不同产地绿松石化学成分对比表(Wt%) Table 2 Comparison of the chemical compositon of turquoises from different mines (Wt%) |
四个新疆哈密绿松石样品中含CuO为7.62%~8.28%、 Al2O3为32.58%~35.36%、 P2O5为29.41%~32.31%、 H2O为18.10~18.48%, 并含有一定的Fe2O3(1.22~2.17%), FeO(0.29~0.92%)和ZnO(0.07~0.27%), SiO2(3.76~4.39%)。 由于Fe和Zn的替代, 各主要化学成分略低于理论值。 另外, 通过与文献中湖北竹山[11]、 湖北郧县[10, 12, 13]、 安徽马鞍山[4, 14, 15]、 安徽殿庵山[16]、 陕西月儿潭[17]等地绿松石的矿物组成对比可知, 新疆哈密绿松石的主要成分与其他产地差异不大。
此外, 所测新疆哈密绿松石样品中Fe2O3/CuO含量比值大小顺序为HM-T1(HM-T2)> (HM-T3)> (HM-T4)。 按照此顺序, 样品的颜色分别为: 黄绿色(蓝绿色)、 绿蓝色、 蓝色。 总体而言, Fe2O3/CuO的比值越小, 绿松石蓝色调越明显。 这一结论与安徽殿庵山绿松石的颜色与成分关系一致[16]。 进一步, 结合其他产地的绿松石实验数据可知, 绿松石独特的色调产生原因与组分中致色氧化物(如CuO, Fe2O3等)的种类和相对含量有关, 且Cu2+离子对绿松石的基色— 天蓝色起有益作用[12]。
表3列出通过LA-ICP-MS获得的新疆哈密绿松石样品的微量元素显示含有大量Cr (1 617 ppm)和V (435 ppm), 以富Ti (428 ppm), 贫Ba (99.9 ppm)为产地特征区别于湖北竹山[8]、 湖北郧县[18]、 安徽马鞍山[18]和陕西安康[18]。
| 表3 不同产地绿松石中微量元素组成(ppm) Table 3 Trace element composition of turquoises from different mines (ppm) |
新疆哈密绿松石围岩同样为为寒武系硅质岩, 该地绿松石矿体位于氧化淋滤带, 基于其地球化学背景, 岩石中Cr, V和Ti元素含量偏高[19], 为新疆哈密绿松石中的Cr, V和Ti提供来源(如表3)。 特别需要关注的一点是, 新疆哈密绿松石中大量含有的铬很少被前人关注和研究。 但是事实上, 铬元素在矿物中常有强致色作用。
扫描电子显微镜(SEM)被用来观察新疆哈密绿松石四个样品的显微结构与形貌特征, 如图3所示, A1— A4为样品HM-T1在不同放大倍数下的表面形貌图, B1— B4属于样品HM-T2, C1— C4属于样品HM-T3, 而样品HM-T4的图为D1— D4。 由图可知, 样品HM-T1在1 000倍下(图3 A1)矿物颗粒分布不均匀, 表面凹凸感强, 放大后结构更加明显, 有少许长柱状矿物、 大部分为似针状状结构(图3 A4); 样品HM-T2结构紧密, 孔隙较少(图3 B1), 可见绿松石微晶大小不等呈粒状分布, 晶形不清晰, 部分能模糊见柱状晶形, 排列杂乱无章, 表面局部孔隙中可见绿松石呈短片状堆积产出(图3 B4); 样品HM-T3结构疏松, 微孔隙度大, 表面有明显凹凸感(图3 C1), 微晶晶形为结晶完好的柱状结构, 杂乱排列(图3 C4); 样品HM-T4结构较疏松(图3 D1), 可见大量绿松石微晶呈板状晶形生长, 呈鳞片状叠在一起, 微晶的棱角和棱线分明, 界限清晰, 微晶间连接疏松, 微孔隙度大(图3 D4)。 上述四个绿松石样品的表面形貌表明新疆哈密绿松石整体结构细腻, 以0.2~3 μ m的粒状、 针状、 柱状、 板状和鳞片状的微晶形成集合体, 其中微晶的结晶程度较高, 晶形完整, 可见三斜晶系的绿松石晶体特点(图3 C4)。
图4(a)和(b)分别为400~1 200 cm-1及1 500~4 000 cm-1范围内新疆哈密绿松石样品红外吸收光谱图。 对图4中各峰位进行了归属指派, 见表4。 所测得数据均在绿松石标准红外光谱数据的范围内。 同时, 表4中也列出文献中报导的其他不同产地绿松石的红外光谱数据[13, 16, 17, 20, 21]。
| 表4 不同产地绿松石的红外光谱对比表(cm-1) Table 4 Comparison of the IR spectra of turquoises from different mines (cm-1) |
据群论分析, 绿松石结构中各含有两种截然不同的PO4基团和H2O基团, 以及四种羟基(OH)基团, 而这些基团有着各自的振动特点, 故绿松石的红外振动光谱特征由结构中的羟基、 水及磷酸根基团的振动特征决定[22]。 由数据可知, 新疆哈密绿松石四个样品HM-T1, HM-T2, HM-T3和HM-T4的红外吸收光谱基本一致。 其中, 磷酸根基团(P
新疆哈密绿松石中的水以三种形式存在: 结构水, 结晶水和吸附水。 由结构水Al3+— OH伸缩振动所致较尖锐的谱带位于3 513和3 458 cm-1处[6, 21], 3 281和3 073 cm-1处为结晶水的伸缩振动所致较舒缓的谱带, 结晶水和结构水的弯曲振动位于837 cm-1。 表4中给出了不同产地绿松石的红外光谱, 其特征峰值位置基本一致, 目前无法根据红外光谱对绿松石的产地进行鉴别。
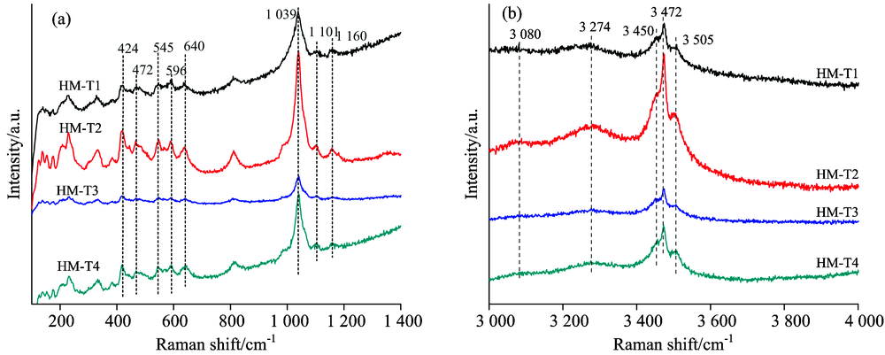
新疆哈密绿松石激光拉曼光谱, 如图5所示。 对各峰位进行归属指派并与其他产地结果进行对比[23], 拉曼光谱数据见表5。
| 表5 不同产地绿松石的拉曼光谱对比表(cm-1) Table 5 Comparison of the Raman spectra of turquoise from different mines (cm-1) |
天然绿松石的拉曼光谱特征由结构中的羟基、 水及磷酸根基团的振动特征决定[22]。 由图5可知, 新疆哈密绿松石四个样品HM-T1, HM-T2, HM-T3和HM-T4的拉曼光谱基本一致。 其中, 图5(a)为磷酸根基团振动所致的激光拉曼光谱, P
新疆哈密绿松石样品紫外-可见光谱如图6。 将绿松石颜色分为蓝色、 绿色、 杂色三大类, 在三类之间存在着许多过渡色。 铜的存在决定着绿松石天蓝色的基调[16], 这一点不仅可以从上述成分分析获知, 还可以结合紫外-可见吸收光谱来解释。 绿松石Cu2+离子晶体场谱中最强的吸收带位于670 nm附近。 它的作用就是在可见区吸收掉光的红色成分, 使得绿松石呈其互补色天蓝色。 图6中位于600~700 nm间的宽吸收带, 主要为Cu2+的晶体场d— d禁戒跃迁所致。 新疆哈密绿松石样品HM-T1— HM-T4的颜色从绿到蓝色调的转变, 使600~700 nm间的吸收带有增强的趋势, 表明Cu2+对绿松石样品的蓝色贡献增大。
此外, 图6中位于430 nm处的吸收峰是由Fe3+的d— d禁戒跃迁所致[24], 这些Fe3+取代了绿松石晶体结构中Al3+。 黄绿色样品HM-T1的紫外-可见吸收光谱中位于430 nm处的吸收峰强度明显高于蓝色样品HM-T4, 这可能与该绿松石样品中Fe2O3/CuO的含量比值偏高有关(见表1), 这与上述对Cu2+的分析对应一致。
(1)XRD分析说明, 新疆哈密绿松石样品由较纯净的绿松石组成。 成分分析表明该地绿松石中CuO, Al2O3和P2O5的质量分数均略小于理论值, w(Al2O3)在32%~36%之间, w(P2O5)在29%~33%之间, w(CuO)在7%~9%之间。 而且, 该地绿松石的颜色与Fe2O3/CuO的比值有一定关系, 比值越小, 绿松石蓝色调越明显。 微量元素分析表明, 该地绿松石含有大量Cr (1 617 ppm)和V (435 ppm), 以富Ti (428 ppm), 贫Ba (99.9 ppm)为产地特征。
(2) 新疆哈密天然绿松石为细腻的隐晶质结构, 在扫描电镜下, 可清晰观察到绿松石的表面形貌, 其微晶以0.2~3 μ m的粒状、 针状、 长柱状、 板状和鳞片状形成集合体。
(3) 新疆哈密绿松石的红外吸收光谱由绿松石中的P
(4) 新疆哈密绿松石的拉曼光谱中, P
(5) 新疆哈密绿松石的紫外-可见吸收光谱表明, 600~700 nm间的宽吸收带由Cu2+的晶体场d— d禁戒跃迁引起, 位于430 nm处的吸收峰是由Fe3+的d— d禁戒跃迁所致。 这两大吸收峰与绿松石的蓝绿色调密切相关, 进一步验证上述新疆哈密绿松石成分中Fe2O3/CuO的比值越小, 蓝色调越明显的结论。
The authors have declared that no competing interests exist.
| [1] |
|
| [2] |
|
| [3] |
|
| [4] |
|
| [5] |
|
| [6] |
|
| [7] |
|
| [8] |
|
| [9] |
|
| [10] |
|
| [11] |
|
| [12] |
|
| [13] |
|
| [14] |
|
| [15] |
|
| [16] |
|
| [17] |
|
| [18] |
|
| [19] |
|
| [20] |
|
| [21] |
|
| [22] |
|
| [23] |
|
| [24] |
|

