作者简介: 李梦梦, 女, 1993年生, 中国矿业大学(北京)地球科学与测绘工程学院研究生 e-mail: dream_0705@sina.com
如何及时准确探测天然气地下储存库或管道出现的微泄漏点目前尚是一个难题。 通过野外可控系统模拟天然气微泄漏实验, 研究天然气微泄漏对地表植被的影响及遥感特征变化, 从而间接探测天然气微泄漏点。 实验以草地与大豆为研究对象, 测量了胁迫区与对照区植被的冠层光谱, 进行奇异值剔除和平滑处理, 对一阶微分处理后的植被冠层光谱再进行连续小波变换分析, 发现对照组与胁迫组植被冠层光谱小波能量系数在685和715 nm处差异较大, 且规律稳定, 用其构建归一化指数( DW685- DW715) /( DW685+ DW715)(DW), 并与PRI, NPCI, NDVI, D725 /D702指数进行对比分析, 经J-M距离检验, 结果表明归一化指数DW在识别天然气微泄漏胁迫下的草地和大豆具有较好的识别效果, 且比PRI, NPCI, NDVI, D725 /D702指数具有更好的普适性与稳健性。 该结果表明, 通过高光谱技术间接检测天然气微泄漏点具有可行性, 为以后的工程应用提供技术支持和理论基础。
It is a challenge to timely detecte microleakage of natural gas which is stored in underground repository or pipeline. The response and other remote sensing characteristics of stressed vegetation were used to indirectly detect the microleakage point of natural gas via controlled experiments in the field. In detail, the canopy reflectance of stressed area and control area of soybean and grassland were measured respectively. Singular values were removed and spectrum was smoothed, then spectra of the canopy reflectance was analyzed using the method of continuous wavelet based on first-derivative, which showed that wavelet energy coefficients of stressed and control canopy reflectance at 685 and 715 nm were good features to separate the stressed and control groups. ( DW685- DW715) /( DW685+ DW715) ( DW) was designed in this paper using 685 and 715 nm and compared to PRI, NPCI, NDVI, and D725 /D702, which showed that better performance, universality and robustness were possessed by DW in identifying the stressed grassland and soybean. The results showed that it is feasible to indirectly detect natural gas microleakage points through hyperspectral technology, which can provide technical support and theoretical basis for future engineering applications.
近年我国天然气消费量逐年快速增加, 2000年消费量为245亿m3, 而2010年则达到1 075亿m3, 年均增长15.9%, 2015 年全国天然气表观消费量1 931亿
近年有一些学者尝试利用高光谱遥感监测植被胁迫症状而间接检测天然气管道微泄漏。 Smith等利用725与702 nm一阶微分比值指数识别天然气胁迫下的草地、 小麦和大豆[7]; Noomen等研究了盆栽玉米在天然气、 甲烷、 乙烷泄漏胁迫下蓝、 红及水汽吸收波段的光谱特征, 发现波段深度(band depth, BD)指数能够识别不同气体泄漏胁迫下的玉米[8]。 地表植被在天然气泄漏胁迫下其光谱特征会发生变化。
光谱曲线进行连续小波变换(CWT)之后得到的小波系数可以提供更多光谱吸收特征的位置信息[9], 小波分析已被运用到树种识别[10]、 食品安全监测[11]、 植被理化参数反演[12, 13]等方面。 蒋金豹等通过HAAR小波变换, 用系数能量总和来监测地下存储CO2泄漏[14]; Liu等用Db5小波基函数对水稻的350~1 300 nm波段进行小波分形分析, 可以成功检测重金属污染程度[15]。 本工作拟利用连续小波分析技术, 对天然气胁迫下的草地和大豆进行光谱分析, 为构建监测地下储存天然气或管道微泄漏点模型提供理论依据。
实验场位于北京市大兴区(N: 39° 39'2.56″, E: 116° 34'33.10″), 长40 m, 宽20 m。 在实验场分别设计8个草地、 大豆实验小区, 各有四个天然气胁迫区和对照区, 实验时间为2016年7月— 10月。 实验小区大小为2.5 m× 2.5 m, 各小区间隔为0.5 m, 天然气泄漏点位于中心位置, 泄漏速率为1 L· min-1, 于8月29日持续泄漏至10月17日实验结束。
冠层数据测量仪器为SVC HR-1024i 光谱仪, 其光谱范围为350~2 500 nm, 共1 024个波段, 光纤视场角为25° 。 选择天气晴朗时进行野外实地采集, 时间为北京时间10:00— 14:00, 第一次数据采集日期为2016年8月26日。 每个测区沿着东西轴线均匀布设4个测量点, 在每个小区测量光谱之前用标准板校正光谱仪, 垂直测量距离为1 m。 冠层数据采用5点平滑法进行平滑处理[9], 如式(1)
式(1)中, Ri为第i波段的反射率值, R平滑为每个波段平滑后的反射率值。
1.3.1 一阶微分处理
植被光谱一阶微分处理可以有效消除或减弱土壤背景的影响, 突出植被光谱曲线上相关的生化方面的细微变化, 更有利于反映植被差异特征[16]。
式(2)中, f(Ri)为第i波段的光谱反射率, 为f'(Ri)波长的一阶微分值, Δ R为Ri+1到Ri的间隔。
1.3.2 连续小波变换处理
连续小波变换(CWT)处理光谱曲线后可以增强光谱吸收特征信息, 通过一个小波基函数将光谱曲线在不同尺度上转换成对应的小波系数, 如式(3)和式(4)[9]
式(3)和式(4)中, f(t)为光谱反射率数据; t为光谱波段; φ a, b(t)为小波基函数; a为尺度因子, b为平移因子。
1.3.3 J-M距离
J-M距离具有收敛性, 其判别标准如下, 通常用
式(6)中, σ i和σ j为相应的矩阵样本协方差; μ i和μ j分别为类别i和j的样本平均向量。
根据前人研究结果, 选择了部分植被指数并与本研究设计的指数进行对比分析。
| 表1 高光谱指数 Table 1 Hyperspectral indices |
草地在天然气泄漏胁迫11天后, 可见光范围内(380~760 nm)反射率差异较小, 近红外范围内(760~900 nm)反射率降低。 从图2可以看出, 随着胁迫持续, 可见光范围内反射率逐渐增大, 近红外范围内反射率降低, 但胁迫组和对照组的差距在减小。 大豆在受天然气泄漏胁迫11天后可见光范围内反射率没有变化, 近红外范围内反射率稍微减小, 随胁迫持续进行, 可见光范围内反射率仍没有显著差异, 而近红外范围内差异在增大。 天然气泄漏胁迫使草地和大豆的光谱曲线发生了变化, 但是不同植被的光谱曲线变化具有差异性。
从图2中可以看出, 胁迫第22天时, 冠层光谱一阶微分处理后, 草地胁迫组出现轻微的红边蓝移现象, 红边蓝移达9 nm, 但是大豆的胁迫组并未出现明显的红边蓝移现象。 在整个生育期都具有上述规律。
选择的小波基函数为Bior1.3(双正交样条), 分解尺度为21, 22, 23, 24, 25, 26共六个尺度, 用Matlab R2014a软件对草地和大豆冠层光谱数据进行一阶微分和CWT处理, 将每条处理后的光谱曲线分解成上述尺度小波系数。 分解尺度小, 包含的细微信息多, 则不利于敏感波段选择; 分解尺度大, 包含的细微信息少, 信息量损失较多, 同样不利于选择敏感波段。 因此通过分析不同尺度的小波系数图发现在700~770 nm内, 尺度22和23有多处峰值和谷值, 表明在不同波段位置对照组和实验组具有差异性, 且变化剧烈, 稳定性较差; 尺度24和25有较少的峰值和谷值, 尺度25曲线过于平滑, 信息损失量过大, 因此选择尺度24进行敏感波段分析, 如图3所示。 对照组与实验组的一阶小波能量系数进行差值分析, 从图3中可见, 草地对照组与实验组在685, 718和745 nm附近差异较大; 大豆对照组与实验组在685, 700, 715, 745和765 nm处有较大差异, 综合草地和大豆的多期实测数据分析, 发现685和715 nm处的差值规律具有一定的稳定性, 因此选择685和715 nm作为敏感波段来检测天然气泄漏胁迫下的草地和大豆, 从而构建DW指数: (DW685-DW715)/(DW685+DW715)。
| 图2 9月30日草地(a)和大豆(b)冠层光谱反射率, 9月19日草地(c)和大豆(d)一阶微分数据Fig.2 The spectral reflectance of grass (a) on Sept. 30 and soybean (b) and derivative of grass (c) and soybean (d) on Sept. 19 |
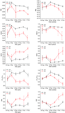
设计归一化指数DW与PRI, NDVI, NPCI, D725/D702等四个指数进行定性与定量地比较分析, 并用JM距离定量地比较对照组与实验组之间的可分性。
从表2中可见, 草地PRI, NDVI和NPCI从胁迫第33天开始, 对照组与实验组之间的J-M距离大于1.8, 而构建的DW指数与D725/D702从胁迫第22天开始就可以稳定地识别天然气胁迫下的草地。 大豆PRI, NDVI, NPCI和D725/D702在整个实验期内J-M距离都小于1.8, 而DW指数从胁迫第22天开始就可以很好地识别天然气胁迫下的大豆, 且D725/D702指数并不具备识别大豆的能力, 因此DW指数更具有普适性。 PRI, NDVI, NPCI和D725/D702指数在胁迫33天后均能够识别天然气泄漏胁迫下的草地, 而无法识别胁迫大豆, 说明草地对天然气泄漏胁迫的敏感性高于大豆。
PRI, NDVI, NPCI和D725/D702指数不能同时识别天然气胁迫下的草地和大豆, 对不同植被缺乏稳定性, 而DW指数可以稳定地识别天然气胁迫下的草地和大豆, 具有一定的普适性。
| 图4 实验组和对照组不同高光谱指数对比图Fig.4 Different hyperspectral indices comparative diagram between stressed and control |
| 表2 草地和大豆不同高光谱指数J-M距离 Table 2 J-M distances of grass and soybean for different hyperspectral indices |
通过野外模拟天然气地下储气库或管道微泄漏对地表植被的胁迫实验, 分析植被光谱变化特征, 构建微泄漏点识别模型, 主要得出以下结论:
(1) 天然气微泄漏胁迫下的草地与大豆冠层光谱与对照组相比, 在可见光区域变化不一致, 但在近红外区域都降低了。
(2) 在一阶微分处理基础上对光谱进行连续小波变换, 通过小波能量系数发现685和715 nm是区分对照组与胁迫组的敏感波段。
(3) 通过J-M距离检验, 结果表明DW指数在天然气微泄漏胁迫发生22天后, 可以稳健地区分健康与胁迫的草地与大豆, 而PRI, NDVI, NPCI, D725/D702指数仅能够在胁迫33天后识别健康与胁迫草地, 则在整个生育期无法准确地识别健康与胁迫大豆。
DW指数既可以早于其他指数识别天然气微泄漏下胁迫下的植被, 又能够同时识别胁迫草地与大豆, 具有一定的普适性与鲁棒性。 因此利用高光谱通过植被的光谱曲线变化来检测天然气泄漏点的方法有可行性; 但本实验仅选择两种植被, 还需通过更多植被来进行检验与验证。
The authors have declared that no competing interests exist.
| [1] |
|
| [2] |
|
| [3] |
|
| [4] |
|
| [5] |
|
| [6] |
|
| [7] |
|
| [8] |
|
| [9] |
|
| [10] |
|
| [11] |
|
| [12] |
|
| [13] |
|
| [14] |
|
| [15] |
|
| [16] |
|
| [17] |
|
| [18] |
|
| [19] |
|

