作者简介: 张 维, 1991年生, 沈阳航空航天大学航空航天工程学院硕士研究生 e-mail:825654117@qq.com
大气压下介质阻挡放电应用领域具有多范畴、 深广度、 常态化等优势, 针对同轴电极放电试验进行了系列参数诊断。 采用自主研发的介质阻挡放电助燃激励器, 在一个标准大气压、 放电频率11.4 kHz、 放电峰值电压5.4~13.4 kV(间隔1.0 kV)条件下进行了氩气电离试验。 采用原子发射光谱法(AES)对氩等离子体谱线的激发、 分光进行了检测分析; 选用二谱线法及Boltzmann法测试了电子激励温度; 根据Stark展宽效应计算了电子密度; 获得了电子激励温度及电子密度随放电峰值电压增长的变化规律。 结果表明, 在试验电压条件下电子激励温度并不随外加电压的升高而递增, 这表明通道内微放电的主要特征并不依赖于外部电压的供给, 而是取决于气体组份、 气体压强和放电模型, 增大外加放电电压仅增加单位时间内微放电的数量, 经整合电子激励温度可达3 500 K符合典型的低温等离子体特征; 电子密度随外加电压的增长而趋于准线性趋势, 电子密度数量级可达到108~109 cm-3, 电离度偏弱。 这些参数的探索对等离子体研讨有重大意义。
Dielectric barrier discharge (DBD) at atmospheric pressure has many advantages such as multi-category, depth and breadth, normality, etc. In this paper, a series of parameter diagnoses for the coaxial electrode discharge test were carried out. Argon ionization experiments were carried out under the conditions of 11.4 kHz discharge frequency and 5.4~13.4 kV (interval 1 kV) discharge peak voltage by using self-developed DBD combustion actuator at standard atmospheric pressure. Atomic emission spectrometry (AES) was employed to test and analyze argon plasma excitation and spectroscopy; two-line method and Boltzmannmethod were employed to test electron excitation temperature; electronic density was calculated according to Stark broaden law; the variations in electron excitation temperature and electron density with the increase of the peak discharge voltage were obtained. The results showed that the electron excitation temperature does not monotonically increase with the increase of applied voltage, which indicates the main characteristics of the micro-discharge are not dependent on the external voltage strength, but on the gas composition, gas pressure and discharge model; Increasing discharge power could only increase micro-discharge number; the maximum electron excitation temperature is up to 3 500 K; the electron density which achieves 108~109 cm3 tends to be a quasi linear trend with the increase of applied voltage. The degree of ionization is weak. The exploration of these parameters is of great significance to the study of plasma.
在大气中介质阻挡放电(DBD)由于具备结构简单、 成本低廉、 操作简便等特点, 已成为一种重要的低温等离子体技术, 被广泛应用于污染物净化[1, 2, 3]、 食品消毒灭菌[4]、 飞行器隐身[5]、 强化燃烧等领域。 宋振兴等[6]探究了介质阻挡放电下电压幅值、 氩气体积百分比、 气体流量对电子激励温度影响的规律; Kim等[7]进行了DBD放电稳定火焰的实验研究, 采用氮分子第二正带系发射光谱与模拟光谱拟合测得了气体温度; 董丽芳等[8]对介质阻挡放电双层放电气隙放电丝的光谱特性进行了研究; Lu等[9]借助于非平衡等离子体较低的点火温度来提高HCCI发动机的效率, 降低污染物的排放。
等离子体基本参量(电子温度、 电子密度、 活性基种类及浓度等)的诊断是等离子体研究的重要课题。 这些参量不仅能够直接反映等离子体形成过程的时空多尺度结构及空间效应[10, 11], 而且可以为发动机助燃激励、 助燃激励器设计等领域提供理论依据。 目前, 等离子体诊断所采用的主要方法有Langmiur探针法、 原子发射光谱法、 原子荧光光谱法、 X射线荧光光谱法、 核磁共振波谱法, 等等。 其中, 发射光谱法凭借探测器的技术采集手段具有无可媲美的优势, 可以有效诊断多空间尺度、 广匀称度以及不同流动状态的等离子体。 研究中采用自主研发的DBD激励器, 以原子发射光谱法为手段对Ar原子放电的Te及Ne进行诊断研究。
采用实验装置如图1所示。 其中, 等离子体发生器采用课题组自主设计的同轴电极介质阻挡放电(DBD)装置, 其中心电极的材质为紫铜, 直径为20 mm、 长度150 mm, 外电极采用铜网形状连接高压接线端, 绝缘层选用石英玻璃, 其直径为30 mm、 长度200 mm, 放电间隙为3 mm; 南京苏曼公司产CPT-2000K型低温等离子体电源为电极供电, 放电电流电阻采样阻值为50 Ω , 电压、 电流及放电频率等参数均由Tektronix-TDS1002型数字示波器记录; 氩气(浓度为99.99%)由氩气瓶供给; 采用AvaSpec-ULS2048-4-USB2SZ型光纤光谱仪捕摄光谱信息, 经计算机储存及记录。
研究所采用的激励器在大气压下放电的空间尺度远远超出帕邢定律的最佳放电Pd值1 Torr· cm, 因此需要较高的放电电压才能形成宏观的击穿放电现象。 实验前, 使用汞灯对光谱仪的波长分辨率和波长精度进行标定, 并使用钨灯对光谱仪的光谱相对响应进行标定, 用经标定好的光谱仪在石英观测窗口采集并记录系列Ar等离子体谱线。 实验中, 将放电频率控制在11.4 kHz, 初始放电电压值在5 kV与氩气气隙击穿电压经验公式计算结果相符, 在回路额定电压范围内以间隔为1.0 kV的梯度依次递增放电电压直至13.4 kV。
1.2.1 电子温度诊断方法
等离子体电子温度诊断的方法包括二谱线法、 多谱线斜率法、 Boltzmann法等, 本研究采纳Boltzmann法计算电子温度。 Boltzmann法以最小二乘法的误差拟合为基准对回归模型进行参数估量与辨识, 因其数据点的全面性和广泛性, 可以获取可靠的线性预测从而减少计算误差、 提高模型精度, 是目前等离子体电子温度测量技术中最为遍及的光谱判别方法。
由原子发射光谱原理知, 在局域热平衡模型下关系式见式(1)
式(1)中, I为谱线的相对强度, λ 为光谱对应波长, gk为谱线的上能级统计权重, Aki为自发辐射跃迁速率系数(爱因斯坦系数), Ek为上能级能量, k为Boltzmann常数, 且k=8.617 34× 10-5 eV· K-1, Te为等离子体电子温度, C为常数。 式(1)表示ln
1.2.2 电子密度计算方法
本研究经过Stark展宽规则来诊断Ar等离子体电子密度。 Stark展宽即在激发区域内高速电子与低速离子形成电场, 使线型谱线加宽。 数据处理以Stark展宽机理为依据对ArⅠ 696.54 nm的谱线进行电子密度诊断。 式(2)整理了Stark展宽与电子密度的关系式, 根据已求解电子温度计算出对应的电子密度。
式(2)中: α 为离子碰撞参数, ω 为电子碰撞半宽
在同轴放电过程中忽略边缘影响, 外加电压在气隙空间的电场强度表达式为
式(3)中, ξ g为Ar介电常数, ξ d为石英玻璃介电常数, R1, R2, R3分别为内电极半径、 石英层内外半径, r为放电间隙与同轴电极轴心之间的距离。 代入几何模型数据及峰值电压, 计算放电气隙距轴心距离为1.0, 1.1, 1.2和1.3 cm四个分析点的电场强度如图3所示。 结果显示外加电压在微放电通道中产生的外电场与电压呈线性增长关系; 随着放电间隙距轴心距离的增大, 外电场强度减小且增长趋势变缓, 而这种电场强弱分布直接影响着电子、 离子及自由基的分布与运动路径。
选取放电峰值电压为5.4 kV、 放电频率为11.4 kHz条件下的Ar等离子体的特征光谱信息如图4所示, 图4(a)所示为Ar等离子体的特征谱线分布区间, 图4(b)所示为在特定积分时间内谱线强度的相对数值。 如图所示, Ar等离子体谱线的波长范围在680~800 nm之间, 当波长在696.54 nm时谱线强度值最大, 此时称ArⅠ 696.54为中心波(灵敏线)。 依据光谱谱线的波长确定Ar等离子体中对应激发态的能级分布(2P1, 2P2, 2P3, 2P5, 2P6, 2P7); 依据谱线的特定波长和波峰相对强度来计算电子温度。
| 图3 放电间隙内电场随外加电压的变化关系Fig.3 The relationship between electric field intensity and applied voltage in discharge gap |
以实验所标定的电压为参数绘制特征光谱谱线图如图5所示, 图5能够直观的反映放电电压对谱线分布及强度的影响。 如图5所示, 随着放电电压的增强, 谱线强度先逐渐增强、 随后有所减缓保持稳定; 9组放电电压的谱线分布规律及波长范围趋于一致。 因物质从激发态退激到基态释放出光子的数量体现了谱线的强弱, 在一定范围内随着放电电压的增大Ar等离子体谱线增强, 进一步增大电压介质层被完全击穿放电通道电流减弱, 电子形成的反向场强等均会导致谱线强度的减弱。
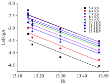
综合上述处理方法以及实验数据的分析, 采用Boltzmann法分析并计算Ar等离子体的电子激励温度。 为降低实验误差, 选取的谱线能级差要求尽可能大。 依据选择谱线原则, 拟定选取最大与最小能级的谱线13.48和13.15 eV各一条, 挑选中心能级的两条谱线分别为13.17和13.3 eV共四条谱线, 拟选择的谱线具备整体性、 可靠的拟合性、 低误差等特征。 所选谱线具体特性参数为706.72 nm(2p3→ 1s5), 750.38 nm(2p1→ 1s2), 763.51 nm(2p6→ 1s5), 772.37 nm(2p7→ 1s5)Ar等离子体谱线, 对其拟合得到Boltzmann曲线如图6所示。 Ar等离子体谱线对应的数据点都均匀分布在Boltzmann线的两侧, 一元线性拟合程度较高; 随着电压的升高, 拟合直线趋于向上偏移趋势。
大气压下放电频率为11.4 kHz, 放电峰值电压由5.4 kV增长到13.4 kV(间隔1 kV)共9个档次, 以拟合直线斜率为基础, 经Boltzmann关系式整理最终得到放电峰值电压与电子激励温度二者之间的定量关系如图7所示。 等离子体迸发高速电子与中性原子产生非弹性碰撞, 将试样原子激发到各个能级, 且不同激励能级的粒子布居数代表着等离子体电子能量分布(电子激发温度)。 由图7可知, 当击穿电压位于5.4~9.4 kV之间时, 随着外加电压增长电子激励温度呈上升趋势, 大气压介质阻挡放电中, 一定区间内随着峰值电压的增大放电功率增加、 且放电做功主要耦合给电子, 因此电子平均能量增加(即电子激励温度升高); 在外加电压分别为10.4和12.4 kV两个工况下, 电子激励温度呈现谷值, 这表明随着外加电压增大, 微放电通道内高速电子向高压电极移动并附着在介质层上形成反向内部场强, 此时内部反向场强减弱、 并抵消外部场强, 致使电子平均能量损耗, 电子激励温度降低。 综上所述, 对常用放电频率下的介质阻挡放电, 随着外加电压的增大电子激励温度不总是呈现增长趋势, 这一结果与等离子体电子温度仅依赖于放电气压、 几何模型尺度以及电离气体等因素、 而与放电功率及外加电压无直接关系的结论相吻合。
| 图7 在11.4 kHz下电子激励温度与峰值电压关系2.4 电子密度的诊断Fig.7 Relationship between electron excitation temperature and discharge peak voltage under 11.4 kHz |
Ar等离子体谱线的轮廓蕴含着丰富的信息, 其中Stark展宽机理作为重要的信息源为计算电子密度提供依据。 应用Maple工程计算软件经过solve的计算指令最终整合数据得到电子密度与外加电压的对应关系如图8所示。 由图可知, 电子密度与外加电压基本呈准线性关系增长。 这是因为峰值电压增加, 微放电通道场强增大, 气体间隙间电流脉冲(电荷的输运)加快, 高速运动电子与中性粒子或原子发生碰撞形成电子雪崩致使电子数密度增加。 大气压介质阻挡放电在已设定的参数条件下电子密度数较低且保持在108~109 cm-3量级。 造成这一现象的主要因素为本实验条件下帕邢定律中Pd值过大导致放电困难, 电离度较低约为0.1%, 氩气仅部分电离形成低温等离子体。
以自主研发的DBD装置进行大气压下氩气电离, 采用局域热平衡模型, 分析了等离子体的电子激励温度及电子密度。 主要结论如下:
(1)微放电通道内电子激励温度并不随着外加电压的升高而递增, 其电子激发温度并不取决于外加电源通路, 而是依赖于气体压强、 放电几何模型以及放电种类, 增大外部电压尺度只增加放电间隙内电荷的数量;
(2)在外界因素作用下, DBD中电子密度取决于内部通道的电离度、 离解度及复合程度, 电子密度随外界电压的增大而呈现准线性的增长趋势, 这一结果可以为提高电子数量提供可行路径。
The authors have declared that no competing interests exist.
| [1] |
|
| [2] |
|
| [3] |
|
| [4] |
|
| [5] |
|
| [6] |
|
| [7] |
|
| [8] |
|
| [9] |
|
| [10] |
|
| [11] |
|

