作者简介: 梁 静, 女, 1976年生, 大连工业大学信息科学与工程学院讲师 e-mail: ljlove426@163.com
截止目前, 多国相关颜色科学工作者已累计提出了40多个色差公式, 但是目前所有的色差公式的相关使用, 都只能限定在CIE给定的观测条件。 固态照明作为近些年光源研究的重点方向, 相关的研究如基于LED照明条件的色差研究仍未展开。 该研究遵循CIE的色差研究指导原则, 首先选取CIE推荐的17种颜色中心中的五种颜色, 制成实验色块样张, 分别以U30, TL84和D65光源为参考光源, 以LED灯泡为实验光源。 选用CIE1976LUV色差公式、 CIE1976LAB色差公式、 CIEDE2000色差公式分别对打印色块进行理论色差值的计算。 然后采用20名观察者, 通过心理物理学的视觉评价实验对打印色样进行主观色差评价, 最后通过标准化残差平方和(STRESS)将客观计算值与主观评价数据进行对比分析。 发现实验中选用的三种色差公式在LED照明条件下的色差预测性能均不是很理想。 相比而言, 在LED照明条件下, CIE1976LUV公式的预测性能相对要好, CIEDE2000公式次之, CIE1976LAB公式最差。
Until now, multinational related color scientists have accumulated more than 40 color formula, but the current use of all the color difference formula can only be limited to the given observation conditions in the CIE. Solid-state lighting as the focus of recent years, the focus of research, related research, such as related research based on LED lighting conditions has not started yet. So in this experiment, following the CIE color of the guiding principle of the study, we first selected CIE recommended 17 color centers in the five colors, which were made of experimental color proofs, followed by U30, TL84, D65 standard light source was set as the reference light source, To LED light bulb as experimental light source. The CIE1976LUV color difference formula, CIE1976LAB color difference formula and CIEDE2000 color difference formula were used to calculate the color difference of the printed patches respectively. Then, 20 visual observers were used to evaluate the subjective color difference of the printed patches by the visual evaluation experiment based on psychophysics. Finally, the objective calculation residual value (STRESS) is used to compare the objective calculation value with the subjective evaluation data. Found in this test selected three color formula in the LED lighting conditions, the color prediction performance is not very satisfactory. Overall, in the LED lighting conditions, CIE1976LUV formula predictive performance is relatively better, followed by CIEDE2000 formula, CIE1976LAB formula the third.
色差, 是指用数值定量地表达人眼对不同颜色对之间颜色感知差异的值[1]。 色差作为工业生产中质量控制的重要因素之一, 备受人们关注。 例如, 人们都希望同样的设备驱动参数(如CMYK值), 可以在不同的设备上得到足够相同的输出。 这种用定量的指标来评价颜色对的不同、 用以表达颜色对之间差异的量化模型称之为色差公式。 评价一个色差公式好坏的唯一的标准即是其计算结果和人眼感知的匹配程度[2]。 McAdam在其文章中指出, 人眼对于色度图中不同颜色的宽容度不同[3]。 为了解决这个问题, 一些基于特定颜色空间的色差公式逐步运用于颜色相关的工业中, 如CIE1976LAB, CMC(l:c), CIE94, 和CIEDE2000等[2, 4, 5], 但这些色差公式仅对特定观测条件下的观察者的人眼预测的平均结果有较好的色差预测性能, 而且都只能限定在CIE给定的观测条件下, 如一般选用D65、 D50等标准照明体, 参考观察照度条件1 000 lx。
目前照明产品的种类越来越丰富, 如固态照明等。 固态照明出现之前, 有色差的要求的照明产品只有传统照明光源中的荧光灯类产品(包括节能灯)[6]。 对于其他传统光源, 由于相关的规定中没有性能标准, 一直都没有色差要求, 所以更没有像传统荧光灯类的色差要求[7]。
发光二极管(light-emitting diode, LED), 是一种半导体固态发光器件, LED是从发光机制上就与其他照明光源不同光源。 其发光方向性强, 调光性能好, 色温变化时产生的视觉误差较小; 发热量低, 直接触摸时无不适反应; LED为固态照明产品, 抗震、 抗冲击, 且与其他种类照明产品相比, 没有红外和紫外射线成分, 没有额外辐射污染, 废弃物可回收; 响应时间非常快等等[8]。 随着固态照明技术的不断进步, LED照明产品在照明领域应用将会越来越普遍, 故基于LED照明品质中的相关色差研究也急需开展。
本研究的目的是在LED照明条件下对现有的典型色差公式的色差预测性能进行评价, 检验色差公式对相关数据集的预测性能是否仍比较理想, 为颜色视觉辨别特性及色差评价方法的探索积累初始数据。 为此, 开展了两个实验。 实验一中, 采用D65光源作为参照光源, LED光源调节出6组相关色温, 依次是3 057, 3 444, 3 999, 4 545, 5 026和5 950 K, 分别对两组照明条件下的标准色样色块进行色差计算及主观评价实验; 实验二中, 采用相近色温的标准光源TL83/U30, TL84作为参照光源, 将LED光源分别调至3 057和3 999 K, 然后再对两组对比色块进行色差计算及主观评价实验。 具体实验方法及过程如1.1节所述。
依据CIE提出的色差评价研究的指导原则[9], 实验选取了CIE1995年推荐的17个颜色中心的五种[1]。 所选取的颜色中心色样如图1所示。 通过爱普生EPSON stylus photo 1390原墨喷墨打印机打印在雄冠防水级高光写真相纸(200 g· m-2)上, 每个色样的尺寸规格为30 mm× 30 mm, 每个色样周围预留2 mm白边。 其中绿色色样实际制作效果如图2所示。
实验采用爱色丽SpectroEye CH-8105分光光度计以10 nm波长为间隔, 在45° /0° 几何条件下对色样进行测量, 得到光谱反射率, 然后通过光谱反射率计算该色块的三刺激值, 且获取计算得到实验颜色色样的L* , a* , b* 数值。 为使测量数据更加准确, 在每个色样上随机进行多次测量, 对这些测量结果取算数平均值。 最终数据结果如表1所示。
| 表1 实验色样L* , a* , b* 数值 Table 1 Experiment color samples L* , a* , b* value |
1.3.1 主观评价的环境要求
(1)照明条件: 实验采用常州锐品精密仪器的TILO标准灯箱, 分别选用TL83/U30、 TL84、 D65光源为参照光源, 选用OMI-FP9A智能LED作为实验光源。 实验所有光源, 照度均值为1 967 lx, 并使观察面的照度尽可能的均匀。 实验中光源各项参数如表2所示。
| 表2 实验中光源参数 Table 2 Parameters of the light source in the experiment |
实验所用的LED光谱能量分布如图3所示。
(2)观测条件: 观察反射颜色样品时, 光源应从颜色样品表面法线方向照射, 从与样品表面水平方向成45° 夹角处观察颜色样品的漫反射光, 即对应于0° /45° 照明观察条件。 观察反射颜色样品时的背景应是对实验无影响的中性灰颜色。
(3)样品间隔: 两个标准色样, 分别放置于两个紧挨着的灯箱中, 使用遮挡物隔开两个灯箱, 杜绝两个灯箱中的光源彼此互相干扰。 灯箱一边放置实验光源, 另一边放置标准光源为参考光源。
(4)环境因素: 实验时, 为避免周围环境对实验产生影响, 本实验在暗室中进行。 同时实验时让观察者适应光源后再进行评分。
1.3.2 视觉心理物理实验
在参与本次实验的20名观察者中(女8名; 男12名), 年龄范围在22岁至26岁之间, 平均年龄为23岁。 组织者使用色觉检查图对被试观察者进行了色觉测试, 观察者均为视觉正常。 实验采用分类法作为颜色视觉评价的方法, 每位观察者均在不知情的情况下将同一色块进行两轮评分, 尽量减小误差。 实验前, 观察者穿上准备好的中性色外套, 避免衣服颜色对视觉实验造成干扰。 每位观察者的实验时间为45分钟左右。 实验前须将灯箱预热20 min以上, 观察者先在暗室条件下适应3 min, 实验时每种光源下观察者先适应1~2 min后再进行评分。 实验环境如图4所示。
每位观察者在做主观评价时, 给出各自对于颜色对之间的色差大小评价结果, 由组织者填在事先制作好的表格中, 每一个颜色对对应5个选择, 即1-无; 2-小到忽略; 3-有轻微可见; 4-引起注意的; 5-肉眼明显可见。 20个观察者对6个色温下的5对颜色对进行了视觉评价, 每次共做出了5× 8× 20+6× 20=920个评判结果。 以红色色样的主观评价结果为例, 其如表3所示。
| 表3 主观评价结果表格(以红色色样为例) Table 3 Subjective evaluation results table (Example: with red color sample) |
1.3.3 稳定性检验
为了检验观察者自身评价数据的稳定性(intra-observer variability), 本次实验中的第一个照明条件(OMI-FP9A智能LED, 5 950 K)重复出现两次, 对比这两次的结果(利用CV值计算得到)可以发现, 本次实验的20名观察者均具有比较高的稳定性。 由表4可见, 本次实验的结果均属于通常颜色科学领域心理物理实验的正常范围之内, 故后续的实验结果处理中, 此20名观察者的全部数据都将被认为是有效的实验数据。
| 表4 CV稳定性检验 Table 4 Stability test of discrete coefficient(CV) |
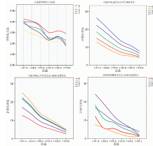
在主观评价实验中, 观察者每次共做出了5× 8× 20+6× 20=920个主观评价数据。 客观评价中, 运用典型色差公式, 可计算出颜色差异预测值。 CIE1976LAB, CIE1976LUV作为自1976年起使用的较为广泛、 通用的色差公式, 其计算简便、 预测性能较好的特点, 使其一直在色差公式的发展历程中占据着重要的地位。 CIEDE2000色差公式作为迄今为止CIE推荐的最新的色差公式, 融合了之前色差公式及视觉评价数据的优点, 大大提高了颜色预测的准确度。 本次实验的客观评价部分即选用上述三个色差公式进行颜色质量的预测与评价。 实验一中的实验数据结果如图5所示, 对应的实验二中的实验数据结果如图6所示。 为了对色差公式的预测性能进行合理、 客观的评价, 颜色工作者提出了许多评价方法, 本实验采用标准化残差平方和方法(STRESS)[10], 三种色差公式的STRESS值计算结果, 如表5所示。
| 表5 标准化残差平方和(STRESS) Table 5 Standardized residual sun of squares (STRESS) |
通过上述色差公式的计算数值以及20名观察者主观评价的得分情况, 以及客观计算值与主观评价数据的标准化残差平方和(STRESS)值, 可以看出, 无论是通过CIE1976LAB公式、 CIE1976LUV公式还是CIEDE2000公式, 在LED照明光源条件下, 与D65标准光源的对比时计算结果都与主观评价值存在较大的差异。 整体比较后发现, 在本次实验中, CIE1976LUV公式的预测性能相对较好, CIEDE2000公式次之, CIE1976LAB公式最差。 对于单色块来说, 三个公式对于蓝色块的预测性能最好, CIEDE2000公式对于蓝色块的预测性能大幅优于其他两个色差公式。 红色块在CIELAB、 CIEDE2000公式下的预测性能最差, 在CIELUV公式下的预测性能也不尽如人意。
固态照明产品进入快速发展时期, 但其相关标准仍在制定阶段。 已有研究指出, 用传统的显色评价方法如CRI、 CQS等对LED光源进行显色性评价时已会出现与人眼视觉评价不符的情况。 这是由于CRI无法很好的度量LED光源下高饱和颜色的显色性, 而CQS虽然能良好地度量出LED光源的显色程度, 但仍与人眼主观评价存在一定的差异。 而在色差评价方面, 截止目前, 国内外公开发表论文鲜见LED光源照明条件下的色差评价。
美国国家标准与技术研究院已证实, 不存在对高饱和度颜色显色性好, 同时对低饱和度颜色的显色性不好的光源光谱, 所以本文在此条件下, 选取4种高饱和度颜色中心颜色, 在LED光源照明条件下对现有CIE推荐色差公式预测性能进行评价, 通过标准化残差平方和(STRESS)对本实验的视觉色差数据和计算色差数据之间进行了比较检验, 最后发现, 无论是通过CIE1976LAB公式、 CIE1976LUV公式还是CIEDE2000公式, 在LED照明光源条件下, 对于高饱和度颜色, 与D65标准光源的对比时计算结果都与主观评价值存在较大的差异。
The authors have declared that no competing interests exist.
| [1] |
|
| [2] |
|
| [3] |
|
| [4] |
|
| [5] |
|
| [6] |
|
| [7] |
|
| [8] |
|
| [9] |
|
| [10] |
|

