作者简介: 单迪迪, 女, 1992年生, 清华大学环境学院硕士研究生 e-mail: 1179721364@qq.com
近年来, 环境内分泌干扰物愈来愈受到人们的关注。 对其用传统的检测技术分析, 过程复杂、 耗时长、 价格昂贵, 因此急需发展灵敏度高、 反应迅速快、 价格低廉的检测手段。 介绍了一种平面波导型阵列倏逝波荧光生物传感器, 在对系统光路参数进行模拟优化的基础上, 可实现24个传感位点的同步、 快速、 灵敏检测。 基于此阵列倏逝波荧光传感器, 运用间接竞争免疫检测模式, 优化并建立环境内分泌干扰物雌二醇的标准检测条件。 实验结果表明, 入射角在61.8°时, 系统灵敏度最高。 该方法对雌二醇检测线性检测区间为0.08~2.52 μg·L-1, 检测限为0.05 μg·L-1, 半抑制浓度为0.46 μg·L-1, 完成单次样品的检测时间为20 min。 利用该传感器对污水处理厂出水进行加标回收测试, 回收率在84%~120%之间, 相对标准偏差小于15%, 表明该方法能够用于实际水体中雌二醇的快速检测。
In recent years, environmental endocrine disruptors have attracted more and more attention. Traditional detection methods are time-consuming, complex and expensive, which means the development of fast response, high sensitivity and low cost detection method is of vital importance. Herein we described a planar waveguide-based array evanescent wave fluorescent biosensor. Based on the simulation and optimization of the optical parameters of the system, it allows the measurements of up to twenty-four sensing spots simultaneously, rapidly and highly sensitive. By using the indirect competitive immunoassay, the detection conditions of the array evanescent wave fluorescent biosensor were optimized and established for the environmental endocrine disruptor of estradiol. The experimental results show that the system has the highest sensitivity at 61.8°. The linear response ranged from 0.08~2.52 μg·L-1 has the detection limit of 0.05 μg·L-1 and the 50% inhibition concentration (IC50) of 0.46 μg·L-1. One test cycle was completed within 20 min. The recoveries of estradiol in all sorts of wastewater effluents ranged from 84% to 120% has relative standard deviation values of less than 15%, confirming the application potential in the measurement of estradiol in reality.
环境雌激素是一类具有雌激素活性、 干扰生物体内分泌的外源性化学物质, 可模拟体内的天然激素, 与激素受体结合, 影响生物体内源激素的合成和分泌, 或使机体产生对内源激素的过度反应, 导致内分泌系统失调, 进而引发生殖、 发育、 免疫等机能障碍[1]。 尽管地表水水体中雌激素的浓度一般在ng· L-1, 但足以使雄性鱼攻击性和优势等级发生变化[2]。 世界各国已开始对内分泌干扰物的环境残留量提出严格的管控标准。 日本生活饮用水最新标准中规定雌二醇的最高浓度不能超80 ng· L-1。 美国环保局也提出需针对污水中的雌二醇、 莠去津和壬基酚等一系列尚未受管制的环境内分泌干扰物建立相应的污染物检测规程[3]。
内分泌干扰物的传统检测方法主要有气相色谱法、 高效液相色谱法、 气/液相色谱-质谱联用等。 尽管这些检测方法灵敏度高, 但仪器价钱昂贵, 操作复杂, 样本预处理繁琐费时[4]。 以生物传感器为代表的分析生物技术具有响应速度快, 能及时应对突发污染事件, 易实现在线、 连续监测, 成本低, 且具有微型化、 高通量等潜力[5, 6], 是传统仪器分析技术的有益补充。 其中平面波导型生物传感器具有灵敏度高, 重复性好, 且易于实现多指标同时检测, 使其在复杂水体污染监控中具有较大优势。
本研究自主研制平面波导型倏逝波荧光阵列生物传感器, 在系统参数优化的基础上评价了仪器的灵敏度和稳定性, 并基于此建立了水中雌二醇的免疫检测方法, 考察了该方法对污水样品中雌二醇的加标回收率, 验证该方法的实用性。
十二烷基磺酸钠(SDS), 3-巯基丙基三甲氧基硅烷(MTS), 牛血清白蛋白(BSA), 雌二醇(E2), 4-马来酰亚胺基丁酸-N-琥珀酰亚胺酯(GMBS)均购买于Sigma公司, 于4 ℃保存。 雌二醇包被抗原(雌二醇-BSA复合物)和雌二醇单克隆抗体购买于北京勤邦生物技术有限公司。 聚二甲基硅氧烷购买于道康宁公司。 荧光染料Cy5.5购买于GE公司。 其他试剂未经特别注明均由国药集团化学试剂公司提供。
0.5% SDS(pH 1.9)溶液和10 mmol· L-1 pH 7.4 PBS(磷酸)缓冲液(2 mmol· L-1 KH2PO4, 137 mmol· L-1 NaCl, 10 mmol· L-1 Na2HPO4, 2.7 mmol· L-1 KCl)用超纯水配制。 一系列浓度梯度的雌二醇标准溶液用10 mmol· L-1 PBS溶液配制。
阵列倏逝波荧光传感器的系统结构如图1所示, 主要包括四个部分: 传感芯片和反应池、 光路系统、 信号处理系统和流动进样系统。 倏逝波传感芯片的材质为K9光学玻璃(折射率为1.52, 尺寸65 mm× 25 mm× 1.5 mm), 上下表面进行抛光处理, 一端设计45° 斜面, 抛光处理后用于激发光耦合到芯片内部。 八通道流通池由聚二甲基硅氧烷(PDMS)制作, 固定于芯片的表面。 氦氖激光器作为激发光源(635 nm), 经棱镜处理后形成一字光线耦合进入芯片, 在芯片内部发生全反射, 表面形成全反射线, 产生倏逝波。 当芯片表面有荧光分子存在时, 其会被倏逝波激发产生荧光信号。 在每个传感位点的下方, 利用数值孔径为0.46的塑料光纤收集激发的荧光, 经带通滤光片过滤杂散光后经光电二极管转化为电信号, 转换后的信号通过锁相放大器放大, 并通过数据采集卡转换为数字信号, 利用软件进行处理。 液体经过蠕动泵进行传送。
首先, 将芯片浸入piranha试剂反应30 min, 清洗芯片表面, 并引入硅羟基键, 然后用去离子水冲洗至pH值中性, N2吹干。 在室温下, 用2% MTS(无水甲苯做溶剂)对芯片进行表面硅烷化。 用无水甲苯洗去多余的MTS, 然后与双官能交联试剂(2 mg· mL-1 GMBS溶解于乙醇中)在室温下反应1 h。 随后将雌二醇-BSA复合物滴加在GMBS修饰的芯片传感位点上, 在4 ℃反应过夜。 最后, 将芯片放入2 mg· mL-1 BSA中反应, 以封闭非特异性位点。 制备好的芯片在使用前于4 ℃保存。
Cy5.5荧光染料标记抗体采用水相碳二亚胺法, 此染料分子内部含有高活性的NHS基团, 可直接与蛋白质中的氨基发生反应。 透析后的溶液用紫外-可见光光度计扫描全谱, 并测定其在280和678 nm上的吸光度, 确定其标记比。 本实验中所使用的Cy5.5标记雌二醇抗体的标记比为2.3。
运用间接竞争免疫检测模式, 首先将雌二醇标准溶液与Cy5.5标记的雌二醇抗体进行预反应(5 min)。 然后, 将混合溶液以100 μ L· min-1的流速通入传感芯片表面, 使剩余的游离抗体与芯片表面固定化的抗原进行结合(10 min)。 被结合到芯片表面的荧光标记的抗体经倏逝波激发产生荧光信号。 样品中雌二醇的浓度越大, 结合在芯片表面的抗体量就越少, 荧光信号值越低, 建立荧光信号值与雌二醇浓度的定量关系。 最后用5 mL SDS(0.5%, pH 1.9)作为活化液, 洗去芯片表面结合的抗体, 并进行下一轮的测试。
对清华大学中水站污水处理厂和江阴市两个污水处理厂的两种不同污水处理工艺的出水进行了加标测定, 加标浓度分别为0.3和0.5 μ g· L-1。 测试前水样经0.45 μ m的滤膜过滤以除去较大的颗粒物。 对加标前后每个样品平行测试3次, 分别计算回收率。
根据Snell定律, 计算入射光在光波导发生全内反射的入射角θ B, 也称为布儒斯特角
式中n1为K9玻璃波导介质折射率, 1.516 3; n2为水相折射率, 1.33。 经计算, 全反射角为61.3° 。
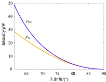
为了使系统灵敏度达到最优, 对入射光角度与芯片表面荧光发射强度之间的关系用matlab软件进行了模拟。 拟使用的荧光染料Cy5.5荧光效率为Φ (c)=0.28, 摩尔吸收系数k=250 000 L· mol-1· cm-1, 转换成与倏逝波透射深度单位一致, 得到ε =1/40 nm-1。 假设荧光染料在传感芯片表面均匀分布, 则可以得到入射光的平行分量和垂直分量产生的荧光强度(FTM和FTE)与入射角之间的模拟关系图(图2)。 荧光强度随入射角增大而快速下降, 当入射角等于90° 时, 荧光强度为0, 当在入射角接近全反射角时, 荧光强度达到最大。 因此, 入射角应尽量接近全反射角, 才能有效提高荧光发射强度, 从而提升传感器的灵敏度。 考虑准直系统的调节精度, 本研究设定入射角为61.8° 。
芯片表面24个传感位点(3行× 8列)对10-7 mol· L-1荧光染料Cy5.5的响应如图3(a)所示。 24个传感位点的荧光信号值相对标准偏差为20%。 分析造成各传感位点信号差异的主要原因是收集荧光光纤和修饰位点之间的对准精度不够。 同时考察24个传感位点对不同浓度荧光染料Cy5.5的响应, 其中图3(b)为灵敏度差别最大的两个位点为Cy5.5的响应曲线, 可以看出, 对Cy5.5的检出限均能达到1 nmol· L-1, 与文献报道的其他阵列倏逝波荧光传感芯片灵敏度相当[8], 可以用于后续的免疫分析。
阵列倏逝波荧光传感器对雌二醇测试的完整周期如图4(a)所示, 包括基线测定阶段, 免疫反应阶段(激光关闭)、 荧光测试阶段(激光开启)和活化阶段, 整个测试周期不超过20 min。 图4(b)为平面波导型阵列荧光免疫传感器对不同浓度雌二醇标准溶液进行测试所获得的荧光信号与雌二醇浓度之间的关系。 经Logistic曲线模拟, 线性检测区间为0.08~2.52 μ g· L-1, 跨越了3个数量级, 检测限为0.05 μ g· L-1(最大信号90%所对应的目标物浓度)。 如表1所示, 与其他检测雌二醇的方法相比, 本文提出的阵列荧光传感器对雌二醇的检测具有很高的灵敏度, 且低于日本最新饮用水水质标准中对雌二醇规定的限值(80 ng· L-1)。
| 图4 阵列倏逝波荧光传感器对雌二醇完整的测试周期(a)和雌二醇检测标准曲线(b)Fig.4 Complete test cycle of the array fluorescence biosensor for estradiol detection (a) and typical calibration curve for estradiol detection (b) |
| 表1 与文献报道雌二醇检测方法的比较 Table 1 Comparison of detection methods for estradiol |
生物传感芯片的界面稳定再生是保证传感器分析生物技术准确性、 降低检测成本、 实现在线/半连续运行的前提条件[14]。 强酸或碱性溶液可以破坏抗体与芯片上的分析物之间的结合作用力。 使用0.5% SDS(pH 1.9)作为活化液, 对传感芯片进行再生。 对2 μ g· mL-1 Cy5.5标记雌二醇抗体连续测试20次的信号响应结果如图5所示, 信号值标准偏差为3%, 表明芯片再生稳定性好, 可多次重复使用。
| 图5 传感芯片对2 μ g· mL-1 Cy5.5标记雌二醇抗体连续测定20次的信号值2.5 实际水样分析Fig.5 Regeneration of fluorescence signals towards 2 μ g· mL-1 Cy5.5-labeled estradiol antibody on the array fluorescence biosensor |
对三个不同工艺污水处理厂出水进行测试及加标回收实验, 结果见表2。 加标回收率在84%~120%, 变异系数小于15%, 表明该方法可成功应用于实际水样中雌二醇的快速检测。
| 表2 三个污水处理厂出水水样加标回收测试(n=3) Table 2 Recoveries of Spiked Samples of Wastewater Effluent (n=3) |
本研究所建立的平面波导型阵列免疫传感器系统, 能够快速、 多指标同时检测多种污染物, 具有样品前处理简单, 测试周期短, 检测费用低等优点, 为水环境污染物的快速定量分析提供了一种技术手段。 利用该系统所建立的方法对雌二醇进行了测试, 线性检测范围为0.08~2.52 μ g· L-1, 检测限达到0.05 μ g· L-1。 对来自三个污水处理厂出水的加标回收实验结果表明该方法的回收率在84%~120%之间, 证实了该方法能够实现实际水样中雌二醇的快速、 灵敏、 便捷的检测。
The authors have declared that no competing interests exist.
| [1] |
|
| [2] |
|
| [3] |
|
| [4] |
|
| [5] |
|
| [6] |
|
| [7] |
|
| [8] |
|
| [9] |
|
| [10] |
|
| [11] |
|
| [12] |
|
| [13] |
|

